Давление света можно объяснить с помощью электромагнитной теории Максвелла. Свет — это электромагнитная волна. Электрическое поле разгоняет электроны вещества. Из-за присутствия магнитного поля на движущиеся электроны действует сила Лоренца, которая направлена внутрь вещества.
В (1873) году с помощью своей теории Максвелл доказал, что давление света вычисляется по формуле:
(P=frac{2W}{c}). ((1))
Давление света можно объяснить и с точки зрения квантовой теории, то есть рассматривая свет как поток частиц с энергией (E=hnu) и импульсом (p=hnu/c). Если энергетическая освещённость поверхности (W), то можно определить число фотонов, падающих на поверхность площадью (S) за время (Delta t):
(boxed{n=frac{W}{SDelta t hnu}}). ((2))
Коэффициент отражения (R) показывает отношение количества отражённых фотонов к количеству падающих, поэтому в среднем фотон передаёт импульс:
(Delta p=p-R(-p)=(1+R)p=(1+R)frac{h}{c}.) ((3))
Используя закон изменения импульса, можно записать, что:
(F=n frac{Delta p}{Delta t}). ((4))
Если поверхность чёрная ((R=0)), то давление света выразится как:
(boxed{P_{черн}=frac{W}{SDelta t hnu} cdot frac{h}{c Delta t}=frac{W}{c}}). ((5))
Зеркало можно представить как поверхность с коэффициентом отражения (R=1). В этом случае давление света определяется как:
(boxed{P_{зерк}=frac{W}{SDelta t hnu} cdot frac{2 h}{c Delta t}=frac{W}{c} =frac{2W}{c}}). ((6))
Формула для подсчёта давления света в теории Максвелла ((1)) является частным случаем формулы ((6)) корпускулярной (квантовой) теории. Результаты, предсказанные формулами ((5)) и ((6)), с высокой точностью (погрешность (2) (%)) подтверждаются экспериментальными данными.
Содержание
- Что значит давление света
- Кто первый измерил силу давления света
- Формула для расчета
- Опыты Лебедева
- Вывод
Писатели-фантасты в своих произведениях описывают космические путешествия на кораблях, приводимых в движение солнечным ветром. На самом деле, это не такая уж и фантастика. Свет действительно способен оказывать давление на предметы, на которые он падает.
Что значит давление света
Если на лист бумаги направить струю воздуха, легко увидеть, что поток газа оказывает давление на поверхность. Если на бумагу или любую другую поверхность направить световой поток, то и в этом случае будет оказываться давление, хотя и намного меньшее.
Объяснить это можно с точки зрения двух теорий.
В современной физике считается, что частицы света – фотоны – имеют дуальные свойства:
- Свойства электромагнитной волны (волновая теория света).
- Свойства материальной частицы (корпускулярная теория).
Согласно первой теории, электромагнитные волны, попадая на поверхность предметов (или в толщу газов), возбуждает в ней токи. Эти токи взаимодействуют с магнитной составляющей волны. Возникающие при этом силы Лоренца складываются, создавая воздействие на облучаемый предмет.
Согласно корпускулярной теории, фотоны бомбардируют поверхность, подобно летящим мячам. Частицы передают свой импульс облучаемому предмету. Таким образом создается давление.
Кто первый измерил силу давления света
Считается, что давление света открыл русский физик Петр Николаевич Лебедев. На самом деле, это явление предсказал еще в 17 веке Иоганн Кеплер по результатам своих астрономических наблюдений. Создатель классической электродинамики Максвелл теоретически обосновал, что световой поток может оказывать давление, и объяснил это с точки зрения волновой теории света.
Величайшая заслуга Лебедева перед мировой физикой в том, что он экспериментальным путем доказал, что давление света существует, а также смог измерить величину этого давления. До этого ученый мир был разделен на две группы:
- одни считали, что подобное явление существует, но с помощью технических средств того времени доказать это было невозможно;
- другие (включая авторитетнейшего Уильяма Томсона) считали, что свет давления не производит.
И у той, и у другой стороны были весомые на то время аргументы. Разрешить спор мог только удачный эксперимент, результаты которого признали бы все.
Формула для расчета
В 1873 году Максвелл в своем «Трактате по электричеству и магнетизму» вывел теоретическую формулу давления света:
, где:
- E – энергия светового потока за единицу времени, отнесенная к площади поверхности;
- R – коэффициент отражения;
- с – скорость света в вакууме.
