Трение между воздухом и другим объектом называется сопротивлением воздуха. Рассмотрим, как определить сопротивление воздуха при падении объекта.
Сопротивление воздуха падающего объекта можно рассчитать, умножив плотность воздуха на коэффициент сопротивления, умноженный на площадь, на два, а затем умножив на скорость.
Сила тяжести и сопротивление воздуха — две силы естественного поля, которые двигают все на Земле. Формула сопротивления воздуха для сферы, доказательство формулы сопротивления воздуха, формула сопротивления воздуха для свободного падения и то, как получить среднее сопротивление воздуха, будут рассмотрены более подробно.
Как рассчитать сопротивление воздуха падающего предмета?
Скорость, площадь и форма объекта, проходящего через воздух, влияют на сопротивление воздуха. Проверим, как оценить сопротивление воздуха падающего предмета.
Чтобы определить, какое сопротивление воздуха будет испытывать падающий предмет, используйте формулу FD = 1 / 2 ρv2CDА. В этом уравнении FD означает перетаскивание, ρ — плотность жидкости, v для относительной скорости объекта относительно жидкости, CD для коэффициента лобового сопротивления и A для площади поперечного сечения.
Задача: Огромный пассажирский самолет летит со скоростью 250.0 метров в секунду. A = 500 квадратных метров крыльев самолета подвергаются ветру. Коэффициент аэродинамического сопротивления CD = 0.024. Плотность воздуха ρ = 0.4500 кг на кубический метр на высоте самолета. Какому сопротивлению воздуха подвергается пассажирский самолет?
Решение: Даны данные,
А = 500 квадратных метров
CD = 0.024
ρ = 0.4500 кг на кубический метр
Сопротивление воздуха падающего предмета определяется выражением
FD = 1/2 ρv2CDA
FD =(0.4500 кг/м3 × 0.025 × 510.0 м2)/2 (250.0 м/с) 2
FD = (0.4500 кг/м3 × 0.025 × 510.0 м2)/2 (62500 м2/s2)
FD = 179296 кг.м/с2
Как рассчитать сопротивление воздуха при движении снаряда?
Объект или частица называется снарядом, а его движение называется движением снаряда. Посмотрим, как можно рассчитать сопротивление воздуха при движении снаряда.
Скорость, ускорение, и перемещение должно быть включено при описании движения снаряда в целом, как описано ниже,
- По осям x и y мы должны расположить их составные части. Предположим, что все силы, кроме силы тяжести, ничтожны.
- Компоненты ускорения тогда чрезвычайно прямолинейны, если положительное направление определено как восходящее, ay = -g = — 0.98 м / с.2 (-32 фут/с2).
- Поскольку гравитация вертикальна,x = 0. аx = 0 указывает, что vx = V0x, или что начальная и конечная скорости в направлении x равны.
- При этих ограничениях на ускорение и скорость кинематическое уравнение x (t) = x0 + (вx) среднийt для движения в униформе гравитационное поле можно записать через уравнение v2y (т) = v2oy + 2аy (г — г0), куда входят и остальные кинематические уравнения движения с ускорением с постоянным ускорением.
- Кинематические уравнения движения в однородном гравитационном поле переходят в кинематические уравнения сy = -г, аx = 0.
- Горизонтальное движение, v0x= Vx, х = х0 + Vxt.
- Вертикальное движение, у = у0 + ½ (в0y + Vy)т; вy = Voy – гт; у = уo + Voyт – ½ гт2, v2y = V2oy – 2г (у – уo).
Задача: Снаряд взлетает в воздух во время фейерверка под углом 75.00 над горизонтом с начальной скоростью 70.0 м/с. Снаряд рассчитан так, что взрыватель сработает именно тогда, когда он будет на максимальной высоте над землей.
- а. Рассчитайте высоту взрыва снаряда.
- б. Через какое время снаряд выстрелит и взорвется?
- в. Что происходит с горизонтальным положением снаряда при его взрыве?
- д. Как далеко в целом продвинулся объект от места запуска до самой высокой точки?
Решение: (а) Под «высотой» мы подразумеваем высоту над начальной точкой или высоту. Когда vy = 0 достигается высшая точка любой траектории, известная как вершина. Мы используем следующее уравнение, чтобы получить y, потому что мы знаем начальное местоположение, начальную и конечную скорости и начальное положение:
v2y = V2oy – 2г (у – у0)
Уравнение упрощается тем, что yo и vy оба равны нулю.
0 = в2oy – 2г.
Вычислив y, мы получаем, y = v2oy/ 2г.
Теперь нам нужно выяснить, какова начальная компонента скорости y, или v0y, является. Его можно рассчитать по формуле v0y=v0sin θ, где v0 обозначает начальную скорость 70.0 м/с и θo=75° обозначает начальный угол. Таким образом-
