С
явлением поверхностного натяжения
неразрывно связаны также явления
смачивания и несмачивания. В отличие
от молекул газов, молекулы твердых тел
также могут испытывать притяжение со
стороны молекул жидкостей. В жизни мы
можем неоднократно наблюдать поведение
капель разных жидкостей при попадании
их на поверхность различных твердых
тел. Одни из них растекаются по поверхности
(рис. 4), другие, напротив, собираются в
шарики (рис. 5).
|
|
|
|
Рис. твердого |
Рис.
поверхности |
Причина,
по которой различные жидкости растекаются
или не растекаются на поверхности
различных твердых тел, заключается в
следующем. В месте контакта жидкости с
поверхностью твердого тела на молекулы
жидкости начинают действовать силы
притяжения со стороны молекул твердого
тела (из числа молекул, входящих в сферу
молекулярного действия). В случае, если
силы притяжения между молекулами
жидкости и твердого тела оказываются
больше, чем силы притяжения между
молекулами внутри жидкости, мы наблюдаем
явление смачивания (рис. 6).
В
том же случае, если силы притяжения
между молекулами жидкости и твердого
тела оказываются меньше сил притяжения
между молекулами внутри жидкости,
наблюдается явление несмачивания (рис.
7).
Рис.
6. Механизм смачивания: – рассматриваемая
молекула; –
молекулы
жидкости,
входящие в сферу молекулярного действия;
– молекулы,
не входящие в сферу молекулярного
действия;
– молекулы
твердого тела, входящие в сферу
молекулярного действия; –
силы
притяжения, действующие на рассматриваемую
молекулу
Рис.
7. Механизм несмачивания: – рассматриваемая
молекула; –
молекулы
жидкости,
входящие в сферу молекулярного действия;
– молекулы,
не входящие в сферу молекулярного
действия;
– молекулы
твердого тела, входящие в сферу
молекулярного действия;
–
силы
притяжения, действующие на рассматриваемую
молекулу
Явления
смачивания и несмачивания численно
характеризуются так называемым краевым
углом Θ – углом между поверхностью
твердого тела и касательной к поверхности
жидкости в точке раздела фаз «газ –
жидкость – твердое тело». Как видно из
рис. 6, 7, при смачивании краевой угол
острый (00 > Θ > 900), при
несмачивании – тупой (900 > Θ >
1800).
Метод
измерения коэффициента поверхностного
натяжения с помощью отрыва кольца
основан на совершении работы против
сил поверхностного натяжения. Если
кольцо, смачиваемое исследуемой
жидкостью, погрузить в нее, то за счет
возникающего межмолекулярного притяжения,
жидкость «прилипнет» к кольцу (с
внутренней и внешней стороны). Если
затем кольцо начать вытаскивать из
жидкости, силы поверхностного натяжения
будут увлекать жидкость вслед за кольцом,
не позволяя кольцу оторваться от
жидкости. Измерив эти силы (например,
при помощи пружинных весов), можно
определить коэффициент поверхностного
натяжения.
Пружинные
весы, используемые в данной работе,
представляют собой пружину, к одному
концу которой прикладывается измеряемая
сила, тогда как другой конец пружины
закреплен.
К
свободному концу пружины подвешивается
кольцо, смачиваемое исследуемой
жидкостью. В положении равновесия
указатель показывает некоторое значение
h1.
Кольцо приводится в соприкосновение с
жидкостью.
Затем
посредством винтового механизма начинают
поднимать пружину за закрепленный
конец. Из-за сил поверхностного натяжения
кольцо не отрывается от поверхности
жидкости; пружина растягивается, и сила
упругости увеличивается. Очевидно, что
в каждом положении сила упругости,
действующая со стороны пружины,
уравновешивается силой тяжести и силой
поверхностного натяжения. Когда сила
упругости становится больше, кольцо
отрывается. В момент отрыва кольца
указатель показывает значение h2.
При этом выполняется условие:
,
(5)
где
m
– масса кольца,Fупр
–сила упругости, а Fн– сила поверхностного натяжения, равная,
согласно (4)Fп.н.=
l.
Контур, охватываемый жидкостью в момент
отрыва кольца, представляет собой две
концентрические окружности – внешнюю
и внутреннюю стороны кольца (рис. 8).
Длина этого контура
l
=
(D1
+
D2),
(6)
где
D1
и D2
– внешний и внутренний
диаметры кольца соответственно. Сила
же упругости, как известно из закона
Гука, пропорциональна растяжению:
Fупр
=
k|Δx|,
(7)
где
k– жесткость пружины, подлежащая
определению,Δx
– растяжение пружины.
Рис.