Задачей экспериментаторов стало измерить величины, входящие в эту формулу и подтвердить или опровергнуть выводы Максвелла.
Опыты Лебедева
Попытки провести опыты, доказывающие правоту той или иной стороны, заканчивались неудачей, хотя идея была проста. На легкое крылышко, подвешенное в вакууме, надо было направить световой поток, а по углу отклонения крылышка вычислить искомую величину.
При облучении светом поверхностей возникали иные силы, искажавшие результаты экспериментов. Например, часть излучения поглощалась, что вызывало нагрев освещаемого предмета. Этот нагрев практически всегда носил неравномерный характер, поэтому окружающий газ также нагревался неравномерно. Возникающие при этом конвекционные явления вызывали дополнительное воздействие, превышающее силу светового потока. Для этого приходилось помещать облучаемый предмет в прозрачный сосуд, из которого откачивался воздух. При этом возникала еще одна проблема – неравномерный нагрев стенок сосуда, вызывавший дополнительные конвекционные явления, ведь создавать глубокий вакуум при существовавшем тогда уровне техники было крайне сложно.
Лебедев смог решить все проблемы, хотя для этого понадобилось 4 года напряженной работы. Сначала он научился эффективно, для того времени, удалять воздух из сосуда. Чтобы снизить конвекцию, он применил сосуды большого объема, что привело к практическому устранению влияния движения разреженного воздуха. Нагрев сосуда удалось нивелировать, благодаря применению светофильтров, «вырезающих» часть светового спектра, наиболее поглощаемую стеклянными стенками. Удалось побороть и другие факторы, влияющие на точность измерения.
Лебедев облучал видимым светом «вертушку» из крылышек из платиновой фольги различной толщины. Часть поверхностей была отполирована до зеркального состояния, часть – зачернена. Посредством этого приема можно было проверить гипотезу о том, что при отражении свет оказывает большее давление, чем при поглощении.
«Вертушки» подвешивались внутри сосуда на нити. По углу закручивания этой нити можно было определить силу светового давления. Для измерения этого угла использовалось зеркальце со шкалой.
На тот момент доминирующей являлась электромагнитная теория света, давление объяснялось с максвелловской точки зрения. Из этой теории следует, что сила давления пропорциональна энергии светового пучка. Чтобы измерить эту энергию физик применил калориметр, который временно помещался на место вертушки. Опыты Лебедева доказали верность Максвелловских взглядов, и результаты экспериментов совпали с расчетными данными в пределах 20%. На тот момент это был прорыв.
Через несколько месяцев русский ученый усовершенствовал экспериментальную установку, получив расхождение с теорией менее 1%.
Через короткое время в мире физики получила распространение и подтверждение теория и корпускулярной (наряду с электромагнитной) природы света. Опыты Лебедева ей не противоречили, и во многом ее подтверждали.
Для наглядности видео.
Вывод
Существование давления света, как физического явления, давно никем не оспаривается. При точных расчетах траекторий спутников, например, учитывается величина давления солнечного света.
Практическое же применение этого эффекта достаточно ограничено. Хотя мечты фантастов о космических путешествиях под солнечным парусом, приводимым в движение давлением солнечного света, остаются пока мечтами, экспериментальный исследовательский объект к Венере, движущийся по подобному принципу, уже запущен. Для дальнейшего развития таких движителей придется подождать появления легких, но прочных материалов.
Еще это физическое явление применяется в ядерной физике для разгона мельчайший объектов до подсветовых скоростей. Перспективным, но не очень широко применимым, выглядит и изобретение «светового пинцета» для микроскопических объектов. Но ведь и электричество, и телевидение, и многое другое, что прочно вошло в жизнь современного человека, тоже сначала выглядело бесполезными игрушками. Подождем развития технологий.
Фотоны
-
Темы кодификатора ЕГЭ: фотоны, энергия фотона, импульс фотона.
-
Энергия фотона
-
Импульс фотона
-
Давление света
-
Двойственная природа света
Автор статьи — профессиональный репетитор, автор учебных пособий для подготовки к ЕГЭ Игорь Вячеславович Яковлев
Темы кодификатора ЕГЭ: фотоны, энергия фотона, импульс фотона.
В результате исследования явлений, связанных с взаимодействием света и вещества (тепловое излучение и фотоэффект), физики пришли к выводу, что свет состоит из отдельных порций энергии — фотонов. Излучение света, его распространение и поглощение происходит строго этими порциями.