v0y=v0sin θ = (70.0 м/с) sin750 = 67.6 м/с и-
у = (67.6 м/с)2 / 2(9.80 м/с2)
у = 233 м.
Начальная вертикальная скорость и максимальная высота положительны, потому что вверх положительна, а ускорение, вызванное силой тяжести, отрицательно. Снаряд с начальной вертикальной составляющей скорости 67.6 м/с достигнет максимальной высоты 233 м. Также имейте в виду, что максимальная высота зависит только от вертикальной составляющей начальной скорости (без учета сопротивления воздуха).
(b) Существуют различные способы определить, когда снаряд достигает высшей точки, как и во многих физических задачах. Самый простой подход в этой ситуации — использовать vy=v0y -гт. Это уравнение становится vy= 0 на вершине
0 = в0y− гт
или,
т = voy/g = (67.6 м/с) / (9.80 м/с2)
t = 6.90 с.
Другой способ найти время — использовать y = yo + ½ (в0y + Vy) т.
в) Сопротивление воздуха мало, следовательно, ах и ау равны нулю. И, как упоминалось ранее, горизонтальная скорость постоянна. Как показывают уравнения x=x0+vxт, где х0 равно нулю, горизонтальное перемещение равно горизонтальной скорости, умноженной на время. Таким образом,
х = vxt,
Когда vx — компонент x скорости, определяется выражением
vx = V0cosθ = (70.0 м/с) cos75°=18.1 м/с.
Поскольку оба движения имеют одинаковое время t, x равно
х = (18.1 м/с) × 6.90 с = 125 м.
Без сопротивления воздуха горизонтальное движение имеет постоянную скорость. Горизонтальное смещение, наблюдаемое здесь, может помочь предотвратить травму зрителей от падающих пиротехнических фрагментов. Немалую роль при взрыве снаряда играет сопротивление воздуха, и многие осколки падают сразу внизу.
(d) Нахождение размера и направления смещения в самой высокой точке — это все, что здесь требуется, поскольку горизонтальная и вертикальная составляющие смещения уже рассчитаны:
s→ = 125 см + 233 см; |ŝ|=√ (1252 + 2332) = 264 м; Φ = загар -1 (233/125) = 61.8°
Как рассчитать сопротивление воздуха при конечной скорости?
Сопротивление воздуха по величине эквивалентно весу падающего тела с предельной скоростью. Рассмотрим метод расчета сопротивления воздуха при предельной скорости.
- Используя второй закон Ньютона для падающего объекта в качестве отправной точки, мы можем определить сопротивление воздуха при конечной скорости: Fg + Far = ма.
- Для определения сопротивления воздуха при заданной скорости используются следующие два типа сопротивления воздуха: Far = – bv альтернативно, Far = — бв2.
- Для расчета сопротивления воздуха при конечной скорости используется закон Ньютона для определения сопротивления воздуха при конечной скорости, поскольку ускорение равно нулю. мг – бв = 0; мг – бв2 = 0.
- Чтобы определить сопротивление воздуха при заданной скорости, ответом на задачу о скорости является vT = мг/б. Альтернативой является то, что vT = √(мг/б).
Если m представляет массу в килограммах, g — квадрат ускорения свободного падения, а b — произвольная величина.
Задача: При падении из состояния покоя объект массой 55 кг испытывает силу сопротивления воздуха, определяемую Far = -15В2. Определить конечную скорость объекта.
Решение: используйте формулу vT = √ (мг/б) для определения конечной скорости силы сопротивления вида Far = -bv2. Добавляя к уравнению, получаем,
vT = √(55) × (9.81)/15)
vT = 5.99 м / с
Как рассчитать коэффициент сопротивления воздуха?
Коэффициент сопротивления изменяется как квадратное отношение относительной скорости объекта. Рассмотрим метод расчета коэффициента сопротивления воздуха.
Коэффициент сопротивления воздуха рассчитывается по уравнению с = Fвоздух /v2. В расчете Фвоздух — силовое сопротивление, а c — силовая постоянная в этом уравнении. Жидкости, обычно вода в спортивной среде, также подвержены силе трения, которая не ограничивается только воздухом.
Сопротивление жидкости, сопротивление воздуха и сопротивление — все это относится к одному и тому же.
Проблема: Если объект движется со скоростью 22 мс-1 столкнуться с сопротивлением воздуха 50 Н, какова постоянная силы?
Решение: Даны данные,
v = 22 мс-1
Fвоздух = 50 Н
Формула для коэффициента сопротивления воздуха:
с = Fвоздух /v2
Замените указанные значения в формуле выше. Затем,
с = 50/(22)2
с = 0.103
Как рассчитать аэродинамическое сопротивление парашюта?
