6. Геометрия на плоскости (планиметрия). Часть II
1. Вспоминай формулы по каждой теме
2. Решай новые задачи каждый день
3. Вдумчиво разбирай решения
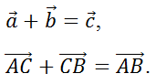
Векторы: правила сложения и вычитания
Вектор (overrightarrow{AB}) можно рассматривать как перемещение точки из положения (A) (начало движения) в положение (B) (конец движения). То есть траектория движения в этом случае не важна, важны только начало и конец!
(blacktriangleright) Два вектора коллинеарны, если они лежат на одной прямой или на двух параллельных прямых.
В противном случае векторы называются неколлинеарными.
(blacktriangleright) Два коллинеарных вектора называются сонаправленными, если их направления совпадают.
Если их направления противоположны, то они называются противоположно направленными.
Правила сложения коллинеарных векторов:
(blacktriangleright) Для того, чтобы сложить два сонаправленных вектора, можно отложить второй вектор от конца первого. Тогда их сумма – вектор, начало которого совпадает с началом первого вектора, а конец – с концом второго (рис. 1).
(blacktriangleright) Для того, чтобы сложить два противоположно направленных вектора, можно отложить второй вектор от начала первого. Тогда их сумма – вектор, начало которого совпадает с началом обоих векторов, длина равна разности длин векторов, направление совпадает с направлением большего по длине вектора (рис. 2).
Правила сложения неколлинеарных векторов (overrightarrow
{a}) и (overrightarrow{b}):
(blacktriangleright) Правило треугольника (рис. 3).
Нужно от конца вектора (overrightarrow {a}) отложить вектор (overrightarrow {b}). Тогда сумма (overrightarrow
{a}+overrightarrow {b}) – это вектор, начало которого совпадает с началом вектора (overrightarrow
{a}), а конец – с концом вектора (overrightarrow {b}).
(blacktriangleright) Правило параллелограмма (рис. 4).
Нужно от начала вектора (overrightarrow {a}) отложить вектор (overrightarrow {b}). Тогда сумма (overrightarrow
{a}+overrightarrow {b}) – вектор, совпадающей с диагональю параллелограмма, построенного на векторах (overrightarrow {a}) и (overrightarrow {b}) (начало которого совпадает с началом обоих векторов).
(blacktriangleright) Для того, чтобы найти разность двух векторов (overrightarrow {a}-overrightarrow{b}), нужно найти сумму векторов (overrightarrow {a}) и (-overrightarrow{b}): (overrightarrow{a}-overrightarrow{b}=overrightarrow{a}+(-overrightarrow{b})) (рис. 5).
Задание
1
#2638
Уровень задания: Сложнее ЕГЭ
Дан прямоугольный треугольник (ABC) с прямым углом (A), точка (O) – центр описанной около данного треугольника окружности. Координаты вектора (overrightarrow{AB}={1;1}), (overrightarrow{AC}={-1;1}). Найдите сумму координат вектора (overrightarrow{OC}).
Т.к. треугольник (ABC) — прямоугольный, то центр описанной окружности лежит на середине гипотенузы, т.е. (O) — середина (BC).
Заметим, что (overrightarrow{BC}=overrightarrow{AC}-overrightarrow{AB}), следовательно, (overrightarrow{BC}={-1-1;1-1}={-2;0}).
Т.к. (overrightarrow{OC}=dfrac12 overrightarrow{BC}), то (overrightarrow{OC}={-1;0}).
Значит, сумма координат вектора (overrightarrow{OC}) равна (-1+0=-1).
Ответ: -1
Задание
2
#674
Уровень задания: Сложнее ЕГЭ
(ABCD) – четырёхугольник, на сторонах которого отложены векторы (overrightarrow{AB}), (overrightarrow{BC}), (overrightarrow{CD}), (overrightarrow{DA}). Найдите длину вектора (overrightarrow{AB} + overrightarrow{BC} + overrightarrow{CD} + overrightarrow{DA}).
(overrightarrow{AB} + overrightarrow{BC} = overrightarrow{AC}), (overrightarrow{AC} + overrightarrow{CD} = overrightarrow{AD}), тогда
(overrightarrow{AB} + overrightarrow{BC} + overrightarrow{CD} + overrightarrow{DA} = overrightarrow{AC} + overrightarrow{CD} + overrightarrow{DA}= overrightarrow{AD} + overrightarrow{DA} = overrightarrow{AD} — overrightarrow{AD} = vec{0}).
Нулевой вектор имеет длину, равную (0).
Вектор можно воспринимать как перемещение, тогда (overrightarrow{AB} + overrightarrow{BC}) – перемещение из (A) в (B), а затем из (B) в (C) – в итоге это перемещение из (A) в (C).
При такой трактовке становится очевидным, что (overrightarrow{AB} + overrightarrow{BC} + overrightarrow{CD} + overrightarrow{DA} = vec{0}), ведь в итоге здесь из точки (A) переместились в точку (A), то есть длина такого перемещения равна (0), значит, и сам вектор такого перемещения есть (vec{0}).
Ответ: 0
Задание
3
#1805
Уровень задания: Сложнее ЕГЭ
Дан параллелограмм (ABCD). Диагонали (AC) и (BD) пересекаются в точке (O). Пусть (overrightarrow{AB} = vec{a}), (overrightarrow{AD} = vec{b}), тогда (overrightarrow{OA} = xcdotvec{a} + ycdotvec{b}), где (x) и (y) – некоторые числа. Найдите число, равное (x + y).
[overrightarrow{OA} = frac{1}{2}overrightarrow{CA} = frac{1}{2}(overrightarrow{CB} + overrightarrow{BA}) = frac{1}{2}(overrightarrow{DA} + overrightarrow{BA}) = frac{1}{2}(-vec{b} — vec{a}) = — frac{1}{2}vec{a} — frac{1}{2}vec{b}] (Rightarrow) (x = — frac{1}{2}), (y = — frac{1}{2}) (Rightarrow) (x + y = -1).
Ответ: -1
Задание
4
#1806
Уровень задания: Сложнее ЕГЭ
Дан параллелограмм (ABCD). Точки (K) и (L) лежат на сторонах (BC) и (CD) соответственно, причем (BK:KC = 3:1), а (L) – середина (CD). Пусть (overrightarrow{AB} = vec{a}), (overrightarrow{AD} = vec{b}), тогда (overrightarrow{KL} = xcdotvec{a} + ycdotvec{b}), где (x) и (y) – некоторые числа. Найдите число, равное (x + y).
[overrightarrow{KL} = overrightarrow{KC} + overrightarrow{CL} = frac{1}{4}overrightarrow{BC} + frac{1}{2}overrightarrow{CD} = frac{1}{4}overrightarrow{AD} + frac{1}{2}overrightarrow{BA} = frac{1}{4}vec{b} — frac{1}{2}vec{a}] (Rightarrow) (x = -frac{1}{2}), (y = frac{1}{4}) (Rightarrow) (x + y = -0,25).
Ответ: -0,25
Задание
5
#1807
Уровень задания: Сложнее ЕГЭ
Дан параллелограмм (ABCD). Точки (M) и (N) лежат на сторонах (AD) и (BC) соответственно, причем (AM:MD = 2:3), а (BN:NC = 3:1). Пусть (overrightarrow{AB} = vec{a}), (overrightarrow{AD} = vec{b}), тогда (overrightarrow{MN} = xcdotvec{a} + ycdotvec{b}), где (x) и (y) – некоторые числа. Найдите число, равное (xcdot y).
[overrightarrow{MN} = overrightarrow{MA} + overrightarrow{AB} + overrightarrow{BN} = frac{2}{5}overrightarrow{DA} + overrightarrow{AB} + frac{3}{4}overrightarrow{BC} = — frac{2}{5}overrightarrow{AD} + overrightarrow{AB} + frac{3}{4}overrightarrow{BC} = -frac{2}{5}vec{b} + vec{a} + frac{3}{4}vec{b} = vec{a} + frac{7}{20}vec{b}] (Rightarrow) (x = 1), (y = frac{7}{20}) (Rightarrow) (xcdot y = 0,35).
Ответ: 0,35
Задание
6
#1808
Уровень задания: Сложнее ЕГЭ
Дан параллелограмм (ABCD). Точки (P) лежит на диагонали (BD), точка (Q) лежит на стороне (CD), причем (BP:PD = 4:1), а (CQ:QD = 1:9). Пусть (overrightarrow{AB} = vec{a}), (overrightarrow{AD} = vec{b}), тогда (overrightarrow{PQ} = xcdotvec{a} + ycdotvec{b}), где (x) и (y) – некоторые числа. Найдите число, равное (xcdot y).
[begin{gathered}
overrightarrow{PQ} = overrightarrow{PD} + overrightarrow{DQ} = frac{1}{5}overrightarrow{BD} + frac{9}{10}overrightarrow{DC} = frac{1}{5}(overrightarrow{BC} + overrightarrow{CD}) + frac{9}{10}overrightarrow{AB} =\
= frac{1}{5}(overrightarrow{AD} + overrightarrow{BA}) + frac{9}{10}overrightarrow{AB} = frac{1}{5}(overrightarrow{AD} — overrightarrow{AB}) + frac{9}{10}overrightarrow{AB} = frac{1}{5}overrightarrow{AD} + frac{7}{10}overrightarrow{AB} = frac{1}{5}vec{b} + frac{7}{10}vec{a}end{gathered}]
(Rightarrow) (x = frac{7}{10}), (y = frac{1}{5}) (Rightarrow) (xcdot y = 0,14).
Ответ: 0,14
Задание
7
#1809
Уровень задания: Сложнее ЕГЭ
Дан правильный шестиугольник (ABCDEF). Пусть (overrightarrow{AB} = vec{a}), (overrightarrow{AF} = vec{b}), тогда (overrightarrow{BC} = xcdotvec{a} + ycdotvec{b}), где (x) и (y) – некоторые числа. Найдите число, равное (x + y).
Отрезки (AD), (BE) и (CF) пересекаются в точке (O) и делятся этой точкой пополам. (BC parallel AD) и (ABCO) – параллелограмм; (AF parallel BE) и (ABOF) – параллелограмм (Rightarrow) [overrightarrow{BC} = overrightarrow{AO} = overrightarrow{AB} + overrightarrow{BO} = overrightarrow{AB} + overrightarrow{AF} = vec{a} + vec{b}] (Rightarrow) (x = 1), (y = 1) (Rightarrow) (x + y = 2).
Ответ: 2
Старшеклассники, которые готовятся к сдаче ЕГЭ по математике и при этом рассчитывают на получение достойных баллов, обязательно должны повторить тему «Правила сложения и вычитания нескольких векторов». Как видно из многолетней практики, подобные задания каждый год включаются в аттестационное испытание. Если у выпускника вызывают трудности задачи из раздела «Геометрия на плоскости», к примеру, в которых требуется применить правила сложения и вычитания векторов, ему обязательно стоит повторить или вновь разобраться в материале, чтобы успешно сдать ЕГЭ.
Образовательный проект «Школково» предлагает новый подход в подготовке к аттестационному испытанию. Наш ресурс выстроен таким образом, чтобы учащиеся смогли выявить наиболее сложные для себя разделы и восполнить пробелы в знаниях. Специалисты «Школково» подготовили и систематизировали весь необходимый материал для подготовки к сдаче аттестационного испытания.
Для того чтобы задачи ЕГЭ, в которых необходимо применить правила сложения и вычитания двух векторов, не вызывали затруднений, мы рекомендуем прежде всего освежить в памяти базовые понятия. Найти этот материал учащиеся смогут в разделе «Теоретическая справка».
Если вы уже вспомнили правило вычитания векторов и основные определения по данной теме, предлагаем закрепить полученные знания, выполнив соответствующие упражнения, которые подобрали специалисты образовательного портала «Школково». Для каждой задачи на сайте представлен алгоритм решения и дан правильный ответ. В теме «Правила сложения векторов» представлены различные упражнения; выполнив два-три сравнительно легких задания, учащиеся могут последовательно переходить к более сложным.
Оттачивать собственные навыки по таким, например, заданиям, как задачи на координатной плоскости, школьники имеют возможность в режиме онлайн, находясь в Москве или любом другом городе России. При необходимости задание можно сохранить в разделе «Избранное». Благодаря этому вы сможете быстро найти интересующие примеры и обсудить алгоритмы нахождения правильного ответа с преподавателем.