8. Взаимодействие кольца и смачивающей
его жидкости
Для
определения kпроводится следующий эксперимент.
Кольцо с помощью винта опускают до
соприкосновения с жидкостью и фиксируют
положение указателяx0.Затем кольцо поднимают над поверхностью
жидкости на 10–15 мм и крепят к кольцу
груз массой 2 г (P = 19,610-3
Н), после чего опять
опускают винтом до соприкосновения с
жидкостью. Фиксируют положение указателяx1.
Так как во втором случае
пружина растягивается не только
подвешенным кольцом, но еще и прикрепленным
грузом, ясно, что
P
=
k
|x0
– x1|
=
k
|Δx|.
(8)
Из
(8) следует, что
.
(9)
Определим
теперь коэффициент поверхностного
натяжения .
Из (4), учитывая (5), (6), (7) и (9), получим:
.
(10)
Это
окончательная формула для вычисления
коэффициента поверхностного натяжения
методом отрыва кольца.
Соседние файлы в предмете [НЕСОРТИРОВАННОЕ]
- #
- #
- #
- #
16.03.2016399.36 Кб209М1.doc
- #
16.03.2016301.06 Кб309М6.doc
- #
- #
- #
- #
- #
- #
Лабораторная работа № 5
Тема: «ИЗМЕРЕНИЕ ПОВЕРХНОСТНОГО НАТЯЖЕНИЯ ЖИДКОСТИ»
Цель: определить коэффициент поверхностного натяжения воды методом отрыва капель.
Оборудование: сосуд с водой, шприц, сосуд для сбора капель.
Выполнение работы.
- Начертили таблицу:
|
№ опыта |
Масса капель m, кг |
Число капель n |
Диаметр канала шприца d, м |
Поверхност-ное натяжение σ, Н/м |
Среднее значение поверхностного натяжения σср, Н/м |
Табличное значение σтаб, Н/м |
Относительная погрешность δ % |
|
1 |
1*10-3 |
21 |
2,5*10-3 |
0,066 |
0,069 |
0,072 |
4,167 |
|
2 |
2*10-3 |
40 |
2,5*10-3 |
0,069 |
|||
|
3 |
3*10-3 |
59 |
2,5*10-3 |
0,071 |
Вычисляем поверхностное натяжение по формуле
Находим среднее значение поверхностного натяжения по формуле:
Определяем относительную погрешность методом оценки результатов измерений.
Вывод: я измерил поверхностное натяжение жидкости (воды), оно получилось равным 0,069 Н/м, что с учетом погрешности 4,167% совпадает с табличным значением.
Ответы на контрольные вопросы.
1. Почему поверхностное натяжение зависит от рода жидкости?
Поверхностное натяжение зависит от силы притяжения между молекулами. У молекул разных жидкостей силы взаимодействия разные, поэтому поверхностное натяжение разное. Также поверхностное натяжение зависит от наличия примесей в жидкости, потому что, чем сильнее концентрация примесей в жидкости, тем слабее силы сцепления между молекулами жидкости. Следовательно, силы поверхностного натяжения будут действовать слабее.
2. Почему и как зависит поверхностное натяжение от температуры?
Если температура увеличивается, то скорость движения молекул соответственно увеличивается, а силы сцепления между молекулами — уменьшаются. т.е силы поверхностного натяжения зависят от температуры. Чем температура жидкости выше, тем слабее силы поверхностного натяжения.
3. Изменится ли результат вычисления поверхностного натяжения, если опыт проводить в другом месте Земли?
Изменится незначительно, т.к. в формулу входит величина g — ускорения свободного падения. А мы знаем, что в разных точках Земли ускорение свободного падения различно. Реальное ускорение свободного падения на поверхности Земли зависит от широты, времени суток и других факторов. Оно варьирует ся от 9,780 м/с² на экваторе до 9,832 м/с² на полюсах.
4. Изменится ли результат вычисления, если диаметр капель трубки будет меньше?
Изменение диаметра трубки не может приводить к изменению измеряемой величины. Для определения поверхностного натяжения используется формула .
По рисунку видно, что уменьшение диаметра трубки компенсируется уменьшением массы капли, а поверхностное натяжение, естественно, останется тем же.
5. Почему следует добиваться медленного падения капель?
При вытекании жидкости из капиллярной трубки размер капли растет постепенно. Перед отрывом капли образуется шейка, диаметр d которой несколько меньше диаметра d1 капиллярной трубки. По окружности шейки капли действуют силы поверхностного натяжения, направленные вверх и удерживающие каплю. По мере увеличения размера капли растет сила тяжести mg, стремящаяся оторвать ее. В момент отрыва капли сила тяжести равна результирующей силе поверхностного натяжения F = πdσ.