Вес пульсирует на шнуре, когда парашют раскрывается. Рассмотрим, как определить аэродинамическое сопротивление парашюта.
- Чтобы определить аэродинамическое сопротивление парашюта. Уравнение для силы сопротивления парашюта, также известной как его сила сопротивления ветру, имеет вид F.D = 1 / 2 ρv2CDА. Где, ФD — сила сопротивления, r — плотность воздуха, Cd — коэффициент лобового сопротивления, A — площадь парашюта, а v — скорость в воздухе.
- Чтобы определить сопротивление воздуха парашюта по квадрату скорости, сопротивление возрастает.
- Чтобы определить сопротивление воздуха парашюта, нет никакой чистой силы, действующей на ракету, когда сопротивление равно весу. F = D – W = 0.
- Cd = 2 Фd / ρв2A = W для определения аэродинамического сопротивления парашюта.
- И, наконец, V = sqrt (2W/Cdρ A) используется для определения аэродинамического сопротивления парашюта.
При сравнении двух предметов те, у которых больший вес, меньший коэффициент лобового сопротивления, меньшая плотность газа или меньшая площадь, движутся с большей скоростью.
Как найти сопротивление воздуха через массу и ускорение?
Единственной силой, воздействующей на людей поначалу, является гравитация, которая толкает их со скоростью -9.8 м/с2. Давайте посмотрим, как можно рассчитать сопротивление воздуха, используя массу и ускорение.
- Чтобы найти сопротивление воздуха с массой и ускорением, мы можем использовать некоторую алгебру, чтобы получить ускорение объекта с точки зрения чистой внешней силы и массы объекта (a = F/m).
- Чистая внешняя сила (F = W – D) равна разнице между силами веса и силы сопротивления. Тогда ускорение объекта определяется выражением a = (W – D) / m.
Задача: Автомобиль массой около 29 кг движется из Калькутты в Раджастхан со скоростью 50 метров в секунду, а гусеница нагружена железом и весит 84 кг. Определить силу сопротивления автомобиля.
Решение: Даны данные,
Ускорение = 50 м/с2
Вес = 84 кг
Масса = 29 кг
Мы знаем, что a = (W – D) / m
50 = (84 – Д)/ 29
1450 = 84 – Д
-Д = 1450 – 84
Д = – 1366 Н
График сопротивления воздуха
Когда частички воздуха сталкиваются с передней частью объекта, он замедляется. Давайте проверим этот график сопротивления воздуха.
За счет уменьшения угла выпуска можно свести к минимуму влияние сопротивления воздуха на горизонтальную составляющую траектории снаряда. Расстояние и скорость, или скорость, обратно пропорциональны.
Как рассчитать сопротивление воздуха по скорости?
Чем больше частиц воздуха воздействует на объект, тем больше его общее сопротивление увеличивается с площадью поверхности. Давайте рассмотрим, как определить сопротивление воздуха на основе скорости.
Формула, используемая для определения сопротивления воздуха по скорости: c = Fv.2. Сила сопротивления воздуха представлена в технике буквой F, постоянная силы представлена буквой c, а скорость объекта представлена буквой v. Существует линейная зависимость между сопротивлением воздуха и величиной сопротивления воздуха. плотность.
Между скоростью и сопротивлением воздуха создается квадратичная зависимость. Площадь передней кромки объекта, движущегося по воздуху, определяет, какое сопротивление воздуха он будет испытывать. Сопротивление воздуха увеличивается с увеличением площади.
Задача: Если сопротивление воздуха тела равно 34 Н, а силовая постоянная равна 0.04, какова его скорость?
Данные приведены, Fвоздух = 34 Н и с = 0.04
Формула сопротивления воздуха:
Fвоздух = резюме2
v2 = 34 / 0.04
v2 = 850
v = 29.15 м / с.
Как рассчитать силу сопротивления воздуха?
Сила сопротивления воздуха измеряется в Ньютонах (Н). Рассмотрим, как определить силу сопротивления воздуха.
Fвоздух = — резюме2 уравнение, используемое для определения силы сопротивления воздуха. Фвоздух — силовое сопротивление, а c — силовая постоянная в этом уравнении. Знак минус показывает, что объект движется в направлении, противоположном направлению сопротивления воздуха.
Задача: силовая постоянная для самолета, движущегося со скоростью 50 мс.-1 составляет 0.05. Определить сопротивление воздуха.
Решение: Даны данные,
Скорость воздуха, v = 50
Силовая постоянная, c = 0.05
Сила воздуха определяется выражением
F = – резюме2
F = (-) 0.05 × 50 × 50
F = – 125 Н.
Формула сопротивления воздуха для шара