Как готовиться к сочинению за 2 дня до ЕГЭ? Четко и без воды
Как готовиться к сочинению за 2 дня до ЕГЭ? Четко и без воды
ВИДЕО УРОК
Первой операцией
над векторами является сложение векторов.
Если материальная
точка переместилась из точки А в точку
В, а потом из точки
В в точку С, то в результате она перейдёт из точки А в точку С.
Поэтому говорят, что
направленные отрезки
характеризующие эти перемещения, складываясь,
дают направленный отрезок
Это записывают так:
В этом случае видно,
что процесс сложения векторов происходит так:
конец первого вектора
является началом второго
а суммарный вектор
соединяет начало первого вектора и конец
второго.
Правило треугольника.
Чтобы
найти сумму двух векторов
нужно:
– отложить вектор
равный
от произвольной точки С;
– отложить вектор
равный b, от точки D;
– построить вектор
который соединяет начало
первого слагаемого с концом второго;
– вектор
является
суммой векторов
ПРИМЕР:
На рисунке
изображены:
ПРИМЕР:
На рисунке
изображены:
ПРИМЕР:
Пусть, двигаясь
горизонтально со скоростью 3 м/сек, кран поднимает ящик со скоростью 1 м/сек. На рисунке
изображены в масштабе
скорость ящика относительно крана
направленная вертикально
вверх, и скорость движения крана
направление которой совпадает с направлением движения
крана.
Сумма векторов
– вектор
который изображает
скорость ящика относительно неподвижной системы отсчёта:
Чтобы сложить эти векторы, нужно:
1.
Выбрать исходную точку А (возможно, ту точчку, к которой приложена
заданная сила).
2. От точки
А отложить
вектор
3. От
точки В отложить вектор
4. Построить
вектор
Правило параллелограмма для
сложения неколлинеарных векторов.
ПРИМЕР:
Пусть нам даны векторы
которые неколлинеарны,
то есть не лежат на одной прямой.
Отложим эти векторы от
некоторой точки А, то есть
Тогда суммарный вектор
изобразится диагональю параллелограмма АВСD, построенного на
векторах
Мы получили второе
правило сложения векторов – правило
параллелограмма.
Если
векторы неколлинеарные, то их сумма представляется диагональю построенного на
них параллелограмма.
Чтобы
найти сумму двух неколлинеарных векторов
нужно:
–
отложить от произвольной точки О векторы
– использовать
эти векторы как стороны параллелограмма;
–
построить вектор
– диагональ
параллелограмма, соединяющую вершины О и С:
искомый вектор – сумма
векторов
Для любого вектора
верно равенство
Законы сложения векторов.
Переместительный закон:
Сочетательный закон:
Эти равенства справедливы для любых векторов
Правило многоугольника.
Для того, чтобы
сложить любое количество векторов, надо последовательно откладывать эти векторы
таким образом, чтобы каждый следующий вектор начинался от конца предыдущего.
Тогда суммой всех данных векторов будет вектор, который начинается от начала
первого вектора и соединяет его с концом последнего. Порядок сложения значения
не имеет.
ПРИМЕР:
Чтобы сложить несколько векторов, например
векторы
удобно построить
векторную ломаную.
Эта ломаная состоит из
направленных отрезков
Вектор
соединяющий
начало ломаной ABCD и её
конец, и является суммой
Если ломаная получилась
замкнутой, то сумма векторов равна нуль-вектору,
то есть
Для
любого вектора
выполняется равенство
ПРИМЕР:
На рисунке
изображена сумма
Можно складывать в
другом порядке:
Результат при этом будет тот же.
Нахождение суммы векторов с помощью
координат.
При сложении векторов их
соответствующие координаты складываются. А именно, если
то есть
ПРИМЕР:
Найти сумму векторов:
РЕШЕНИЕ:
Разложение
вектора на составляющие.
При
изучении и использовании векторов часто приходится говорить о так называемом
разложении вектора на составляющие.
Составляющими данного вектора называют такие векторы,
сумма которых равна этому вектору.
Данный
вектор <<составляется>> из составляющих как сумма слагаемых и
разлагается на них как на слагаемые, поэтому говорят о разложении на
составляющие.
Пусть
в плоскости α даны две прямые а и b,
пересекающиеся в точке О.
Возьмём какой-нибудь вектор
и отложим его от точки О.
Если точка
V не лежит
ни на прямой а, ни
на прямой b, то
проведём через точку V прямые
и построим параллелограмм OAVB. Его диагональю будет
отрезок OV, а
его стороны ОА и ОВ лежат
соответственно на прямых а и b. По
правилу параллелограмма для сложения векторов получим
Векторы
являются составляющими вектора
по прямым
а и b,
Если V ∈ a, то
а составляющая по b нулевая:
Аналогично в случае, когда
Мы
выполнили разложение вектора по двум пересекающимся прямым.
Можно
разложить вектор по двум неколлинеарным векторам.
Возьмём
два неколлинеарных вектора
Отложим их от точки О.
Пусть
– вектор параллельный плоскости ОВС. Отложим его от точки О.
Через точку
А проведём
прямые, параллельные векторам
Тогда
Векторы
коллинеарны.
Значит,
и поэтому
Такое представление вектора
через векторы
называют
разложение вектора по неколлинеарным векторам.
Разность векторов.
Введём операцию разности двух векторов. Эта операция вводится так же как и
для чисел.
Разностью
векторов
называют такой вектор
который в сумме с
вычитаемым вектором
даёт вектор
Разностью векторов
будет вектор
то есть вектор, который соединяет концы векторов
и направлен от вычитаемого к уменьшаемому.
ПРИМЕР:
Построим разность двух
векторов
Отложим
от какой-нибудь точки О данные векторы
Рассмотрим вектор
Мы видим, что
(правило треугольника).
Вектор
будет разностью векторов
то есть
Если
вектор
обозначить
через
Равенство
можно
назвать правилом нахождения разности двух векторов.
Противоположные векторы – векторы, имеющие одинаковые
длины и противоположно направленные.
На рисунке
изображены два противоположных друг другу вектора.
Записывают их так:
Причём, если сложить противоположные векторы (по правилу треугольника), то
в сумме получится нуль-вектор, то есть:
Верно и обратное утверждение: если сумма двух векторов равна нуль-вектору,
то они противоположны.
Если
Нуль-вектор считается противоположным самому себе.
Определение разности векторов с помощью координат.
Координаты разности двух векторов равняются разности соответствующих
координат вектора – уменьшаемого и вектора – вычитаемого.
Теорема о разности векторов.
Равенство
справедливо для любых векторов
Правила вычитания векторов.
ПЕРВЫЙ СПОСОБ
Для того чтобы вычесть из одного вектора другой, надо к первому вектору
прибавить вектор, противоположный второму.
ПРИМЕР:
ВТОРОЙ СПОСОБ
Для того чтобы вычесть из одного вектора другой, надо из произвольной точки
плоскости отложить оба вектора, затем построить вектор, который начинается на
конце второго вектора (вычитаемого), а заканчивается на конце первого вектора
(уменьшаемого).
ПРИМЕР:
ПРИМЕР:
Пусть даны векторы
Построить вектор
РЕШЕНИЕ:
Построим произвольную точку О и отложим от неё векторы
Соединив точку В с точкой
А,
получим вектор
По правилу треугольника для
построения суммы двух векторов видим, что
то есть
тогда
ОТВЕТ:
ПРИМЕР:
Пусть
Найдите вектор:
РЕШЕНИЕ:
ОТВЕТ:
Задания к уроку 3
- Задание 1
- Задание 2
- Задание 3
ДРУГИЕ УРОКИ
- Урок 1. Понятие вектора
- Урок 2. Координаты вектора
- Урок 4. Произведение векторов
- Урок 5. Векторы в пространстве
- Урок 6. Действия над векторами в пространстве
- Урок 7. Решение задач с помощью векторов
- Урок 8. Преобразование фигур
Эксперт по предмету «Математика»
Задать вопрос автору статьи
Откладывание вектора от данной точки
Для того, чтобы ввести сумму векторов, сначала необходимо разобраться в таком понятии, как откладывание вектора от данной точки.
Определение 1
Если точка $A$ начала какого-либо вектора $overrightarrow{a}$, то говорят, что вектор $overrightarrow{a}$ отложен от точки $A$ (рис. 1).
Рисунок 1. $overrightarrow{a}$ отложенный от точки $A$
Введем следующую теорему:
От любой точки $K$ можно отложить вектор $overrightarrow{a}$ и притом только один.
Доказательство.
Существование: Здесь нужно рассмотреть два случая:
-
Вектор $overrightarrow{a}$ — нулевой.
В этом случае, очевидно, что искомый вектор — вектор $overrightarrow{KK}$.
-
Вектор $overrightarrow{a}$ — ненулевой.
Обозначим точкой $A$ начало вектора $overrightarrow{a}$, а точкой $B$ — конец вектора $overrightarrow{a}$. Проведем через точку $K$ прямую $b$ параллельную вектору $overrightarrow{a}$. Отложим на этой прямой отрезки $left|KLright|=|AB|$ и $left|KMright|=|AB|$. Рассмотрим векторы $overrightarrow{KL}$ и $overrightarrow{KM}$. Из этих двух векторов искомым будет тот, который будет сонаправлен с вектором $overrightarrow{a}$ (рис. 2)
Рисунок 2. Иллюстрация теоремы 1
Единственность: единственность сразу следует из построения, проведенного в пункте «существование».
Теорема доказана.
Сложение векторов. Правило треугольника
Пусть нам даны векторы $overrightarrow{a}$ и $overrightarrow{b}$.
Определение 2
Суммой векторов $overrightarrow{a}+overrightarrow{b}$ называется вектор $overrightarrow{c}=overrightarrow{AC}$, построенный следующим образом: От произвольной точки $A$ отклабывается вектор $overrightarrow{AB}=overrightarrow{a}$, затем от полученной точки $B$ откладывается вектор $overrightarrow{BC}=overrightarrow{b}$ и соединяют точку $A$ c точкой $C$ (рис. 3).
Рисунок 3. Сумма векторов
«Сложение векторов. Как найти сумму векторов» 👇
Замечание 1
Иначе, определение 2, еще называют правилом треугольника для сложения двух векторов.
Из этого правила следует несколько свойств сложения двух векторов:
-
Для любого вектора $overrightarrow{a}$ выполняется равенство
[overrightarrow{a}+overrightarrow{0}=overrightarrow{a}]
-
Для любых произвольных точек $A, B и C$ выполняется равенство
[overrightarrow{AB}+overrightarrow{BC}=overrightarrow{AC}]
Замечание 2
Аналогично правилу треугольника можно строить сумму любого количества векторов. Такое правило сложения называется правилом многоугольника.
Правило параллелограмма
Помимо правила треугольника для сложения двух векторов, есть еще правило параллелограмма для сложения двух векторов. Сформулируем и докажем для начала следующую теорему.
Теорема 2
Для любых треух векторов $overrightarrow{a}, overrightarrow{b} и overrightarrow{c}$ справедливы следующие два закона:
- Переместительный закон:
[overrightarrow{a}+overrightarrow{b}=overrightarrow{b}+overrightarrow{a}]
- Сочетательный закон:
[left(overrightarrow{a}+overrightarrow{b}right)+overrightarrow{c}=overrightarrow{a}+left(overrightarrow{b}+overrightarrow{c}right)]
Доказательство.
Переместительный закон:
-
Пусть векторы $overrightarrow{a} и overrightarrow{b}$ не коллинеарны.
Возьмем произвольную точку $A$ и построим от нее (на одном рисунке) суммы $overrightarrow{a}+overrightarrow{b} и overrightarrow{b}+overrightarrow{a}$. Получим следующий рисунок (рис 4).
Рисунок 4. Иллюстрация переместительного закона
Очевидно, что $overrightarrow{a}+overrightarrow{b}=overrightarrow{AB}+overrightarrow{BC}=overrightarrow{AC}$, а $overrightarrow{b}+overrightarrow{a}=overrightarrow{AD}+overrightarrow{DC}=overrightarrow{AC}$
Следовательно, $overrightarrow{a}+overrightarrow{b}=overrightarrow{b}+overrightarrow{a}$.
-
Пусть векторы $overrightarrow{a} и overrightarrow{b}$ коллинеарны.
Тогда выполнение переместительно закона будет очевидно вытекать из равенства длин $left|overrightarrow{a}+overrightarrow{b}right|и |overrightarrow{b}+overrightarrow{a}|$.
Сочетательный закон:
Построим следующий рисунок: Отложим от произвольной точки $A$ вектор $overrightarrow{AB}=overrightarrow{a}$, от полученной точки $B$ — вектор $overrightarrow{BC}=overrightarrow{b}$ и от точки $C$ — вектор $overrightarrow{CD}=overrightarrow{c}$ (Рис. 5).
Рисунок 5. Иллюстрация сочетательного закона
Из свойства правила треугольника $overrightarrow{AB}+overrightarrow{BC}=overrightarrow{AC}$, получим:
Следовательно, $left(overrightarrow{a}+overrightarrow{b}right)+overrightarrow{c}=overrightarrow{a}+left(overrightarrow{b}+overrightarrow{c}right)$.
Теорема доказана.
Из этой теоремы мы теперь можем выделить правило параллелограмма для суммы двух неколлинеарных векторов: чтобы сложить два неколлинеарных вектора $overrightarrow{a}$ и $overrightarrow{b}$, нужно отложить от произвольной точки $A$ векторы $overrightarrow{AB}=overrightarrow{a}$ и $overrightarrow{AD}=overrightarrow{b}$ и построить параллелограмм $ABCD$. Тогда $overrightarrow{a}+overrightarrow{b}=overrightarrow{AC}$.
Пример задачи на сложение векторов
Пример 1
Дан четырехугольник $ABCD$. Доказать, что $overrightarrow{AB}+overrightarrow{BC}+overrightarrow{CD}=overrightarrow{AD}$
Рисунок 6.
Доказательство.
Воспользуемся свойством правила треугольника $overrightarrow{AB}+overrightarrow{BC}=overrightarrow{AC}$, получим:
[overrightarrow{AB}+overrightarrow{BC}+overrightarrow{CD}=overrightarrow{AC}+overrightarrow{CD}=overrightarrow{AD}]
ч. т. д.
Находи статьи и создавай свой список литературы по ГОСТу
Поиск по теме
Содержание:
Определение: Вектором называется направленный отрезок прямой
где А — начало, а В — конец вектора.
Замечание: Векторы в основном обозначают одной прописной буквой латинского алфавита со стрелочкой (или черточкой) наверху 
Определение: Если начало и конец вектора 
Замечание: Свободный вектор можно перемещать как вдоль его прямой, так и параллельно самому себе.
Определение: Если зафиксирована точка, которая определяет начало вектора, то она называется точкой приложения вектора.
Определение: Длиной (модулем) вектора а называется расстояние от его начала до его конца:
Определение: Векторы называются коллинеарными (Рис. 1), если они лежат на одной прямой или в параллельных прямых.
Рис.1. Коллинеарные векторы.
Определение: Векторы называются компланарными (Рис. 2), если они лежат в одной плоскости или параллельных плоскостях.
Рис.2. Компланарные векторы.
Определение: Два коллинеарных вектора 