Необходимо, чтобы капли отрывались от трубки самостоятельно, под действием силы тяжести. Если падение капель будет быстрым при дополнительном нажатии на поршень шприца, то в момент отрыва капли сила тяжести не будет равна силе поверхностного натяжения и данный метод даст большую погрешность измерения.
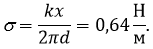
Тонкое
кольцо, средний диаметр которого d = 80 мм, подвешено на
пружине с коэффициентом жесткости k = 20 H/м и соприкасается
с поверхностью жидкости. При медленном опускании поверхности жидкости кольцо
оторвалось от нее при растяжении пружины на x = 16 мм. Определите
поверхностное натяжение жидкости.
Решение.
Перед
отрывом кольца от жидкости ее свободная поверхность у границы с кольцом
располагается приблизительно вертикально. Вдоль каждой единицы длины внутренней
и наружной окружностей кольца действуют сила поверхностного натяжения, равная
коэффициенту s. Векторы этих сил касательно к свободной поверхности жидкости и
направлены вертикально вниз. Поэтому результирующая сила поверхностного
натяжения, действующая на кольцо, также направлена вертикально вниз и равна
сумме сил, действующих на отдельные элементы контура, т.е. Fн = 2pds .
Для
отрыва кольца от жидкости необходимо приложить силу F,
направленную вертикально вверх, которая уравновесила бы силу поверхностного
натяжения. Следовательно, 2pds = kx. Отсюда найдем поверхностное натяжение s.
Ответ:
s = 0,64 H/м.
Источник: Физика. Полный курс подготовки к ЦТ. Под общей редакцией проф. В.А. Яковенко.
В технической механике сила отрыва — это сила, которая необходима для преодоления статического трения и которая инициирует переход к трению скольжения . Таким образом, усилие отрыва — это именно та сила, которая требуется для перевода подшипника из статического в динамическое состояние.
В случае вращательных движений говорят о крутящем моменте отрыва .
Приложения
Трогания сила определяет поведение отклика в амортизаторе . Усилие отрыва особенно важно для телескопических вилок мотоциклов и велосипедов, см. Также велосипедную вилку # амортизационная вилка .
Усилие отрыва в (земной) строительной технике
Усилие отрыва описывается в соответствии с ISO 6015: 2006 (землеройные машины — гидравлические экскаваторы метода измерения инструмента силы -) в силу , что землеройные машины можно применить к естественной почве , чтобы решить и принять.
веб ссылки
- Цвик: испытание шприцев на усилие отрыва
- Festo: Усилие удержания и отрыва для присосок
- Зона подъема: часто задаваемые вопросы
- MTB: усилие отрыва с вилками подвески
ЛПЗ «ИЗМЕРЕНИЕ
ПОВЕРХНОСТНОГО НАТЯЖЕНИЯ ЖИДКОСТИ»
Цель: определить
коэффициент поверхностного натяжения воды методом отрыва капель.
Оборудование: сосуд
с водой, шприц, сосуд для сбора капель.
Теория
Молекулы
поверхностного слоя жидкости обладают избытком потенциальной энергии по
сравнению с энергией молекул, находящихся внутри жидкости
Как и
любая механическая система, поверхностный слой жидкости стремится уменьшить
потенциальную энергию и сокращается. При этом совершается работа А:
где σ —
коэффициент поверхностного натяжения. Единицы измерения Дж/м2 или
Н/м
или
где F –
сила поверхностного натяжения, l – длина границы
поверхностного слоя жидкости.
Поверхностное
натяжение можно определять различными методами. В лабораторной работе
используется метод отрыва капель.
Опыт
осуществляют со шприцом, в котором находится исследуемая жидкость. Нажимают на
поршень шприца так, чтобы из отверстия узкого конца шприца медленно падали
капли. Перед моментом отрыва капли сила тяжести Fтяж=mкапли·g равна
силе поверхностного натяжения F, граница свободной поверхности –
окружность капли
l=π·dкапли
Следовательно:
Опыт
показывает, что dкапли =0,9d, где d –
диаметр канала узкого конца шприца.
Массу капли
можно найти, посчитав количество капель n и зная массу всех капель m.
Масса
капель m будет равна массе жидкости в шприце. Зная объем жидкости в шприце V и
плотность жидкости ρ можно найти массу m=ρ·V
Ход работы
Начертите таблицу:
№
Опыт 1
Наберите в шприц 1 мл воды
(«один кубик»).
Подставьте под шприц сосуд
для сбора воды и, плавно нажимая на поршень шприца, добейтесь медленного
отрывания капель. Подсчитайте количество капель в 1 мл и результат запишите в
таблицу.