Зависимость между силой сопротивления, действующей на тело, и сопротивлением воздуха обратная. Давайте посмотрим на формулу сопротивления воздуха шара.
Коэффициент сопротивления воздуха для сферических материалов можно рассчитать по следующей формуле: Cd = 2 Фd / ρв2A, где для сферических материалов-
- Cd = коэффициент сопротивления воздуха,
- Fd сопротивление воздуха по Ньютону,
- А — площадь формы в плане в квадратных метрах,
- ρ = плотность сферы, выраженная в килограммах на кубический метр,
- А вязкость вещества, выраженная в метрах в секунду, известна как v.
Задача: Плотность воздуха 0.4500 кг/м3, а самолет, летящий на высоте, имеет скорость 250 м/с. 500 м2 Крылья самолета открыты ветру. На самолет действует сила сопротивления воздуха 168750 Н. Выполните расчет коэффициента лобового сопротивления.
Решение: Приведенные данные, Сопротивление воздуха для сферических материалов, Fd = 168750 Н
Плотность, ρ = 0.4500 кг/м3
Площадь поперечного сечения, А = 500 м2
Скорость, v = 250 м/с
Мы знаем, что для сферических материалов
Cd = 2 Фd / ρв2A
Cd = 2 × 168750 / (0.4500 × 2502 × 500)
Cd = 0.025
Как рассчитать среднее сопротивление воздуха?
Сопротивление воздуха — это разновидность жидкостного трения, которое влияет на падающие в воздухе предметы. Давайте посмотрим, как определить среднее сопротивление воздуха.
Умножив плотность воздуха, коэффициент сопротивления, площадь и скорость на два, можно рассчитать среднее сопротивление воздуха, которое будет испытывать падающий объект. Гравитация заставляет объекты двигаться вниз, в отличие от трения воздуха, которое действует противоположным образом и замедляет скорость.
Сопротивление воздуха возрастает по мере увеличения площади поверхности, на которую падают предметы.
Заключение
Сопротивление воздуха — это сила, которую испытывает объект при прохождении через воздух, где, если человек движется быстрее, сила сопротивления воздуха возрастает. Безразмерный коэффициент сопротивления CD, который рассчитывается как CD = ФD/1/2 ρАв2 где ρ — плотность жидкости (в данном случае воздуха). Площадь поперечного сечения объекта A = (1/4) ΠD2, а его скорость v.
Время на прочтение
3 мин
Количество просмотров 9.6K
Немного теории.
Для начала разберемся с тем, что такое лошадиные силы и устроим небольшой экскурс в школьную физику.
1 л.с. — это мощность, затрачиваемая при вертикальном подъёме груза массой 75 кг со скоростью 1 м/с.
Как известно, мощность показывает, какую работу совершает тело в единицу времени:
Работа равна произведению силы на перемещение: A = F*S. Учитывая, что скорость V=S/t, получим:
Получаем формулу для перевода лошадиных сил в принятую в международной системе СИ единицу измерения мощности — Ватт:
Перейдем к основной части, а именно — к техническим характеристикам автомобиля.
Некоторые характеристики и расчёты будут приводиться приближенно, поскольку мы не претендуем на умопомрачительную точность расчетов, важнее понять физику и математику процесса.
m = 2 тонны = 2000 кг — масса автомобиля (масса авто 1940 кг, считаем что в ней водитель массой 60 кг и больше ничего/никого).
P = 670 л.с. (по паспорту 625 л.с., но реально мощность выше — измерено на динамометрическом стенде в ролике DSC OFF https://www.youtube.com/watch?v=ysg0Depmyjc. В этой статье мы ещё обратимся к замерам отсюда.)
Разгон 0-100 км/ч: 3.2-3.3 с (по паспорту, замерам)
Разгон 100-200 км/ч: 7.5-7.6 с (по паспорту, замерам)
Мощность двигателя генерируется на маховике, потом через сцепление передается в КПП, далее через дифференциалы, привода, карданный вал передается на колёса. В результате эти механизмы поглощают часть мощности и итоговая мощность, поставляемая к колесам, оказывается меньше на 18-28%. Именно мощность на колесах определяет динамические характеристики автомобиля.
У меня нет сомнений в гениальности инженеров БМВ, но, для начала, возьмем для удобства потери мощности 20%.
Вернемся к нашим физическим баранам. Для вычисления разгона нам нужно связать мощность со скоростью и временем разгона. Для этого воспользуемся вторым законом Ньютона:
Вооружившись этими знаниями, получим конечную формулу:
Выражая отсюда t, получим итоговую формулу для вычисления разгона:
На самом деле в паспорте автомобиля указывается максимальная мощность, достигаемая двигателем при определенном числе оборотов. Ниже приведена зависимость мощности двигателя от числа оборотов (синяя линия). Строго говоря, параметры этой кривой зависят от номера передачи, так что для определенности скажем, что график для 5й передачи.
Главное, что мы должны усвоить из этого графика — мощность автомобиля не постоянна во время движения, а увеличивается по мере роста оборотов двигателя.
Перейдем к расчету разгона от 0 до 100 км/ч. Переведем скорость в м/с:
При разгоне от 0 до 100 км/ч автомобиль практически сразу переключается с первой передачи на вторую, и при достижении около 90 км/ч переключается на третью. Будем считать, что на всём протяжении разгона автомобиль разгоняется на второй передаче, причем максимальная мощность будет меньше 670 л.с., поскольку передача ниже пятой. Возьмём в качестве начальной мощности при 0 км/ч мощность 150 л.с. (при 2000 об/мин), конечную — 600 л.с. (7000 об/мин):
Чтобы не считать сложные интегралы для вычисления средней мощности, скажем следующие слова: учитывая приближенный характер наших расчетов, проскальзывание авто при ускорении, а также сопротивление воздуха (хотя при разгоне от 0 до 100 оно играет не такую большую роль, как при разгоне до 200 км/ч), будем считать, что мощность зависит от скорости линейно, тогда средняя мощность при разгоне от 0 до 100 км/ч составляет:
Пришло время учесть потери мощности, о которых было сказано ранее, а заодно перевести мощность в кВт (1 кВт = 1000 Вт) для удобства. Потери мощности 20%, значит эффективность 80%=0.8:
Теперь подставляем всё в конечную формулу:
Получили довольно близкий к «паспортным» 3.3 с результат, ура! Специально не стал ничего дополнительно подгонять, дабы подчеркнуть приближенный характер расчёта, хотя это было довольно просто сделать, взяв, например, чуть больше мощность.
Теперь, ради интереса и проверки самих себя, вычислим разгон 100-200 км/ч.
С ростом скорости растёт трение воздуха, для движения используются более высокие передачи КПП (3-я, 4-я, 5-я), но при этом уменьшается проскальзывание колес. Так что оставим среднюю мощность 375 л.с.
Так делать конечно же нельзя! После 2-й передачи двигатель работает на «комфортных» для себя оборотах 4000-7000 об/мин, поэтому средняя мощность будет гораздо выше, поскольку выше будет начальная мощность для каждой передачи. Здесь уже не получится считать, что автомобиль едет только на 4-й передаче на всем протяжении разгона, но можно считать, что он проехал одинаковые промежутки времени на 3-й, 4-й и 5-й передаче, и пусть график зависимости мощности от числа оборотов для них одинаков, поэтому построим общую условную кривую зависимости мощности от скорости:
Опять же, считаем для простоты зависимость мощности от скорости линейной, тогда получаем среднюю и реальную мощность:
Тогда итоговое время разгона 100-200 км/ч:
Время разгона «по паспорту» 7.6 с. И снова мы оказались близко к истине!
P.S. не хочу объяснять, откуда взялось (V^2 — V_0^2), можете повыводить на досуге 
Ну и в общем-то всё. Приведенные рассуждения и вычисления не претендуют на истину в последней инстанции и большую точность, но показывают, что зная «школьные» формулы по физике, можно решать такие интересные задачки, связанные с жизнью.
Движение тела в поле тяжести с учётом сопротивления воздуха
Это творческое задание для мастер-класса по информатике для школьников при ДВФУ.
Цель задания — выяснить, как изменится траектория тела, если учитывать сопротивление воздуха. Также необходимо ответить на вопрос, будет ли дальность полёта по-прежнему достигать максимального значения при угле бросания в 45°, если учитывать сопротивление воздуха.
В разделе «Аналитическое исследование» изложена теория. Этот раздел можно пропустить, но он должен быть, в основном, понятным для вас, потому что большую часть из этого вы проходили в школе.
В разделе «Численное исследование» содержится описание алгоритма, который необходимо реализовать на компьютере. Алгоритм простой и краткий, поэтому все должны справиться.
Аналитическое исследование
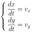
Введём прямоугольную систему координат так, как показано на рисунке. В начальный момент времени тело массой m находится в начале координат. Вектор ускорения свободного падения 