Определение вектора и основные свойства
Многие величины, например, масса, длина, время, температура и др. характеризуются только числовыми значениями. Такие величины называются скалярными величинами. Некоторые же величины, например, скорость, ускорение, сила и др. определяются как числовыми значениями, так и направлением. Такие величины называются векторными величинами. Перемещение — самый простой пример векторных величин. Перемещение тела из точки 



Длина этого отрезка, называется длиной или модулем вектора. Вектор обозначается указанием начальной и конечной точки. Например, вектор 




Два вектора называется равными, если они равны по модулю и одинаково направлены. На рисунке векторы 


• Два вектора называются противоположными, если они равны по модулю и противоположно направлены.
Векторы 

Если начало и конец вектора совпадают, то такой вектор называется нулевым и обозначается 


На рисунке векторы 
Выражения вектора компонентами в координатной плоскости
Рассмотрим вектор 
















Равные векторы имеют равные компоненты. Наоборот, если, соответствующие компоненты векторов равны, то эти векторы равны. На рисунке 

На координатной плоскости вектор 





Длина вектора
Длину вектора можно найти по координатам начальной у и конечной точек, используя формулу расстояния между точками.
Длину вектора данными с компонентами можно найти по формуле:
Пример 1.
Напишите вектор 


Решение: Напишем вектор с компонентами:
Пример 2.
Точка 

Решение: Примем за координаты конечной точки вектора 


Пример 3.
В координатной плоскости нарисуйте несколько векторов равных вектору 

Решение: Данные точки отмечаются на координатной плоскости. Начиная с этих точек изображаются векторы равные
Пример 4.




Направление вектора
В соответствии с областями применения существуют различные способы определения направления вектора. В повседневной жизни мы выражаем направление словами налево, направо, вниз, вверх или же восток, запад, север, юг. На координатной плоскости направление вектора определяется углом с положительным направлением оси 
На рисунке длина вектора 


длина вектора:
направление вектора: 
Иногда для простоты вектор изображается на плоскости только указанием положительного направления 
Пример 1.
Вектор перемещения, модуль которого 200 м, направлен под углом наклона 
Решение: От начала луча, образующий с положительным направлением оси 

Пример 2.
Определите длину и угол наклона вектора
Решение: Произвольную точку на координатной плоскости примем за начало вектора. От этой точки по горизонтальной оси отложим компоненту 




Длина вектора: 
Сложение и вычитание коллинеарных векторов
Вектор, показывающий сумму одинаково направленных коллинеарных векторов называется результирующим. Его абсолютная величина равна сумме абсолютных величин данных векторов, а сам вектор имеет одинаковое направление с данными векторами.
Абсолютная величина результирующего вектора 2-х противоположно-направленных коллинеарных векторов равна разности абсолютных величин этих векторов, а направление совпадает с направлением вектора большего по абсолютной величине.
Выполним графически сложение векторов, соответствующее реальным жизненным ситуациям.
Задача 1.
Для того, чтобы достичь финиша, Джамиля должна пройти 3 знака. Если она пройдет 10 м на восток, то доберется до 1-го знака, потом пройдя 50 м вперед до 2-го знака и, пройдя в том же направлении еще 20 м, сможет добраться до финиша. Изобразите движение Джамили графически — векторами. Выберем масштаб:
1 см : 10 м и на числовой оси нарисуем векторы так, чтобы начало второго вектора совпало с концом первого, а начало третьего с концом второго.
Результирующий вектор обозначим через 
Общее перемещение: 10 м + 50 м + 20 м = 80 м (на восток) Изображается вектор 
Задача 2.
Представьте, что вы прошли 100 м на восток, еще 200 метров на запад.
Нарисуем данные вектора в масштабе
По определению, модуль результирующего вектора равен разности модулей векторов. А направление будет на запад.
В этом случае длина результирующего вектора 
200 м 100 м = 100 м (на запад)
Пусть векторы 





При 


При 

Для того, чтобы найти разность 



То есть выражения 
Жившие в XVII веке ученые-математики Рене Декарт и Пьер Ферма, взаимосвязывая алгебру и геометрию, создали новую область науки-аналитическую геометрию. Аналитическая геометрия, благодаря методу координат, позволила, с одной стороны, посредством алгебраических выкладок легко доказывать геометрические теоремы, а с другой стороны, в силу наглядности геометрических представлений упрощает решение задач над векторами.
Сложение векторов
Существуют различные способы сложения неколлинеарных векторов. Рассмотрим два графических способа. При сложении векторов графическим способом данные вектора и результирующий вектор, показывающий их сумму строятся с помощью линейки (модуль) и транспортира(направление).
Вектора можно складывать в любой последовательности. Переместительное свойство сложения верно и для векторов. По этому правилу можно складывать три и более вектора. Определим графическим способом вектор 




3. Соединим начальную точку вектора 

Пример 1.
Джамал прошел от палатки, разбитой в лагере 60 метров на юг, 120 м на восток, еще 100 м на север и дошел до озера. Какое наименьшее расстояние от палатки до озера?
Решение:
Выберем масштаб: 1 см : 40 м
Движение Джамала изобразим последовательно соответствующими векторами по выбранному масштабу.
Начальную точку 1-го вектора, показывающего движение Джамала, соединим с конечной точкой 3-го вектора. Полученный результирующий вектор 

Ответ: Озеро находится на расстоянии 126,4 м от палатки.
Правило параллелограмма
1. Даны вектора: 
2. Переместим вектор 


3. Построим параллелограмм со сторонами 




Переместительные и сочетательные свойства сложения векторов
Для любых векторов 
Переместительное свойство:
Сочетательное свойство:
Свойство идентичности:
Сумма противоположенных векторов:
Пример:
Сложение векторов, заданных компонентами
Выполним сложение двух векторов на координатной плоскости, используя их компоненты.
Суммой векторов 

Пример 1.
Если 


Решение: Для того, чтобы найти компоненты вектора 
Пример 2.
Самолет летит в направлении северо-востока со скоростью 707 миль/час. Скорость самолета выражается вектором 

Конечная скорость самолета:
Аналогично можно показать, что
Пример 3.
Если 
Тригонометрические отношения и компоненты вектора
Найдем компоненты вектора 


Запись 
Пример 1.
Автомобиль движется в северо-восточном направлении под углом 
Решение: По данным
скорость в вост. напр.
скорость в север, напр.
Пример 2.
Движения мяча изображены двумя векторами: 



Решение: Перемещение мяча: 

Здесь
Пусть
По правилу сложения векторов с заданными компонентами имеем:
Найдем длину и угол наклона вектора перемежения 
Умножение вектора на число
Произведение вектора











Свойство умножения вектора на число
1. Сочетательное свойство.
Для любых чисел 
2. Распределительное свойство.
Для любых чисел 
Для любого числа 
Действия над векторами, заданным над координатами
Для вектора 

Пример: Если
Пример: Если
• Соответствующие координаты коллинеарных векторов пропорциональны.
• Наоборот, если соответствующие координаты векторов пропорциональны, то эти векторы коллинеарные.
Условие коллинеарности векторов 

Пример: При каком значении 

Подробное объяснение вектора:
Определение: Вектор — Упорядоченную совокупность 

Пример:
Если, например, некоторый автомобильный завод должен выпустить в смену 50 легковых автомобилей, 100 грузовых, 10 автобусов, 50 комплектов запчастей для легковых автомобилей и 150 комплектов для грузовых автомобилей и автобусов, то производственную программу этого завода можно записать в виде вектора (50, 100, 10, 50, 150), имеющего пять компонент.
Обозначения:
Векторы обозначают жирными строчными буквами или буквами с чертой или стрелкой наверху, например, 
Компоненты вектора нельзя менять местами, например, (3, 2, 5, 0, 1) 
Операции над векторами. Произведением вектора 




Пространство векторов. N-мерное векторное пространство 
Экономическая иллюстрация. Экономическая иллюстрация n-мерного векторного пространства: пространство благ (товаров). Под товаром мы будем понимать некоторое благо или услугу, поступившие в продажу в определенное время в определенном месте. Предположим, что существует конечное число наличных товаров n; количества каждого из них, приобретенные потребителем, характеризуются набором товаров
где через 

Линейная независимость. Система 




Теорема 1. Система, состоящая из одного вектора, линейно зависима тогда и только тогда, когда этот вектор нулевой.
Теорема 2. Для того, чтобы два вектора были линейно зависимы, необходимо и достаточно, чтобы они были коллинеарны.
Теорема 3. Для того, чтобы три вектора были линейно зависимы, необходимо и достаточно, чтобы они были компланарны.
Левая и правая тройки векторов. Тройка некомпланарных векторов 


Базис и координаты. Тройка 







Ортонормированный базис. Если векторы 



Векторное произведение. Векторным произведением вектора 


- Длина вектора
численно равна площади параллелограмма, построенного на векторах
- Вектор
перпендикулярен к каждому из векторов
- Векторы
взятые в указанном порядке, образуют правую тройку.
Для векторного произведения 
Если векторы 