Фотоны обладают энергией и импульсом и могут обмениваться ими с частицами вещества (скажем, с электронами или атомами). При этом мы говорим о столкновении фотона и частицы. При упругом столкновении фотон меняет направление движения — свет рассеивается. При неупругом столкновении фотон поглощается отдельной частицей или совокупностью частиц вещества — так происходит поглощение света.
Словом, фотон ведёт себя как частица и поэтому — наряду с электроном, протоном, нейтроном и некоторыми другими частицами — причислен к разряду элементарных частиц.
к оглавлению ▴
Энергия фотона
Выражение для энергии фотона с частотой мы уже знаем:
(1)
Часто бывает удобно работать не с обычной частотой , а с циклической частотой
.
Тогда вводят другую постоянную Планка «аш с чертой»:
Дж · с.
Выражение (1) для энергии фотона примет вид:
Фотон движется в вакууме со скоростью света и потому является релятивистской частицей: описывая фотон, мы должны привлекать формулы теории относительности. А там имеется такая формула для энергии тела массы
, движущегося со скоростью
:
(2)
Если предположить, что , то формула (2) приводит к бессмысленному заключению: энергия фотона должна быть бесконечной. Чтобы избежать этого противоречия, остаётся признать, что масса фотона равна нулю. Формула (2) позволяет сделать и более общий вывод: только безмассовая частица может двигаться со скоростью света.
к оглавлению ▴
Импульс фотона
Обладая энергией, фотон должен обладать и импульсом. Действительно, важнейшая формула теории относительности даёт связь энергии и импульса частицы:
(3)
Для фотона, имеющего нулевую массу, эта формула сводится к простому соотношению:
Отсюда для импульса фотона получаем:
(4)
Направление импульса фотона совпадает с направлением светового луча.
Учитывая, что отношение есть длина волны
, формулу (4) можно переписать так:
(5)
В видимом диапазоне наименьшими значениями энергии и импульса обладают фотоны красного света — у них самая маленькая частота (и самая большая длина волны). При движении в сторону фиолетового участка спектра энергия и импульс фотона линейно возрастают с частотой.
к оглавлению ▴
Давление света
Свет оказывает давление на освещаемую поверхность. Такой вывод был сделан Максвеллом из теоретических соображений и получил экспериментальное подтверждение в знаменитых опытах П.Н. Лебедева. Если понимать
свет как поток фотонов, обладающих импульсом , то можно легко объяснить давление света и вывести формулу Максвелла.
Предположим, что на некоторое тело падает свет частоты . Лучи направлены перпендикулярно поверхности тела; площадь освещаемой поверхности равна
(рис. 1).
Рич. 1. Давление света
Пусть — концентрация фотонов падающего света, то есть число фотонов в единице объёма.
За время на нашу поверхность попадают фотоны, находящиеся внутри цилиндра высотой
.
Их число равно:
При падении света на поверхность тела часть световой энергии отражается, а часть — поглощается. Пусть — коэффициент отражения света; величина
показывает, какая часть световой энергии отражается от поверхности. Соответственно, величина
— это доля падающей энергии, поглощаемая телом.
Как мы теперь знаем, энергия света пропорциональна числу фотонов. Поэтому можно написать, какое количество фотонов (из общего числа ) отразится от поверхности, а какое — поглотится ею:
Импульс каждого падающего фотона равен . Поглощённый фотон испытывает неупругое столкновение с телом и передаёт ему импульс
. Отражённый фотон после упругого столкновения меняет направление своего импульса на противоположное, и поэтому импульс, переданный телу отражённым фотоном, равен
.
Таким образом, от каждого фотона, входящего в световой поток, тело получает некоторый импульс. Вот простая и очевидная причина того, что свет оказывает давление на освещаемую поверхность.
Суммарный импульс, полученный телом от падающих фотонов, равен:
На нашу поверхность действует сила
, равная импульсу, полученному телом в единицу времени:
Давление света есть отношение этой силы к площади освещаемой поверхности:
(6)
Выражение имеет простой физический смысл: будучи произведением энергии фотона на число фотонов в единице объёма, оно равно энергии света в единице объёма, то есть объёмной плотности энергии
. Тогда соотношение (6) приобретает вид:
Это и есть формула для давления света, теоретически выведенная Максвеллом (в рамках классической электродинамики) и экспериментально проверенная в опытах Лебедева.
к оглавлению ▴
Двойственная природа света
В результате рассмотрения всей совокупности оптических явлений возникает естественный вопрос: что же такое свет? Непрерывно распределённая в пространстве электромагнитная волна или поток отдельных частиц — фотонов? Теория и эксперименты приводят к заключению, что оба ответа должны быть утвердительными.