Вычислите поверхностное
натяжение по формуле
Результат
запишите в таблицу.
Повторите опыт с 2 мл и 3 мл
воды.
Найдите среднее значение
поверхностного натяжения
Результат
запишите в таблицу.
Сравните полученный
результат с табличным значением поверхностного натяжения с учетом температуры.
Определите относительную
погрешность методом оценки результатов измерений.
Результат
запишите в таблицу.
Сделайте вывод.
КОНТРОЛЬНЫЕ
ВОПРОСЫ
Почему поверхностное
натяжение зависит от рода жидкости?
Почему и как зависит
поверхностное натяжение от температуры?
Изменится ли результат
вычисления поверхностного натяжения, если опыт проводить в другом месте Земли?
Изменится ли результат
вычисления, если диаметр капель трубки будет меньше?
Почему следует добиваться
медленного падения капель?
Результаты
измерений:
Количество
капель в 1 мл — 21
Количество
капель в 2 мл — 40
Количество
капель в 3 мл — 59
Выполнение работы
1. Начертили
таблицу:
|
№ опыта |
Масса капель m, кг |
Число капель n |
Диаметр канала шприца d, м |
Поверхност-ное натяжение σ, Н/м |
Среднее значение поверхностного натяжения σср, Н/м |
Табличное значение σтаб, Н/м |
Относительная погрешность δ % |
|
1 |
1*10-3 |
21 |
2,5*10-3 |
0,066 |
0,069 |
0,072 |
41,67 |
|
2 |
2*10-3 |
40 |
2,5*10-3 |
0,069 |
|||
|
3 |
3*10-3 |
59 |
2,5*10-3 |
0,071 |
Вычисляем поверхностное натяжение по
формуле
Находим среднее значение поверхностного
натяжения по формуле:
Определяем относительную погрешность
методом оценки результатов измерений.
Вывод: я измерил поверхностное натяжение
жидкости (воды), оно получилось равным 0,069 Н/м, что с учетом погрешности
41,76% совпадает с табличным значением.
Ответы на контрольные вопросы
1. Почему поверхностное натяжение
зависит от рода жидкости?
Поверхностное натяжение зависит от силы
притяжения между молекулами. У молекул разных жидкостей силы взаимодействия
разные, поэтому поверхностное натяжение разное. Также поверхностное натяжение
зависит от наличия примесей в жидкости, потому что, чем сильнее концентрация
примесей в жидкости, тем слабее силы сцепления между молекулами жидкости.
Следовательно, силы поверхностного натяжения будут действовать слабее.
2. Почему и как зависит поверхностное
натяжение от температуры?
Если температура увеличивается, то
скорость движения молекул соответственно увеличивается, а силы сцепления между
молекулами — уменьшаются. т.е
силы поверхностного натяжения зависят от температуры. Чем
температура жидкости выше, тем слабее силы поверхностного натяжения.
3. Изменится ли результат вычисления
поверхностного натяжения, если опыт проводить в другом месте Земли?
Изменится незначительно, т.к. в формулу
входит величина g — ускорения свободного падения. А мы знаем, что в разных
точках Земли ускорение свободного падения различно. Реальное ускорение
свободного падения на поверхности Земли зависит от широты, времени суток и
других факторов. Оно варьирует ся от 9,780 м/с² на экваторе до 9,832
м/с² на полюсах.
4. Изменится ли результат вычисления,
если диаметр капель трубки будет меньше?
Изменение диаметра трубки не может
приводить к изменению измеряемой величины. Для определения поверхностного
натяжения используется формула .
По рисунку видно, что уменьшение
диаметра трубки компенсируется уменьшением массы капли, а поверхностное
натяжение, естественно, останется тем же.
5. Почему следует добиваться медленного
падения капель?
При вытекании жидкости из капиллярной
трубки размер капли растет постепенно. Перед отрывом капли образуется
шейка, диаметр d которой несколько меньше
диаметра d1 капиллярной трубки. По окружности шейки капли действуют
силы поверхностного натяжения, направленные вверх и удерживающие каплю. По мере
увеличения размера капли растет сила тяжести mg, стремящаяся оторвать ее.
В момент отрыва капли сила тяжести равна результирующей силе поверхностного
натяжения F = πdσ.
Необходимо, чтобы капли отрывались от
трубки самостоятельно, под действием силы тяжести. Если падение капель будет
быстрым при дополнительном нажатии на поршень шприца, то в момент отрыва капли
сила тяжести не будет равна силе поверхностного натяжения и данный метод даст
большую погрешность измерения.




