Смешанное произведение имеет простое геометрическое толкование — это скаляр, по абсолютной величине равный объему параллелепипеда, построенного на трех данных векторах.
Если векторы образуют правую тройку, то их смешанное произведение есть число положительное, равное указанному объему; если же тройка 


Координаты векторов, встречающиеся в задачах первой главы, предполагаются заданными относительно правого ортонормированного базиса. Единичный вектор, сонаправленный вектору 



Пример №1
Найдите угол между векторами

Решение:
Имеем:
Окончательно имеем:
Пример №2
Зная векторы АВ(-3,-2,6) и ВС(-2,4,4), вычислите длину высоты AD треугольника АВС.
Решение:
Обозначая площадь треугольника АВС через S, получим:



Пример №3
Даны два вектора 




Решение:
Обозначим координаты вектора 




Из первого и второго уравнений системы получим 

Используя условие 
С учетом выражений для 

Линейные операции над векторами
1. Сумма векторов. Для нахождения суммы векторов существует два правила: а) правило треугольника. Пусть векторы 






Рис. 3. Сложение векторов по правилу треугольника.
б) правило параллелограмма. Пусть векторы 




Рис. 4. Сложение векторов по правилу параллелограмма.
Сумма векторов обладает следующими свойствами:
-переместительным 
2. Разность векторов. Разностью векторов 




3. Умножение вектора на вещественное число. При умножении веществе иного числа k на вектор 





Замечание: Числа в векторной алгебре называют скалярами. Отметим здесь, что векторы и скаляры нельзя складывать и вычитать, так как это объекты разной природы.
Замечание: Из определения операции 3 следует первое условие коллинеарности векторов: 
Пример №4
Найти произведение вектора 
Решение:
Используя вышеприведенное правило, получим
Произведение числа на вектор обладает следующими свойствами:
Замечание: Если k = 0, то в результате умножения 
Определение: Нулевым вектором называется вектор, начало и конец которого совпадают, т.е. расположены в одной точке.
Проекция вектора на произвольную ось
Пусть дана ось l и вектор 

которая параллельна оси l, угол между прямой и вектором 

Рис. 6. Проекция вектора на заданную ось.
Из начала и конца вектора 
Определение: Проекцией вектора 










Проекции обладают свойствами:
— если 
Декартова система координат и вектора
Определение: Направленная прямая с выбранным началом отсчета и масштабом измерения называется числовой осью.
Определение: Две (три) взаимно перпендикулярные числовые оси называются декартовой системой координат на плоскости (в пространстве).
Рассмотрим декартову систему координат и спроектируем вектор 
Рис. 7. Проекции вектора на оси декартовой системы координат.
Из рисунка видно, что проекции вектора 
(в пространстве — ось аппликат (Oz) 
Определение: Проекции 


Направляющие косинусы вектора 
Обозначим углы, которые образует вектор 

Определение: Величины 
Вычислив квадрат модуля вектора 

Способы задания вектора
- Задаются координаты начальной и конечной точек вектора
и
. Тогда
- Задаются аффинные координаты вектора
- Задаются длина вектора и два любых угла, которые образует вектор
с какими-либо координатными осями и знак одной из проекций:
, но так как по условию
, то
. Следовательно,
Деление отрезка в заданном отношении
Пусть в пространственной декартовой системе отсчета даны две точки 





Рис. 8. Деление отрезка в заданном отношении.
Из рисунка видно, что



Отсюда найдем вектор 




Понятие базиса векторов
Определение: Любые два (три) неколлинеарных (некомпланарных) вектора образуют базис.
Теорема: Пусть даны два неколлинеарных вектора 






Доказательство: Пусть векторы 


Рис. 9. Разложение вектора по заданному базису.
Из рисунка видно, что 






Докажем единственность разложения вектора 





Это означает, что векторы 




Замечание: С геометрической точки зрения числа 




Определение: Ортом направления оси 





Рис. 10. Орты (единичные векторы) декартовой системы координат.
Из Рис. 10 видно, что орты осей имеют следующие проекции:
Так как векторы 

Векторы в геометрии
Изучая материал этого параграфа, вы узнаете, что векторы используются не только в физике, но и в геометрии. Вы научитесь складывать и вычитать векторы, умножать вектор на число, находить угол между двумя векторами, применять свойства векторов для решения задач.
Понятие вектора в геометрии
Вы знаете много величин, которые определяются своими числовыми значениями: масса, площадь, длина, объем, время, температура и т. д. Такие величины называют скалярными величинами или скалярами.
Из курса физики вам знакомы величины, для задания которых недостаточно знать только их числовое значение. Например, если на пружину действует сила 5 
Величины, которые определяются не только числовым значением, но и направлением, называют векторными величинами или векторами.
Сила, перемещение, скорость, ускорение, вес — примеры векторных величин.
Есть векторы и в геометрии.
Рассмотрим отрезок 



Если указано, какая точка является началом отрезка, а какая точка — его концом, то такой отрезок называют направленным отрезком или вектором.
Вектор с началом в точке 


На рисунках вектор изображают отрезком со стрелкой, указывающей его конец. На рисунке 12.2 изображены векторы 

Вектор, у которого начало и конец — одна и та же точка, называют нулевым вектором или нуль-вектором и обозначают 


Модулем вектора 




Модуль нулевого вектора считают равным нулю:
Определение. Ненулевые векторы называют коллинеарными, если они лежат на параллельных прямых или на одной прямой.
Нулевой вектор считают коллинеарным любому вектору.
На рисунке 12.4 изображены коллинеарные векторы 
Тот факт, что векторы 
На рисунке 12.5 ненулевые коллинеарные векторы 
Если
Аналогичным свойством обладают и сонаправленные векторы, то есть если 
На рисунке 12.7 ненулевые коллинеарные векторы 
Определение. Ненулевые векторы называют равными, если их модули равны и они сонаправлены. Любые два нулевых вектора равны.
На рисунке 12.8 изображены равные векторы 
Равенство ненулевых векторов 

Нетрудно доказать, что если 
Часто, говоря о векторах, мы не конкретизируем, какая точка является началом вектора. Так, на рисунке 12.9 изображены вектор а и векторы, равные вектору 
На рисунке 12.10, а изображены вектор 





Покажем, как от произвольной точки 
Если вектор 
Теперь рассмотрим случай, когда 






Если точка 


От заданной точки можно отложить только один вектор, равный данному.
Пример №5
Дан четырехугольник 


Решение:
Из условия 


Равенство 

Координаты вектора
Рассмотрим на координатной плоскости вектор 





Числа 
Из определения следует, что равные векторы имеют равные соответствующие координаты. Например, каждый из равных векторов 
Справедливо и обратное утверждение: если соответствующие координаты векторов равны, то равны и сами векторы.
Действительно, если отложить такие векторы от начала координат, то их концы совпадут.
Очевидно, что нулевой вектор имеет координаты
Теорема 13.1. Если точки 



Доказательство: Пусть вектор 


Если 
Пусть 



Поскольку 



Эти равенства выполняются и тогда, когда точка 


Отсюда
Из формулы расстояния между двумя точками следует, что если вектор 

Пример №6
Даны координаты трех вершин параллелограмма 
Решение:
Поскольку четырехугольник 

Пусть координаты точки 


Имеем:
Отсюда:
Ответ:
Сложение и вычитание векторов
Если тело переместилось из точки 








Этот пример подсказывает, как ввести понятие суммы векторов, то есть как сложить два данных вектора 
Отложим от произвольной точки 







Описанный алгоритм сложения двух векторов называют правилом треугольника.
Это название связано с тем, что если векторы 

По правилу треугольника можно складывать и коллинеарные векторы. На рисунке 14.3 вектор 
Следовательно, для любых трех точек 

Теорема 14.1. Если координаты векторов 


Доказательство: Пусть точки 



Найдем координаты векторов
Имеем:
С учетом того, что 
Замечание. Описывая правило треугольника для нахождения суммы векторов 











Для любых векторов 
Для доказательства этих свойств достаточно сравнить соответствующие координаты векторов, записанных в правой и левой частях равенств. Сделайте это самостоятельно.
Сумму трех и более векторов находят так: сначала складывают первый и второй векторы, затем складывают полученный вектор с третьим и т. д. Например,
Из переместительного и сочетательного свойств сложения векторов следует, что при сложении нескольких векторов можно менять местами слагаемые и расставлять скобки любым способом.
В физике часто приходится складывать векторы, отложенные от одной точки. Так, если к телу приложены силы 
Для нахождения суммы двух неколлинеарных векторов, отложенных от одной точки, удобно пользоваться правилом параллелограмма для сложения векторов.







Приведенные соображения позволяют сформулировать правило параллелограмма для сложения неколлинеарных векторов
Отложим от произвольной точки 






Определение. Разностью векторов 


Пишут:
Покажем, как построить вектор, равный разности данных векторов
От произвольной точки 






На рисунке 14.7 векторы 




Теорема 14.2. Если координаты векторов 


Докажите эту теорему самостоятельно.
Из теоремы 14.2 следует, что для любых векторов 

Определение. Два ненулевых вектора называют противоположными, если их модули равны и векторы противоположно направлены.
Если векторы 



Вектором, противоположным нулевому вектору, считают нулевой вектор.
Вектор, противоположный вектору 
Из определения следует, что противоположным вектору 


Из правила треугольника следует, что
А из этого равенства следует, что если вектор 


Теорема 14.3. Для любых векторов 
Для доказательства достаточно сравнить соответствующие координаты векторов, записанных в правой и левой частях равенства. Сделайте это самостоятельно.
Теорема 14.3 позволяет свести вычитание векторов к сложению: чтобы из вектора 



Пример №7
Диагонали параллелограмма 



Решение:
Поскольку точка 

Имеем:
Умножение вектора на число
Пусть дан ненулевой вектор 




Вектор 




Этот пример подсказывает, как ввести понятие «умножение вектора на число».
Определение. Произведением ненулевого вектора 


2) если 
Пишут:
Если 
На рисунке 15.2 изображены векторы
Из определения следует, что
Также из определения следует, что если 

А если векторы 


Теорема 15.1. Если векторы 


Доказательство: Если 



1) Пусть 





2) Пусть 

Теорема 15.2. Если вектор 


Доказательство: Если 
Пусть 


Отложим от начала координат векторы 





Следовательно, точка 


При 









Следствие 1. Векторы 
Следствие 2. Если векторы 

С помощью теоремы 15.2 можно доказать такие свойства умножения вектора на число.
Для любых чисел 

Для доказательства этих свойств достаточно сравнить соответствующие координаты векторов, записанных в правых и левых частях равенств. Сделайте это самостоятельно.
Эти свойства позволяют преобразовывать выражения, содержащие сумму векторов, разность векторов и произведение векторов на число, аналогично тому, как мы преобразовываем алгебраические выражения. Например,
Пример №8
Докажите, что если 


Решение:
Из условия следует, что векторы 


Пример №9
Точка 

Решение:
Применяя правило треугольника, запишем:
Сложим эти два равенства:
Поскольку векторы 

Отсюда
Пример №10
Докажите, что середины оснований трапеции и точка пересечения продолжение ее боковых сторон лежат на одной прямой.
Решение:
Пусть точки 




Применяя ключевую задачу 2, запишем:
Поскольку 

Поскольку 
Имеем:
Из ключевой задачи 1 следует, что точки 
Пример №11
Докажите, что если 

Решение:
Пусть отрезки 

Отсюда
Из свойства медиан треугольника следует, что
Тогда 
Отсюда
Применение векторов
Применяя векторы к решению задач, часто используют следующую лемму.
Лемма. Пусть 



Доказательство: Имеем:
Поскольку 
Запишем:
Поскольку 
Заметим, что эта лемма является обобщением ключевой задачи 2 п. 15.
Пример №12
Пусть 

Решение:
Пусть точка 


Докажем векторное равенство, связывающее две замечательные
Теорема. Если точка 


Доказательство: Для прямоугольного треугольника равенство 
Пусть треугольник 




На луче 





По правилу параллелограмма
Поскольку точка 


Следовательно, этот четырехугольник — параллелограмм. Отсюда
Имеем:
Обратимся к векторному равенству 