Запишем второй закон Ньютона: 
Ускорение в каждый момент времени есть (мгновенная) скорость изменения скорости, то есть производная от скорости по времени: 
Следовательно, 2-й закон Ньютона можно переписать в следующем виде:


Так как на тело действуют сила тяжести и сила сопротивления воздуха, то

Мы будем рассматривать три случая:
1) Сила сопротивления воздуха равна 0:

2) Сила сопротивления воздуха противоположно направлена с вектором скорости, и её величина пропорциональна скорости: 
3) Сила сопротивления воздуха противоположно направлена с вектором скорости, и её величина пропорциональна квадрату скорости: 
Вначале рассмотрим 1-й случай.
В этом случае 

Запишем это равенство в скалярном виде:
Из 

Так как 

Отсюда 
Эта формула есть не что иное, как знакомая вам формула закона движения тела при равноускоренном движении.
Так как 

Учитывая, что 

Проанализируем полученные формулы.
Найдём время полёта тела. Приравняв y к нулю, получим
Дальность полёта равна значению координаты x в момент времени t0:
Из этой формулы следует, что максимальная дальность полёта достигается при 
Теперь найдём уравнение трактории тела. Для этого выразим t через x

и подставим полученное выражение для t в равенство для y.
Полученная функция y(x) — квадратичная функция, её графиком является парабола, ветви которой направлены вниз.
Про движение тела, брошенного под углом к горизонту (без учёта сопротивления воздуха), рассказывается в этом видеоролике.
Теперь рассмотрим второй случай: 
Второй закон приобретает вид 
отсюда 
Запишем это равенство в скалярном виде:
Мы получили два линейных дифференциальных уравнения.
Первое уравнение имеет решение
в чём можно убедиться, подставив данную функцию в уравнение для vx и в начальное условие 
Здесь e = 2,718281828459… — число Эйлера.
Второе уравнение имеет решение
Так как 

В следующем видеоролике говорится, что парашютист сначала движется ускоренно, а потом начинает двигаться равномерно (даже до раскрытия парашюта).
Найдём выражения для x и y.
Так как x(0) = 0, y(0) = 0, то
Отсюда
Нам осталось рассмотреть случай 3, когда 
Второй закон Ньютона имеет вид


В скалярном виде это уравнение имеет вид:
Это система нелинейных дифференциальных уравнений. Данную систему не удаётся решить в явном виде, поэтому необходимо применять численное моделирование.
Численное исследование
В предыдущем разделе мы увидели, что в первых двух случаях закон движения тела можно получить в явном виде. Однако в третьем случае необходимо решать задачу численно. При помощи численных методов мы получим лишь приближённое решение, но нас вполне устроит и небольшая точность. (Число π или квадратный корень из 2, кстати, нельзя записать абсолютно точно, поэтому при расчётах берут какое-то конечное число цифр, и этого вполне хватает.)
Будем рассматривать второй случай, когда сила сопротивления воздуха определяется формулой
Скорость тела 
В левых частях этих уравнений записаны компоненты ускорения 
Напомним, что ускорение есть (мгновенная) скорость изменения скорости, то есть производная от скорости по времени.
В правых частях уравнений записаны компоненты скорости. Таким образом, данные уравнения показывают, как скорость изменения скорости связана со скоростью.
Попробуем найти решения этих уравнений при помощи численных методов. Для этого введём на временной оси сетку: выберем число