1. Явления интерференции и дифракции света, характерные для любых волновых процессов, не оставляют сомнений в том, что свет есть форма волнового движения материи.
Таким образом, мы должны признать: да, свет имеет волновую природу, свет — это электромагнитная волна.
2. Однако явления взаимодействия света и вещества (например, фотоэффект) указывают на то, что свет ведёт себя как поток отдельных частиц. Эти частицы — фотоны — ведут, так сказать, самостоятельный образ жизни, обладают энергией и импульсом, участвуют во взаимодействиях с атомами и электронами. Излучение света — это рождение фотонов.
Распространение света — это движение фотонов в пространстве. Отражение и поглощение света — это соответственно упругие и неупругие столковения фотонов с частицами вещества.
Все попытки истолковать указанные явления излучения и поглощения света в рамках волновых представлений классической физики окончились неудачей. Оставалось лишь согласиться с тем, что свет имеет корпускулярную природу (от латинского слова corpusculum — маленькое тельце, частица), свет — это совокупность фотонов, мчащихся в пространстве.
Таким образом, свет имеет двойственную, корпускулярно-волновую природу — он может проявлять себя то так, то эдак. В одних явлениях (интерференция, дифракция) на передний план выходит волновая природа, и свет ведёт себя в точности как волна. Но в других явлениях (фотоэффект) доминирует корпускулярная природа, и свет ведёт себя подобно потоку частиц.
Странно всё это, не правда ли? Но что поделать — так устроена природа. Мы, люди, живём среди макроскопических тел, и наше воображение оказалось не способным полноценно представить себе явления микромира.
Природа, однако, неизмеримо шире и богаче того, что может вместить в себя человеческое воображение. Признав это и руководствуясь не столько собственным воображением, сколько наблюдениями, результатами экспериментов и весьма изощрённой математикой, люди начали успешно создавать квантовую теорию микроскопических явлений и процессов.
О некоторых парадоксальных на первый взгляд — но тем не менее подтверждённых экспериментально! — выводах квантовой теории мы поговорим в следующем листке.
Спасибо за то, что пользуйтесь нашими материалами.
Информация на странице «Фотоны» подготовлена нашими авторами специально, чтобы помочь вам в освоении предмета и подготовке к экзаменам.
Чтобы успешно сдать необходимые и поступить в высшее учебное заведение или колледж нужно использовать все инструменты: учеба, контрольные, олимпиады, онлайн-лекции, видеоуроки, сборники заданий.
Также вы можете воспользоваться другими материалами из данного раздела.
Публикация обновлена:
07.05.2023
Видеоурок: Давление света. Масса и импульс фотона
Лекция: Давление света. Давление света на полностью отражающую поверхность и на полностью поглощающую поверхность
Так как свет имеет корпускулярные свойства, то, как и все атомы любого вещества, он оказывает давление на действующую поверхность. Данное предположение было подтверждено П.Н. Лебедевым, а Максвелл вывел формулу, позволяющую определить, какое давление оказывают фотоны света.
Итак, вывести формулу достаточно просто. Предположим, что некоторая поверхность освещается светом, который падает перпендикулярно. Свет имеет определенную длину волны и частоту.
За некоторое время на ограниченную освещенную поверхность падает некоторое число фотонов.
Как мы знаем, во время попадания света на некоторую поверхность, он частично поглощается и частично отражается. Во время поглощения фотоны отдают свою энергию.
r — коэффициент отражения, который меньше единицы.
В результате многочисленных преобразований можно получить, что давление света определяется по следующей формуле:
n — концентрация фотонов.
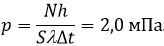
Участок стены площадью
1,0 м2 освещается светом с длиной волны 3,31•10-7 м.
Ежесекундно падает и полностью поглощается 1,0•1024 квантов света.
Свет падает перпендикулярно поверхности стены. Найти давление, оказываемое
светом на стену.
Решение.
Давление света можно
рассчитать по следующей формуле.
I –
интенсивность света; ρ = 0 – коэффициент отражения.
Распишем интенсивность
света I.
N –
число падающих на стену фотонов; S
– площадь стены. Отсюда находим давление p.
Ответ: давление,
оказываемое светом на стену равно 2,0 мПа.
Источник: Пособие-репетитор для подготовки к централизованному тестированию. С.Н.Капельян, Л.А.Аксенович.