Имеем:
Учитывая равенство 
Это равенство означает, что точки 
Скалярное произведение векторов
Пусть 





Угол между векторами 


Если векторы 


Следовательно, для любых векторов 
Векторы 

Вы умеете складывать и вычитать векторы, умножать вектор на число. Также из курса физики вы знаете, что если под действием постоянной силы 



Изложенное выше подсказывает, что целесообразно ввести еще одно действие над векторами.
Определение. Скалярным произведением двух векторов называют произведение их модулей и косинуса угла между ними. Скалярное произведение векторов 
Имеем:
Если хотя бы один из векторов 
Пусть
Скалярное произведение 

Мы получили, что 
Теорема 16.1. Скалярное произведение двух ненулевых векторов равно нулю тогда и только тогда, когда эти векторы перпендикулярны.
Доказательство: Пусть 
Имеем: 
Пусть теперь 
Запишем: 

Теорема 16.2. Скалярное произведение векторов 
Доказательство: Сначала рассмотрим случай, когда векторы 

Отложим от начала координат векторы 

Применим теорему косинусов к треугольнику
Отсюда
Поскольку
Кроме того, 
Имеем: 
Упрощая выражение, записанное в правой части последнего равенства, получаем:
Рассмотрим случай, когда векторы 
Если 
Если 

Если 
Случай, когда 
Следствие. Косинус угла между ненулевыми векторами 
Доказательство: Из определения скалярного произведения векторов 

С помощью теоремы 16.2 легко доказать следующие свойства скалярного произведения векторов.
Для любых векторов 




Для доказательства этих свойств достаточно выразить через координаты векторов скалярные произведения, записанные в правых и левых частях равенств, и сравнить их. Сделайте это самостоятельно.
Эти свойства вместе со свойствами сложения векторов и умножения вектора на число позволяют преобразовывать выражения, содержащие скалярное произведение векторов, аналогично тому, как мы преобразовываем алгебраические выражения.
Например,
Пример №13
С помощью векторов докажите, что диагонали ромба перпендикулярны.
Решение:
На рисунке 16.5 изображен ромб 


Отсюда
Следовательно,
Пример №14
Известно, что
Найдите
Решение:
Поскольку скалярный квадрат вектора равен квадрату его модуля, то 
Ответ:
Пример №15
В треугольнике 

Решение. Применяя ключевую задачу 2 п. 15, запишем: 
Отсюда:
Следовательно,
Ответ:
Справочный материал
Вектор
Если указано, какая точка является началом отрезка, а какая точка — его концом, то такой отрезок называют направленным отрезком или вектором.
Коллинеарные векторы
Ненулевые векторы называют коллинеарными, если они лежат на параллельных прямых или на одной прямой. Нулевой вектор считают коллинеарным любому вектору.
Равные векторы
Ненулевые векторы называют равными, если их модули равны и они сонаправлены. Любые два нулевых вектора равны. Равные векторы имеют равные соответствующие координаты. Если соответствующие координаты векторов равны, то равны и сами векторы.
Координаты вектора
Если точки 


Модуль вектора
Если вектор 
Правила сложения двух векторов
Правило треугольника
Отложим от произвольной точки 








Правило параллелограмма
Отложим от произвольной точки 






Координаты суммы векторов
Если координаты векторов 



Свойства сложения векторов
Для любых векторов 
Разность векторов
Разностью векторов 


Для любых трех точек 
Координаты разности векторов
Если координаты векторов 



Противоположные векторы
Два ненулевых вектора называют противоположными, если их модули равны и векторы противоположно направлены. Для любых точек 
Умножение вектора на число
Произведением ненулевого вектора 


2) если
Если 
Если вектор 


Свойства коллинеарных векторов
Если векторы 

Если векторы 

Свойства умножения вектора на число
Для любых чисел 

Скалярное произведение векторов
Скалярным произведением двух векторов называют произведение их модулей и косинуса угла между ними:


Свойства скалярного произведения
Для любых векторов 

Условие перпендикулярности двух векторов
Скалярное произведение двух ненулевых векторов равно нулю тогда и только тогда, когда эти векторы перпендикулярны.
Косинус угла между двумя векторами
Косинус угла между ненулевыми векторами 
Векторы в аналитической геометрии
Понятие вектора широко применяется в экономике, математике, физике и других науках, при этом одинаково широко используется как алгебраическая концепция изложения векторного анализа, так и его геометрическая интерпретация, в рамках которой различаются величины двух видов: скалярные и векторные.
Скалярной величиной или скаляром называется величина, которая полностью определяется одним числом, выражающим отношение этой величины к соответствующей единице измерения, например, цена, количество проданного товара, стоимость и т.д.
Векторной величиной или вектором называется величина, для задания которой кроме численного значения необходимо указать и ее направление в пространстве, например, изменение темпов производства (рост или падение), колебание курса акций на бирже и т.д.
Векторная величина графически обычно изображается как связанный вектор или направленный отрезок, т.е. отрезок прямой, у которого указано, какая из ограничивающих точек является его началом, а какая концом. Но в отличие от направленного отрезка, для описания которого необходимо указать начальную точку, длину и направление, свободный вектор или просто вектор представляет собой множество всех эквивалентных между собой связанных векторов и вполне характеризуется:
- направлением;
- длиной (модулем).
Для задания такого множества достаточно указать какой-либо один из связанных векторов этого множества — представитель вектора, в качестве которого обычно выбирается связанный вектор с началом, совпадающим с началом координат.
Вектор обозначается одной маленькой буквой со стрелкой сверху, например, 

Длина вектора называется его модулем, обозначается
и равна длине любого его представителя, т.е. расстоянию между начальной и конечной точками связного вектора 

Два вектора называются равными, если:
- равны их длины;
- они параллельны;
- они направлены в одну сторону.
Иными словами, равные векторы получаются один из другого параллельным переносом в пространстве.
Векторы называются коллинеарными, если они расположены на одной или на параллельных прямых, и компланарными, если они лежат на одной или на параллельных плоскостях.
Вектор, длина которого равна единице, называется единичным вектором или ортом. Орт обозначатся 
Линейные операции над векторами
Сложение вектора производится по правилу параллелограмма:
Поскольку вектор 








Это правило распространяется на любое число слагаемых: если векторы 


В частности, если ломаная замыкается, т.е. O = L, то сумма ее звеньев равна нуль-вектору 
Сложение векторов подчиняется обычным законам сложения -сочетательному и переместительному, а также обладает обратной операцией — вычитанием.
Разностью двух векторов 





Векторы можно не только складывать и вычитать, но и умножать на числа (скаляры).
Вектор 


коллинеарен
;
- длина вектора
отличается от длины вектора
в
раз, т.е.
- при
направлены в одну сторону, при
— в разные.
Произведение вектора на скаляр обладает следующими свойствами:
Проекция вектора на ось
Пусть даны ось









Проекция вектора 


Свойства проекций:
— угол между вектором
и осью
;
Пусть

Вектор 
Из свойства проекций следует, что:
Линейная зависимость векторов
Говорят, что векторы линейно независимы, если из равенства:

следует, что 
В противном случае векторы 



Теорема. Векторы 
Следствие. Если векторы 
Система, состоящая из одного вектора, линейно зависима тогда и только тогда, когда этот вектор нулевой. Любые два неколлинеарных вектора 





Пусть 





Из параллелограмма 
Следовательно, любые три компланарных вектора 
Любые три некомпланарных вектора 
Если предположить, что три некомпланарных вектора 




Три вектора 
Пусть векторы 




Линейная зависимость означает, что существует ненулевой набор коэффициентов 

Если один из векторов, например, 


Теорема, Векторы 
Базис. Координаты вектора в базисе
Определим понятие базиса на прямой, плоскости и в пространстве.
Базисом на прямой называется любой ненулевой вектор
этой прямой. Любой другой вектор 
может быть выражен через вектор 

Базисом на плоскости называются любых два линейно независимых вектора 



Базисом в трехмерном пространстве называются любые три некомпланарных вектора 





Коэффициенты


Координаты вектора в заданном базисе определяются однозначно. Введение координат для векторов позволяет сводить различные соотношения между векторами к числовым соотношениям между их координатами. Координаты линейной комбинации векторов равны таким же линейным комбинациям соответствующих координат этих векторов.
Декартовы прямоугольные координаты в пространстве. Координаты точек. Координаты векторов. Деление отрезка в данном отношении
Декартова прямоугольная система координат в пространстве определяется заданием единицы масштаба для измерения длин и трех пересекающихся в точке взаимно перпендикулярных осей, первая из которых называется осью абсцисс (Ох), вторая — осью ординат (Оу), третья — осью аппликат (Oz); точка О — начало координат (Рис. 4.4).
Положение координат осей можно задать с помощью единичных векторов 


Пусть в пространстве дана точка М. Проектируя ее на ось Ох, получим точку Мх. Первой координатой х или абсциссой точки М называется длина вектора 


Система координат называется правой, если вращение от оси Ох к оси Оу в ближайшую сторону видно с положительного направления оси Oz совершающимися против часовой стрелки, и левой, если вращение от оси Ох к оси Оу в ближайшую сторону видно совершающимися по часовой стрелке.
Вектор 

Если даны координаты точек 


Следовательно, по формуле (4.5):
При сложении (вычитании) векторов их координаты складываются (вычитаются), при умножении вектора на число все его координаты умножаются на это число.
Длина вектора 

Длина вектора

Если 

Пусть точка М(х, у, z) делит отрезок между точками 



Отсюда получаются координатные формулы:
В частности, если точка М делит отрезок 
Направляющие косинусы
Пусть дан вектор 


Пусть ось 





Направляющие косинусы связаны между собой соотношением:
Если направление 


Скалярное произведение
Скалярными произведением 

Скалярное произведение обладает следующими свойствами:
4. Если 




5. Скалярный квадрат вектора а равен квадрату его длины, т.е.
Следовательно,
Геометрический смысл скалярного произведения: скалярное произведение вектора на единичный вектор 



Из определения скалярного произведения вытекает следующая таблица умножения ортов 
Если векторы заданы своими координатами 


Векторное произведение
Векторным произведением вектора 


3. 

Векторное произведение обладает следующими свойствами: 



5. Если 
Из первых трех свойств следует, что векторное умножение суммы векторов на сумму векторов подчиняется обычным правилам перемножения многочленов. Надо только следить за тем, чтобы порядок следования множителей не менялся.
Основные орты перемножаются следующим образом:
Если
Если принять во внимание полученные выше правила перемножения ортов, то:

Более компактную форму записи выражения для вычисления координат векторного произведения двух векторов можно построить, если ввести понятие определителя матрицы.
Рассмотрим частный случай, когда вектора 

Если координаты векторов записать в виде таблицы следующим образом: 
В таком случае:
Абсолютная величина определителя, таким образом, равна площади параллелограмма, построенного на векторах 
Если сравнить это выражение с формулой векторного произведения (4.7), то: 
Определитель матрицы третьего порядка вычисляется следующим образом:
и представляет собой алгебраическую сумму шести слагаемых.
Формулу для вычисления определителя матрицы третьего порядка легко запомнить, если воспользоваться правилом Саррюса, которое формулируется следующим образом:
- Каждое слагаемое является произведением трех элементов, расположенных в разных столбцах и разных строках матрицы;
- Знак «плюс» имеют произведения элементов, образующих треугольники со стороной, параллельной главной диагонали;
- Знак «минус» имеют произведения элементов, принадлежащих побочной диагонали, и два произведения элементов, образующих треугольники со стороной, параллельной побочной диагонали.
Смешанное произведение
Смешанным произведением тройки векторов 

Если рассматриваемые векторы 


Таким образом, смешанное произведение векторов
(которое обозначается есть число, абсолютная величина которого выражает объем параллелепипеда, построенного па векторах 
Знак произведение положителен, если векторы


Из геометрического смысла смешанного произведения непосредственно следует необходимое и достаточное условие некомпланарности векторов 