Наша задача — приближённо вычислить значения
в узлах сетки.
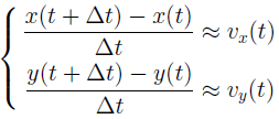
Заменим в уравнениях ускорение (мгновенную скорость изменения скорости) на среднюю скорость изменения скорости, рассматривая движение тела на промежутке времени 
Теперь подставим полученные аппроксимации в наши уравнения.
Отсюда
Полученные формулы позволяют нам вычислить значения функций 
При помощи описанного метода мы можем получить таблицу приближённых значений компонент скорости.
Как найти закон движения тела, т.е. таблицу приближённых значений координат x(t), y(t)? Аналогично!
Имеем
Заменив мгновенную скорость на среднюю скорость на промежутке времени 
Отметим, что в правых частях уравнений можно взять полусумму значений vx (vy) в точках t и t + Δt. Возможно, так точность будет выше.
Отсюда
По этим формулам мы можем вычислить таблицу приближённых значений функций x(t) и y(t) в узлах сетки.
Как теперь реализовать полученный алгоритм? Да очень просто!
Заведём массивы
vx, vy: array[0..MAX_N] of extended;
x, y: array[0..MAX_N] of extended;
Значение vx[j] равняется значению функции 
Теперь остаётся написать цикл, внутри которого мы будем вычислять vx[j+1] через уже вычисленное значение vx[j], и с остальными массивами то же самое. Цикл будет по j от 1 до N.
Не забудьте инициализировать начальные значения vx[0], vy[0], x[0], y[0] по формулам 
В Паскале и Си для вычисления синуса и косинуса имеются функции sin(x), cos(x). Обратите внимание, что эти функции принимают аргумент в радианах.
Вам необходимо построить график движения тела при k = 0 и k > 0 и сравнить полученные графики. Графики можно построить в Excel.
Отметим, что расчётные формулы настолько просты, что для вычислений можно использовать один только Excel и даже не использовать язык программирования.
Однако в дальнейшем вам нужно будет решить задачу в CATS, в которой нужно вычислить время и дальность полёта тела, где без языка программирования не обойтись.
Обратите внимание, что вы можете протестировать вашу программу и проверить ваши графики, сравнив результаты вычислений при k = 0 с точными формулами, приведёнными в разделе «Аналитическое исследование».
Поэкспериментируйте со своей программой. Убедитесь в том, что при отсутствии сопротивления воздуха (k = 0) максимальная дальность полёта при фиксированной начальной скорости достигается при угле в 45°.
А с учётом сопротивления воздуха? При каком угле достигается максимальная дальность полёта?
На рисунке представлены траектории тела при v0 = 10 м/с, α = 45°, g = 9,8 м/с2, m = 1 кг, k = 0 и 1, полученные при помощи численного моделирования при Δt = 0,01.
Здесь вы можете ознакомиться с замечательной работой 10-классников из г. Троицка, представленной на конференции «Старт в науку» в 2011 г. Работа посвящена моделированию движения теннисного шарика, брошенного под углом к горизонту (с учетом сопротивления воздуха). Применяется как численное моделирование, так и натурный эксперимент.
Таким образом, данное творческое задание позволяет познакомиться с методами математического и численного моделирования, которые активно используются на практике, но мало изучаются в школе. К примеру, данные методы использовались при реализации атомного и космического проектов в СССР в середине XX века.
Ускорение
— производная скорости по времени,
векторная величина, показывающая,
насколько изменяется вектор скорости
точки (тела) при её движении за единицу
времени (т.е. ускорение учитывает не
только изменение величины скорости, но
и её направления). Например, вблизи Земли
падающее на Землю тело, в случае, когда
можно пренебречь сопротивлением воздуха,
увеличивает свою скорость примерно на
9,8 м/с каждую секунду, то есть, его
ускорение равно 9,8 м/с².
Единицей
ускорения служит метр в секунду за
секунду.
Если
вектор
не меняется со временем, движение
называют равноускоренным. При
равноускоренном движении справедливы
формулы:
Частным случаем равноускоренного
движения является случай, когда ускорение
равно нулю в течение всего времени
движения. В этом случае скорость
постоянна, а движение происходит по
прямолинейной траектории (если скорость
тоже равна нулю, то тело покоится),
поэтому такое движение называют
прямолинейным и равномерным.
6. Движение с постоянным ускорением. Единица ускорения.
Единицей
ускорения служит метр в секунду за
секунду.
Если
вектор
не меняется со временем, движение
называют равноускоренным. При
равноускоренном движении справедливы
формулы:
Частным случаем равноускоренного
движения является случай, когда ускорение
равно нулю в течение всего времени
движения. В этом случае скорость
постоянна, а движение происходит по
прямолинейной траектории (если скорость
тоже равна нулю, то тело покоится),
поэтому такое движение называют
прямолинейным и равномерным.
7. Скорость при движении с постоянным ускорением
Прямолинейное
движение с постоянным ускорением
называют равноускоренным, если модуль
скорости увеличивается со временем,
или равнозамедленным, если он уменьшается.
Примером
ускоренного движения может быть падение
цветочного горшка с балкона невысокого
дома. В начале падения скорость горшка
равна нулю, но за несколько секунд она
успевает вырасти до десятков м/с. Примером
замедленного движения является движение
камня, брошенного вертикально вверх,
скорость которого сначала большая, но
потом постепенно уменьшается до нуля
в верхней точке траектории. Если
пренебречь силой сопротивления воздуха,
то ускорение в обоих этих случаях будет
одинаково и равно ускорению свободного
падения, которое всегда направлено
вертикально вниз, обозначается буквой
g и равно примерно 9,8 м/с2.
Ускорение
свободного падения, g вызвано силой
притяжения Земли. Эта сила ускоряет все
тела, движущиеся по направлению к земле,
и замедляет те, которые движутся от неё.
Чтобы
найти уравнение для скорости при
прямолинейном движении с постоянным
ускорением, будем считать, что в момент
времени t=0 тело имело начальную скорость
v0. Так как ускорение a постоянно, то для
любого момента времени t справедливо
следующее уравнение:
где
v – скорость тела в момент времени t,
откуда после нетрудных преобразований
получаем уравнение
для
скорости
при движении с постоянным ускорением:
v = v0 + at
8. Уравнения движения с постоянным ускорением.
Чтобы
найти уравнение для скорости при
прямолинейном движении с постоянным
ускорением, будем считать, что в момент
времени t=0 тело имело начальную скорость
v0. Так как ускорение a постоянно, то для
любого момента времени t справедливо
следующее уравнение:
где
v – скорость тела в момент времени t,
откуда после нетрудных преобразований
получаем уравнение для скорости при
движении с постоянным ускорением: v
= v0 + at
Чтобы
вывести уравнение для пути, пройденного
при прямолинейном движении с постоянным
ускорением, построим сначала график
зависимости скорости от времени (5.1).
Для a>0 график этой зависимости изображён
слева на рис.5 (синяя прямая). Как мы
установили в §3, перемещение, совершённое
за время t, можно определить, если
вычислить площадь под кривой зависимости
скорости от времени между моментами
t=0 и t. В нашем случае фигура под кривой,
ограниченная двумя вертикальными
линиями t=0 и t, представляет собой трапецию
OABC, площадь которой S, как известно, равна
произведению полусуммы длин оснований
OA и CB на высоту OC:
Как
видно на рис.5, OA = v0, CB= v0 + at, а OC = t. Подставляя
эти значения в (5.2), получаем следующее
уравнение для перемещения S, совершённого
за время t при прямолинейном движении
с постоянным ускорением a при начальной
скорости v0 :
Легко
показать, что формула (5.3) справедлива
не только для движения с ускорением
a>0, для которого она была выведена, но
и в тех случаях, когда a<0. На рис.5 справа
красными линиями показаны графики
зависимости S при положительных (верх)
и отрицательных (низ) значениях a,
построенные по формуле (5.3) для различных
величин v0. Видно, что в отличие от
равномерного движения (см. рис. 3), график
зависимости перемещения от времени
является параболой, а не прямой, показанной
для сравнения пунктирной линией.
Соседние файлы в предмете [НЕСОРТИРОВАННОЕ]
- #
- #
- #
- #
- #
- #
- #
- #
- #
- #
- #
- Это движение в плоскости, поэтому для описания движения необходимо 2 координаты.
- Считаем, что движение происходит вблизи поверхности Земли, поэтому ускорение тела – ускорение свободного падения (a = g).
Так как мы пренебрегаем сопротивлением воздуха, то ускорение направлено только к поверхности Земли (g) – вдоль вертикальной оси (y), вдоль оси х движение равномерное и прямолинейное.
Движение тела, брошенного горизонтально.
Выразим проекции скорости и координаты через модули векторов.
Для того чтобы получить уравнение траектории, выразим время tиз уравнения координаты x и подставим в уравнение для y:
Движение тела, брошенного под углом к горизонту.
Порядок решения задачи аналогичен предыдущей.
Решим задачу для случая х0=0 и y0=0.

Докажем, что траекторией движения и в этом случае будет парабола. Для этого выразим координату Y через X (получим уравнение траектории):
.
Мы получили квадратичную зависимость между координатами. Значит траектория — парабола.
Найдем время полета тела от начальной точки до точки падения. В точке падения координата по вертикальной оси у=0.
Время полета:

Зная время полета, найдем максимальное расстояние, которое пролетит тело:
Дальность полета:
Из этой формулы следует, что:
— максимальная дальность полета будет наблюдаться при бросании тела (при стрельбе, например) под углом 450;
— на одно и то же расстояние можно бросить тело (с одинаковой начальной скоростью) двумя способами – т.н. навесная и настильная баллистические траектории.
Используя то, что парабола – это симметричная кривая, найдем максимальную высоту, которой может достичь тело.
Время, за которое тело долетит до середины, равно: 
Время подъема:

Тогда:
Максимальная высота:
Скорость тела в любой момент времени направлена по касательной к траектории движения (параболе) и равна
Угол, под которым направлен вектор скорости в любой момент времени:



