Если 

или в свернутой форме:
Справедливы следующие свойства сметанного произведения векторов:
- Смешанное произведение не меняется при циклической перестановке его сомножителей
- При перестановке двух соседних множителей смешанное произведение меняет свой знак на противоположный
Векторы в высшей математике
Определение вектора:
На начальной стадии, когда приходится прибегать к математическим методам исследования, необходимо разработать удобное средство организации исходных данных. Таким простейшим средством является вектор. Например, еженедельное изменение цены за месяц на некоторый товар удобно записать в виде массива: (5500; 5700; 6000; 6200). Записанный таким образом массив чисел называют вектором.
Алгебраические операции над векторами и их свойства
Введём теперь математическое определение векторов и алгебраические операции над ними.
Упорядоченную совокупность действительных чисел




С геометрической точки зрения, вектор — это направленный отрезок. Поэтому вектор, длина которого равна единице, также называется единичным вектором.
Определим далее линейные операции над векторами: сложение и умножение вектора на число.
Сложение векторов
Пусть даны два вектора





Пусть дан вектор 



Сложение векторов обладает следующими свойствами:
- Для любых двух векторов
существует единственный вектор
, называемый суммой векторов
.
- Для любых
.
- Для любых
.
- Существует единственный вектор
, называемый нулевым вектором, такой, что
для всех
.
- Для любого вектора
существует единственный вектор
, такой, что
. Вектор
называется вектором, противоположным вектору
Из указанных свойств векторов следует, что можно рассматривать сумму любого конечного числа векторов 
Умножение вектора на число
Пусть 







Положим, 


Умножение вектора на число обладает следующими свойствами:
- Для любого вектора
и любого числа
существует единственный вектор
.
для любых чисел
и любого
.
для любых чисел
и любого .
для любых чисел
и любого
.
для любого
.
Выражение 








Замечание. Зная координаты вектора 

Пример №16
Найти линейную комбинацию 

Решение:
Воспользуемся определением линейной комбинации векторов и операций над векторами. Тогда получим вектор вида:
Скалярное произведение векторов и его свойства
Предположим, что объем продаж трёх видов товаров фирмы 






Приведенный пример помогает уяснить общую методику введения скалярного произведения векторов.
Определепие2.2.1. Скалярным произведением векторов 


Это определение можно применять только в тех случаях, когда векторы 

Укажем некоторые свойства скалярного произведения:
;
;
;
.
Два ненулевых вектора 
Рассмотрим систему n ненулевых векторов 
скалярное произведение каждого вектора на себя равно единице, а скалярное произведение различных векторов равно нулю, т.е.
то система векторов 
где 
Пример №17
Найти вектор 


Решение:
Так как вектор 




Откуда следует, что 
Пример №18
Пусть рассматривается проект вложения капитала на четыре года. Этот проект должен обеспечивать следующую денежную выручку: в первый год- 1000 дсн.ед.; во второй — 3000 дсн.ед.; в третий — 10000 ден.ед.; в четвёртый — 15000 дсн.ед. Проект будет принят в том случае, если совокупный доход от капиталовложений (в пересчёте на сегодняшний доход) будет превышать требующиеся затраты, составляющие 17000 дсн.ед. Дисконтирование ожидаемого дохода проводится по годовой ставке равной 10%. Будет ли принят рассматриваемый проект?
Решение:
При ставке дисконтирования 10% годовых, доход, который будет получен на протяжении первого года, должен быть умножен на 



1. Вектор 

Запишем денежную выручку и дисконтирующие множители в векторной форме:
и

Скалярное произведение векторов 


Так как 21158,3>17000, то рассматриваемый проект вложения капитала будет принят.
Операции над векторами в высшей математике
Внимание! Вектор определяется числом и направлением.
Отрезком АВ называется множество точек, заключенных между точками
А и В, включая их. Точки А и В называются концами отрезка.
Отрезок АВ называется направленным, если его концы упорядочены.
Направленный отрезок с началом в точке А и концом в точке В будем обозначать АВ. Направленный отрезок ВА с началом в точке В и концом в точке А называется противоположно направленным отрезку АВ.
Модулем 
Вектором называется класс направленных отрезков, расположенных на параллельных или совпадающих прямых и имеющих одинаковые направление и длину.
Векторы геометрически изображают направленными отрезками и обозначаются 
Вывод. Вектор однозначно определяется своим одним направленным отрезком. Пусть заданы два вектора 

называется вектор, проведенный из начала а к концу b: 
Способ сложения векторов, показанный на рис.1, называется правилом треугольника.
Замечание. На векторах а и b можно построить параллелограмм, в котором одна диагональ будет их суммой: 

Множество всех нулевых отрезков называется нулевым вектором и обозначается 0. Направление нулевого вектора произвольно.
Вектор, длина которого равна единице, называется единичным.
Для любого вектора а верны равенства:
Произведением вектора а на число 

- длина вектора
равна длине вектора а, умноженного на модуль числа
- векторы а и
одинаково направлены, если
, и противоположно направлены, если
(рис.З).
Произведение вектора на число «нуль» есть нулевой вектор.
Углом между двумя векторами а и b называется наименьший угол 
Проекцией вектора а на вектор b называется длина вектора а, умноженная на косинус угла между векторами а и b (рис.4):
Внимание! Для ненулевых векторов возможны три варианта произведений: скалярное произведение (в ответе получается число), векторное произведение (в ответе получается вектор) и смешанное произведение (в ответе получается число).
Скалярным произведением двух ненулевых векторов а и b называется число, равное произведению длин этих векторов на косинус угла между ними. Обозначение: 
Например, для скалярного квадрата ii, где i -единичный вектор, имеем
Векторным произведением двух ненулевых векторов а и b называется такой вектор 
- 1) его модуль равен площади параллелограмма, построенного на данных векторах, т.е.
- 2) он перпендикулярен плоскости построенного на данных векторах параллелограмма, , т.е.
- 3) векторы
образуют правую тройку векторов, т.е. при наблюдении из конца вектора
кратчайший поворот от а к b виден против часовой стрелки.
Пример №19
Найти площадь параллелограмма, построенного на векторах а и b. если а — единичный вектор, длина вектора b равна трем, а их скалярное произведение — двум.
Решение:
Площадь параллелограмма, построенного на векторах а и b, равна 
По условию задачи имеем
Найдем синус угла между векторами а и b. Так как 
Следовательно,
Подставим найденное значение в формулу и получим: 
Смешанным произведением трех ненулевых векторов а, b и с называется число, равное скалярному произведению векторного произведения первых двух векторов а и b на третий вектор 
Замечание. Смешанное произведение не меняется при циклической перестановке его сомножителей. При перестановке двух соседних множителей смешанное произведение меняет свой знак на противоположный, т.е.
Геометрический смысл смешанного произведения. Модуль смешанного произведения трех векторов равен объему параллелепипеда, построенного на этих векторах.
Действительно,

Два вектора называются ортогональными, если угол между ними равен
Необходимое и достаточное условие ортогональности:
Два ненулевых вектора ортогональны тогда и только тогда, когда их скалярное произведение равно нулю 
Два вектора называются коллинеарными, если они лежат на одной прямой. Пулевой вектор коллинеарен любому вектору.
Необходимое и достаточное условие коллинеарности:
- Два ненулевых вектора а и b коллинеарны тогда и только тогда, когда они пропорциональны, т.е.
— произвольное число, отличное от нуля.
- Два ненулевых вектора коллинеарны тогда и только тогда, когда их векторное произведение равно нулевому вектору (площадь параллелограмма равна нулю).
Три вектора называются компланарными, если они лежат на одной плоскости. Любую тройку векторов, содержащую нулевой вектор, считают компланарной.
Необходимое и достаточное условие компланарности. Три ненулевых вектора компланарны тогда и только тогда, когда их смешанное произведение равно нулю (объем параллелепипеда равен нулю).
Действия над векторами, заданными прямоугольными координатами
Пусть Ох, Оу, Oz — три взаимно перпендикулярные оси в трехмерном пространстве (оси координат), исходящие из общей точки О (начала координат) и образующие правую тройку (рис. 5).
Точка М с координатами х, у, z обозначается M(x,y,z), причем первая координата называется абсциссой, вторая — ординатой, третья — аппликатой точки М.
Для каждой точки М пространства существует ее радиус-вектор r=ОМ, начало которого есть начало координат О и конец которого есть данная точка М. Координаты x,y,z точки М являются проекциями радиус-вектора r на оси Ох, Оу, Oz соответственно.



(«от координат конца отнимают координаты начала»).
Например, координаты радиус-вектора
Если ввести единичные векторы i,j, k, направленные по осям Ох, Оу, Oz соответственно (рис.5), то координаты вектора r можно записать в эквивалентной форме:
Векторы i, j,k называются базисными.
Пусть даны два вектора
Сложив векторы почленно, получим:
или
Умножив вектор а на число 
или
Пример №20
Найти вектор х из уравнения
Решение:
Выразим х из векторного уравнения:
Подставим векторы а, b и с в полученное выражение:
Задача решена.
Скалярное произведение двух векторов в координатной форме вычисляется по формуле:
Для cкалярного квадрата аа получаем:
но, с другой стороны, 
Мы получили формулу вычисления длины вектора, заданного в координатной форме.
Векторное произведение двух векторов в координатной форме вычисляется по формуле
которую можно выразить через символический определитель третьего порядка
Смешанное произведение трех векторов в координатной форме 
- Заказать решение задач по высшей математике
Пример №21
Вершины треугольной пирамиды находятся в точках А( 1,1 ,-1), В(2,1,-3), С(-1,1,1), D(0,7,3). Вычислить высоту пирамиды, опущенную из вершины D на основание АВС.
Решение:
Высоту треугольной пирамиды найдем из формулы:
где 

Найдем площадь треугольника АВС. Она равна половине площади параллелограмма, построенного, например, на векторах АВ и АС. Следовательно, по определению векторного произведения

Векторное произведение АВ и АС в координатной форме равно
Найдем объем треугольной пирамиды. Он равен одной шестой объема параллелепипеда, построенного, например, на векторах АВ, АС и AD. Тогда по геометрическому смыслу смешанного произведения 
Смешанное произведение АВ, АС и AD в координатной форме равно 
Задача решена.
Замечание.
- 1. Площадь треугольника АВС можно находить из площади параллелограмма, построенного на любых двух векторах, исходящих из одной вершины, например: АВ и АС; ВА и ВС; СА и СВ.
- 2. Объем треугольной пирамиды ABCD можно находить из объема параллелепипеда, построенного на любых трех векторах, исходящих из одной точки, например: АВ, АС и AD; ВА, ВС и BD; СА, СВ и CD; DA, DB и DC.
Линейное пространство
Идея линейности является одним из важнейших принципов математики. На этой основе построены различные разделы математики. Более того, почти каждый экономический процесс в малом является линейным, что позволяет делать о нём достаточно точные выводы, изучая линейный, гораздо более простой для исследования объект.
В математике часто приходится встречаться с объектами, для которых определены операции сложения и умножения на числа. Объектами такого рода являются векторы, функции, матрицы и т.д. Для того, чтобы изучать все такие объекты с единой точки зрения и вводится понятие линейного пространства.
Определение 2.3.1. Множество L элементов х, у, z,… называется линейным пространством, если:
При этом введенные операции должны удовлетворять следующим требованиям (аксиомам):
- х+у = у+х (коммутативности);
- (х+у)+ z = x+(y+z) (ассоциативности);
- существует элемент 0, такой, что х+0=х для любого х. Элемент 0 называется нулевым элементом;
- для каждого х существует противоположный элемент, обозначаемый -х, такой, что х+(-х)=0;
;
;
:;
,
где 

В определении линейного пространства не говорится, как определяются операции сложения и умножения на числа, и не говорится о природе объектов. Требуется только, чтобы были выполнены сформулированные выше аксиомы. Поэтому всякий раз, когда мы встречаемся с операциями, удовлетворяющими этим условиям, будем считать их операциями сложения и умножения.
Рассмотрим систему векторов на плоскости и в трёхмерном пространстве, для которых определены операции сложения векторов и умножения вектора на число как в п.2.1. Так как для этих операций выполняются свойства (1) — (8) определения 2.3.1, то они образуют линейное пространство.
Линейное пространство образует и совокупность многочленов степени не выше п с вещественными коэффициентами, для которых определены обычные операции сложения многочленов и умножения многочлена на число.
Линейное пространство, в котором введено скалярное произведение, называется евклидовым.
Пространство, где векторами являются наборы из n действительных чисел с покомпонентными операциями сложения и умножения их на число, и скалярное произведение определяется по формуле (1.2.1), является евклидовым пространством. Это пространство обозначается 
Линейно зависимые и линейно независимые векторы. Свойства линейной зависимости векторов.
Определение линейной комбинации векторов, тесно связано с понятием подпространства векторного пространства.
Определение 2.4.1. Некоторое непустое подмножество векторного пространства М называется подпространством, если оно само является векторным пространством.
А доказательство того, что подмножество является векторным пространством, проводится на основании доказательства того, что всякая линейная комбинация любых двух векторов этого подмножества, также является вектором этого подмножества.
Определение 2.4.2. Векторы 


Если равенство (2.4.1) возможно и при ненулевом значении хотя бы одного числа 

Пример №22
Рассмотрим евклидово пространство 
называемые координатными векторами. Покажем, что в пространстве 

Решение:
Пусть 

Подставив координаты векторов 
В результате получили вектор




Вектор 




Относительно линейной зависимости векторов справедливы следующие утверждения:
- Если совокупность векторов
из
содержит нулевой вектор, то она линейно зависима.
- Если в системе векторов
имеется подсистема линейно зависимых векторов, то и вся совокупность векторов
линейно зависима.
- Система векторов
из
линейно зависима тогда и только тогда, если один из векторов этой системы является линейной комбинацией остальных.
- Любые
векторов
из
, каждый из которых является линейной комбинацией m векторов
линейно зависимы. .
Пример №23
Выясним линейную зависимость векторов 

Полученный вектор является нулевым, если координаты равны нулю:
Полученная система имеет только одно решение 



Заметим, что два геометрических вектора линейно зависимы тогда и только тогда, когда они коллинеарны (их направления параллельны). Три геометрических вектора линейно зависимы тогда и только тогда, когда они компланарны (их направления параллельны некоторой плоскости).
Элементы векторной алгебры
Некоторые физические величины (например, температура, масса, объем, работа, потенциал) могут быть охарактеризованы одним числом, которое выражает отношение этой величины к соответствующей единице измерения; такие величины называются скалярными. Ещё примеры скалярных величин: длина, площадь, время, угол, плотность, сопротивление.
Другие величины (например, сила, скорость, ускорение, напряжённость электрического или магнитного поля) характеризуются числом и направлением. Эти величины называются векторными.
Необходимо подчеркнуть, что вектор не является числом. Если мы рассматриваем вектор, лежащий в плоскости, то для его описания необходимо знать два фактора – модуль и его направление (например, угол, образуемый им с одним из осей координат). Если рассматривается вектор в трехмерном пространстве, то для описания вектора требуется три фактора: один – величину для его модуля и два для указания его положения в системе координат.
Скаляры и векторы
Величина, полностью характеризуемая своим числовым значением в выбранной системе единиц, называется скалярной или скаляром. Таковы, например, масса тела, объем его, температура среды и т. п. Скаляр определяется числом положительным или отрицательным или равным нулю.
Величина, кроме числового значения характеризуемая еще направлением, называется векторной или вектором. К числу их относятся сила, перемещение, скорость и т.п. Вектор определяется числом и направлением.
Векторы обычно обозначают буквами жирного шрифта, например а. Геометрически вектор изображается направленным отрезком пространства (рис. 168); при этом используется обозначение а = 
Под модулем (длиной) вектора а
понимается числовое значение его, без учета направления. (Естественно, 

Два вектора 
В частности, для свободных векторов можно обеспечить общую начальную точку их. В дальнейшем мы будем излагать теорию свободных векторов в трехмерном пространстве.
Сумма векторов
Определение: Суммой нескольких векторов, например а, b, с, d (рис. 169), называется вектор
по величине и направлению равный замыкающей ОМ пространственной ломаной линии, построенной на данных векторах.

Для случая двух векторов а и b (рис. 170) их суммой s является диагональ параллелограмма, построенного на этих векторах, исходящая из общей точки приложения их (правило параллелограмма).
Так как в треугольнике длина одной стороны не превышает суммы длин двух других сторон, то из рис. 170 имеем
т. е. модуль суммы двух векторов не превышает суммы модулей этих векторов.
Для случая трех векторов а, b, с (рис. 171) их суммой s является диагональ 
Легко проверить, что для векторного сложения справедливы следующие свойства:
1)переместительное свойство
а + b = b + а,
т. е. векторная сумма не зависит от порядка слагаемых;
2)сочетательное свойство
т.е. сумма трех (и большего числа) векторов не зависит от порядка расстановки скобок.
Для каждого вектора 

где 0 — нуль-вектор.
Легко проверить, что а + 0 = а.
Разность векторов
Под разностью векторов 
такой, что
Отметим, что в параллелограмме, построенном на данных векторах 
Легко проверить, что справедливо следующее правило вычитания:
Умножение вектора на скаляр
Определение: Произведением вектора а на скаляр k (рис. 174) называется вектор
имеющий длину b =
с направлением вектора а, если k > 0; 2) противоположно ему, если k < 0; 3) произвольно, если k = 0.
Нетрудно убедиться, что эта векторная операция обладает следующими свойствами:
Пример:
Если ненулевой вектор а разделить на его длину a = |a| (т.е. умножить на скаляр 1 /а), то мы получим единичный вектор е, так называемый 
Формула (1) формально справедлива также и для нулевого вектора а = 0, где а = 0 и е — произвольный орт.
Коллинеарные векторы
Определение: Два вектора 
Так как направление нулевого вектора произвольно, то можно считать, что нулевой вектор коллинеарен любому вектору.
Теорема: Два ненулевых вектора 
(k — скаляр).
Доказательство: 1) Пусть векторы 

Очевидно,
где знак плюс соответствует векторам 

Из формул (2) и (3) получаем
Отсюда вытекает формула (1), где
2) Если выполнено равенство (1), то коллинеарность векторов 
Компланарные векторы
Определение: Три вектора a, b и с называются компланарны ми, если они параллельны некоторой плоскости в широком смысле (т. е. или параллельны плоскости, или лежат в ней).
Можно сказать также, что векторы а, b и с компланарны тогда и только тогда, когда после приведения их к общему началу они лежат в одной плоскости.
По смыслу определения тройка векторов, среди которых имеется хотя бы один нулевой, компланарна.
Теорема: Три ненулевых вектора а, b и с компланарны тогда и только тогда, когда один из них является линейной комбинацией других, т.е., например,
(k, I — скаляры).
Доказательство: 1) Пусть векторы а, b и с компланарны, расположены в плоскости Р (рис. 176) и имеют общую точку приложения О.
Предположим сначала, что эти векторы не все попарно коллинеарны, например векторы а и b неколлинеарны. Тогда, производя разложение вектора с в сумму векторов са и сь, коллинеарных соответственно векторам а и b, в силу будем иметь
где k и I — соответствующие скаляры.
Если векторы а, b, с попарно коллинеарны, то можно написать
таким образом, снова выполнено условие (1).
2) Обратно, если для векторов 
Пример:
Векторы а, а + b, а — b компланарны, так как
Проекция вектора на ось
Осью называется направленная прямая. Направление прямой обычно обозначается стрелкой. Заданное направление оси будем считать положительным, противоположное — отрицательным.
Определение: Проекцией точки А на ось 
Здесь под перпендикуляром АА’ понимается прямая, пересекающая ось 
Определение: Под ком-по не н той (составляющей) вектора 



Определение: Под проекцией вектора а на ось 


Напомним, что все геометрические объекты мы здесь рассматриваем в трехмерном пространстве.
Если направление компоненты совпадает с направлением оси 
Если а = О, то полагают
Заметим, что если е — единичный вектор оси 
Теорема: Проекция вектора а на ось 
Доказательство: Так как вектор 

1) Если угол ф между вектором a и осью 



2) Если угол ф между вектором а и осью 



3) Если же ф = 

Таким образом, формула (2) доказана.
Следствие 1. Проекция вектора на ось: 1) положительна, если вектор образует с осью острый угол; 2) отрицательна, если этот угол — тупой, и 3) равна нулю, если этот угол — прямой.
Следствие 2. Проекции равных векторов на одну и ту же ось равны между собой.
Теорема: Проекция суммы нескольких векторов на данную ось равна сумме их проекций на эту ось.
Доказательство: Пусть, например, s = a + b + с,
где (рис. 179) 


Обозначая проекции точек 


что и требовалось доказать.
Следствие. Проекция замкнутой векторной линии на любую ось равна нулю.
Теорема: При умножении вектора на скаляр его проекция на данную ось умножается на этот скаляр, т.е.
Формула (4) следует из теоремы 1 и смысла умножения вектора на скаляр.
Следствие. Проекция линейной комбинации векторов равна такой же линейной комбинации проекций этих векторов, т.е.
Прямоугольные декартовы координаты в пространстве
Пусть (рис. 180) Ox, Оу, Oz — три взаимно перпендикулярные оси в трехмерном пространстве (оси координат), исходящие из общей точки О (начало координат) и образующие правую тройку (правая система координат), т. е. ориентированные по правилу правого буравчика. Иными словами, для наблюдателя, направленного по оси Oz, кратчайший поворот оси Ох к оси Оу происходит против хода часовой стрелки.
Три взаимно перпендикулярные плоскости Oyz, Ozx и Оху, проходящие через соответствующие оси, называются координатными плоскостями; они делят все пространство на восемь октантов.
Для каждой точки М пространства (рис. 180) существует ее радиус-вектор г = ОМ, начало которого есть начало координат О и конец которого есть данная точка М.
Определение: Под декартовыми прямоугольными координатами х, у, z точки М понимаются проекции ее радиуса вектора г на соответствующие оси координат, т. е.
В дальнейшем для краткости декартовы прямоугольные координаты мы будем называть просто прямоугольными координатами.
Точка М с координатами х, у, z обозначается через М (х, у, z), причем первая координата называется абсциссой, вторая — ординатой, а третья — аппликатой точки М.
Для нахождения этих координат через точку М проведем три плоскости МА, MB, МС, перпендикулярные соответственно осям Ox, Оу, Oz (рис. 180). Тогда на этих осях получатся направленные отрезки
численно равные координатам точки М.
Радиус-вектор г является диагональю параллелепипеда П с измерениями 
Если обозначить через 
Косинусы cos а, cos р, cos у называются направляющими косинусами радиуса-вектора г. Из (4), учитывая (3), получаем
т. е. сумма квадратов направляющих косинусов радиуса-век-тора точки пространства равна 1.
Из формулы (4) следует, что координата точки М положительна, если радиус-вектор этой точки образует острый угол с соответствующей координатной осью, и отрицательна, если этот угол тупой. В частности, в I октанте пространства, ребра которого составляют положительные полуоси координат, все координаты точек положительны- В остальных октантах пространства отрицательными координатами точек будут те, которые соответствуют отрицательно направленным ребрам октанта.
Измерения 
В частности, если точка 
Длина и направление вектора
Пусть в пространстве Oxyz задан вектор а. Проекции этого вектора на оси координат
называются координатами вектора а; при этом вектор мы будем записывать так:
Так как вектор а свободный, то его можно рассматривать как радиус-вектор точки 
т.е. модуль вектора равен корню квадратному из суммы квадратов его координат.
Направляющие косинусы вектора а определяются из уравнений
причем
т.е. сумма квадратов направляющих косинусов вектора равна единице. Направляющие косинусы ненулевого вектора однозначно определяют его направление. Следовательно, вектор полностью характеризуется своими координатами.
Пример №24
Найти длину и направление вектора а = {1, 2, -2}.
Решение:
Имеем
Отсюда
Таким образом, вектор а образует острые углы с координатными осями Ох и Оу и тупой угол с координатной осью Ог.
Расстояние между двумя точками пространства
Пусть 





Рассматривая вектор 

Проецируя это векторное равенство на оси координат и учитывая свойства проекций, получаем
Таким образом, проекции направленного отрезка на оси координат равны разностям соответствующих координат конца и начала отрезка.
Из формул (2) получаем длину отрезка (или, иначе, расстояние между двумя точками 
Итак, расстояние между двумя точками пространства равно корню квадратному из квадратов разностей одноименных координат этих точек.
Пример №25
Ракета из пункта М1 (10, -20, 0) прямолинейно переместилась в пункт М2 (-30, -50, 40) (расстояния даны в километрах). Найти путь пройденный ракетой.
Решение:
На основании формулы (3) имеем
Заметим, что, найдя направляющие косинусы вектора перемещения 
Действие над векторами, заданными в координатной форме
Пусть вектор 
Построим параллелепипед (рис. 182), диагональю которого является вектор а, а ребрами служат компоненты его 
Если ввести единичные векторы (орты) i, j, k, направленные по осям координат, то на основании связи между компонентами вектора и его проекциями будем иметь
Подставляя эти выражения в равенство (1), получаем координатную форму вектора
Заметим, что разложение (3) для вектора а единственно. Действительно, пусть
Отсюда, вычитая из равенства (3) равенство (3′) и пользуясь перемести -тельным и сочетательным свойствами суммы векторов, а также свойствами разности векторов, будем иметь
Если хотя бы один из коэффициентов при ортах i, j и k был отличен от нуля, то векторы i, j и k были бы компланарны, что неверно. Поэтому 
Если 
Рассмотренные выше линейные операции над векторами можно теперь записать в следующем виде:
или короче: 
или кратко:
Таким образом, при сложении (или вычитании) векторов их одноименные координаты складываются (или вычитаются):
Пример №26
Найти равнодействующую F двух сил
и ее направление.
Решение:
Имеем 
где 
Скалярное произведение векторов
Определение: Под скалярным произведением двух векторов а и b понимается число, равное произведению длин этих векторов на косинус угла между ними, т. е. в обычных обозначениях:
где
Заметим, что в формуле (1) скалярное произведение можно еще записывать как ab, опуская точку. Так как (рис. 183)
то можно записать
т.е. скалярное произведение двух векторов равно длине одного из них, умноженной на проекцию другого на ось с направлением первого.
Физический смысл скалярного произведения
Пусть постоянная сила F обеспечивает прямолинейное перемещение 
На основании формулы (1) имеем
Таким образом, работа постоянной силы при прямолинейном перемещении ее м точки приложения равна скалярному произведению вектора силы на вектор перемещения.
Скалярное произведение векторов обладает следующими основными свойствами.
1)Скалярное произведение двух векторов не зависит от порядка этих сомножителей (переместительное свойство):
Эта формула непосредственно следует из формулы (1).
2)Для трех векторов а, b и с справедливо распределительное свойство
т. е. при скалярном умножении суммы векторов на вектор можно «раскрыть скобки».
Действительно, на основании формул (2), учитывая свойства проекций векторов, имеем
3)Скалярный квадрат вектора равен квадрату модуля этого вектора, т.е.
Действительно,
Отсюда для модуля вектора получаем формулу
4)Скалярный множитель можно выносить за знак скалярного произведения, т.е.
Это свойство также легко получается из (1).
5)Скалярное произведение линейной комбинации векторов на произвольный вектор равно такой же линейной комбинации данных векторов на этот вектор, т.е.
(
Это — очевидное следствие 2) и 4).
Из определения (1) вытекает, что косинус угла 
Из формулы (8) получаем, что два вектора а и b перпендикулярны (ортогональны), т. е. 
Это утверждение справедливо также и в том случае, когда хотя бы один из векторов а или b нулевой.
Пример №27
Найти проекцию вектора а на вектор b. Обозначая через 
где е =
Скалярное произведение векторов в координатной форме
Пусть
Перемножая эти векторы как многочлены и учитывая соотношения
будем иметь
Таким образом, скалярное произведение векторов равно сумме парных произведений их одноименных координат. Отсюда, обозначая через ф угол между векторами а и b, получаем
Пример:
Определить угол ф между векторами а = { 1,+2, 3} и b ={-3, 2,-1}. На основании формулы (4) имеем
Отсюда
Пусть векторы а и b коллинеарны (параллельны). Согласно условию коллинеарности,
где k — скаляр, что эквивалентно 
Таким образом, векторы коллинеарны тогда и только тогда, когда их одноименные координаты пропорциональны.
Для перпендикулярных (ортогональных) векторов а и b имеем 
Таким образом, два вектора перпендикулярны тогда и только тогда, когда сумма парных произведений их одноименных координат равна нулю.
Векторное произведение векторов
Напомним, что тройка а, b и с некомпланарных векторов называется правой (рис. 185, а) или левой (рис. 185, б), если она ориентирована по правилу правого винта или соответственно по правилу левого винта.
Заметим, что если в тройке некомпланарных векторов а, b, с переставить два вектора, то она изменит свою ориентацию, т. е. из правой сделается левой или наоборот.
В дальнейшем правую тройку мы будем считать стандартной.
Определение: Под векторным произведением двух векторов а и b понимается вектор
для которого:
1)модуль равен площади параллелограмма, построенного на данных векторах, т. е.
где 
2)этот вектор перпендикулярен перемножаемым векторам (иначе говоря, перпендикулярен плоскости построенного на них параллелограмма), т. е. 
3)если векторы неколлинеарны, то векторы а, b, с образуют правую тройку векторов.
Укажем основные свойства векторного произведения.
1)При изменении порядка сомножителей векторное произведение меняет свой знак на обратный, сохраняя модуль, т. е.
Действительно, при перестановке векторов а и b площадь построенного на них параллелограмма остается неизменной, т. е. 



Таким образом, векторное произведение двух векторов не обладает переместительным свойством.
2)Векторный квадрат равен нуль-вектору, т.е.
Это — очевидное следствие свойства 1).
3)Скалярный множитель можно выносить за знак векторного произведения, т.е. если 
Это свойство непосредственно вытекает из смысла произведения вектора на скаляр и определения векторного произведения.
4)Для любых трех векторов а, b, с справедливо равенство
т.е. векторное произведение обладает распределительным свойством.
Пример:
Отсюда, в частности, имеем
т. е. площадь параллелограмма, построенного на диагоналях данного параллелограмма, равна удвоенной площади этого параллелограмма.
С помощью векторного произведения удобно формулировать легко проверяемый критерий коллинеарности двух векторов а и b:
Векторное произведение в координатной форме
Пусть
Перемножая векторно эти равенства и используя свойства векторного произведения, получим сумму девяти слагаемых:
Из определения векторного произведения следует, что для ортов 
Поэтому из формулы (3) получаем


Для удобства запоминания формула (4) записывается в виде определителя третьего порядка (см. гл. XVII)
Из формулы (4) вытекает, что
Геометрически формула (6) дает квадрат площади параллелограмма, построенного на векторах 
Пример №28
Найти площадь треугольника с вершинами А (1, 1, 0), В (1,0, 1) и С (0, 1, 1).
Решение:
Площадь S треугольника ABC равна 1/2 площади параллелограмма, построенного на векторах 

Следовательно,
Смешанное произведение векторов
Определение: Под смешанным (или векторно-скалярным) произведением векторов 
Построим параллелепипед П (рис. 188), ребрами которого, исходящими из общей вершины О, являются векторы 
Тогда 

Высота этого параллелепипеда 
где 


На основании определения скалярного произведения имеем
где V — объем параллелепипеда, построенного на векторах 
т. е. смешанное произведение трех векторов равно объему V параллелепипед а у построенного на этих векторах, взятому со знаком плюсу если эти векторы образуют правую тройку, и со знаком минус, если они образуют левую тройку.
Справедливы следующие основные свойства смешанного произведения векторов.
1)Смешанное произведение не меняется при циклической перестановке его сомножителей, т.е.
Действительно, в этом случае не изменяется ни объем параллелепипеда П, ни ориентация его ребер.
2)При перестановке двух соседних множителей смешанное произведение меняет свой знак на обратный, т. е.
Это следует из того, что перестановка соседних множителей, сохраняя объем параллелепипеда, изменяет ориентацию тройки векторов, т.е. правая тройка переходит в левую, а левая — в правую.
С помощью смешанного произведения получаем необходимое и достаточное условие компланарности трех векторов 
abc = 0
(объем параллелепипеда равен нулю). Если
то, используя выражения в координатах для векторного и скалярного произведений векторов, получаем

- Прямая — понятие, виды и её свойства
- Плоскость — определение, виды и правила
- Кривые второго порядка
- Евклидово пространство
- Логарифм — формулы, свойства и примеры
- Корень из числа — нахождение и вычисление
- Теория множеств — виды, операции и примеры
- Числовые множества
В данной публикации мы рассмотрим, как найти сумму и разность векторов, приведем геометрическую интерпретацию, а также формулы, свойства и примеры этих действий.
-
Сумма векторов
- Формула сложения векторов
- Свойства сложения векторов
-
Разность векторов
- Формула вычитания векторов
- Примеры задач
Сумма векторов
Сложение векторов выполняется по правилу треугольника.
Геометрическая интерпретация:
Суммой a и b является вектор c, начало которого совпадает с началом a, а конец – с концом b. При этом конец вектора a должен совпадать с началом вектора b.
Для сложения векторов также используется правило параллелограмма.
Два неколлинеарных вектора a и b можно привести к общему началу, и в этом случае их суммой является вектор c, совпадающий с диагональю параллелограмма и берущий начало в той же точке, что и исходные векторы.
Формула сложения векторов
ci = ai + bi
Элементы вектора c равняются попарной сумме соответствующих элементов a и b.
| Для плоских задач | a + b = {ax + bx; ay + by} |
| Для трехмерных задач | a + b = {ax + bx; ay + by; az + bz} |
| Для n-мерных векторов | a + b = {a1 + b1; a2 + b2; … an + bn} |
Свойства сложения векторов
1. Коммутативность: a + b = b + a
2. Ассоциативность: (a + b) + c = a + (b + c)
3. Прибавление к нулю: a + 0 = a
4. Сумма противоположных векторов: a + (-a) = 0
Примечание: Вектор –a коллинеарен и равен по длине a, но имеет противоположное направление, из-за чего называется противоположным.
Разность векторов
Для вычитания векторов также применяется правило треугольника.
Если из вектора a вычесть b, то получится c, причем должно соблюдаться условие: b + c = a
Формула вычитания векторов
ci = ai – bi
Элементы вектора c равны попарной разности соответствующих элементов a и b.
| Для плоских задач | a — b = {ax — bx; ay — by} |
| Для трехмерных задач | a — b = {ax — bx; ay — by; az — bz} |
| Для n-мерных векторов | a — b = {a1 — b1; a2 — b2; … an — bn} |
Примеры задач
Задание 1
Вычислим сумму векторов a = {3; 5} и b = {2; 7}.
Решение:
a + b = {3 + 2; 5 + 7} = {5; 12}.
Задание 2
Найдем разность векторов a = {4; 8; -2} и b = {-1; 9; 5}.
Решение:
a – b = {4 – (-1); 8 – 9; -2 – 5} = {5; -1; -7}.


























































































































































































































































численно равна площади параллелограмма, построенного на векторах 
перпендикулярен к каждому из векторов 
взятые в указанном порядке, образуют правую тройку.

































и
. Тогда 

с какими-либо координатными осями и знак одной из проекций:
, но так как по условию
, то
. Следовательно, 


















































































































































































































коллинеарен
раз, т.е.
направлены в одну сторону, при
— в разные.
— угол между вектором
и осью
;







































существует единственный вектор
, называемый суммой векторов
.
.
.
, называемый нулевым вектором, такой, что
для всех
.
существует единственный вектор
, такой, что
. Вектор
называется вектором, противоположным вектору 
и любого числа
существует единственный вектор
.
для любых чисел
и любого
.
для любых чисел
и любого .
для любых чисел
и любого
.
для любого
.

;
;
;
.








равна длине вектора а, умноженного на модуль числа
, и противоположно направлены, если
(рис.З).





образуют правую тройку векторов, т.е. при наблюдении из конца вектора
кратчайший поворот от а к b виден против часовой стрелки.






— произвольное число, отличное от нуля.






















;
;
:;
,



из
содержит нулевой вектор, то она линейно зависима.
имеется подсистема линейно зависимых векторов, то и вся совокупность векторов
линейно зависима.
из
линейно зависима тогда и только тогда, если один из векторов этой системы является линейной комбинацией остальных.
векторов
из
, каждый из которых является линейной комбинацией m векторов
линейно зависимы. .































































































































