Тела и поверхности вращения. Шар. Цилиндр. Конус
Тела и поверхности вращения.
Шар. Цилиндр. Конус. Площади поверхности и объемы этих фигур.
Подробная теория с наглядными иллюстрациями и основные формулы.
Читай эту статью, здесь все это есть.
Всего за 15 минут ты полностью во всём разберешься!
Тело вращения – это тело в пространстве, которое возникает при вращении какой-нибудь плоской фигуры вокруг какой-нибудь оси.
Вот самый простой пример: цилиндр.
Берем прямоугольник и начинаем вращать его вокруг одной из сторон.
Смотри.
Было–вращаем–стало:
А теперь гораздо хитрее. Бывает так, что ось вращения находится далеко от фигуры, которая вращается.
Например, так:
Вращаем:
Что получится? Бублик. А по-научному – ТОР.
Ну и так вот можно любую фигуру вертеть вокруг любой оси, и будут получаться разные более или менее сложные тела вращения.
Ну, а поверхность вращения – это просто граница тела вращения. Ведь поверхность это всегда граница тела.
Здесь мы рассмотрим подробно несколько тел вращения. Те, которые встречаются в школьных задачах. Это шар, цилиндр и конус.
Шар
Шар – тело вращения, полученное вращением полуокружности вокруг диаметра.
Было–вращаем–стало:
Вообще-то есть и другое определение шара – через ГМТ (геометрическое место точек)
Шар – геометрическое место точек, удаленных от одной фиксированной точки на расстояние, не более заданного.
Скажу тебе по секрету, что, хоть второе определение и пугающее на вид, оно удобнее в обращении. Задумайся, ведь если тебя попросят сказать, что такое шар, ты скажешь что-то вроде:
«ну …там есть центр и радиус…», подразумевая, что все точки внутри шара находятся я на расстоянии не большем, чем радиус.
Ну, в общем, шар он и есть шар.
Названия, которые ты должен знать:
Незнакомое тебе, наверное, только одно.
Диаметральное сечение шара – сечение, проходящее через центр. Это сечение иногда еще называют большим кругом.
А вообще:
- Любое сечение шара – круг.
- Граница шара называется сфера. (Так же, как граница круга – окружность.)
Площадь поверхности сферы
( {{S}_{поверхности }}=4pi {{R}^{2}})
( R) – радиус
Откуда взялось? Умные математики придумали – это не так уж просто – придется просто запомнить.
Объем шара
( {{V}_{шара}}=frac{4}{3}pi {{R}^{3}})
( R) – радиус
Это еще одна хитрая формула, которую придется запомнить, не понимая, откуда она взялась.
Если ты знаком с производной, то можешь заметить это:
( {{V’}_{шара}}={{S}_{поверхности}})
И это не случайно! Но почему это так вышло, мы тоже здесь обсуждать не будем. Можешь попробовать доказать это сам!
Цилиндр
Цилиндр – тело, образованное вращением прямоугольника вокруг одной из сторон.
Вообще-то, полное имя этого тела – «прямой круговой цилиндр», но составители задач и мы вместе с ними по дружбе называем его просто цилиндром. Названия, относящиеся к цилиндру, такие:
Основания у цилиндра – это круги
Еще у цилиндра есть так называемая развертка.
Представь, что у нас от цилиндра осталась только боковая поверхность, и мы ее разрезали вдоль образующей и развернули.
Что получится? Представь себе, прямоугольник.
Развертка цилиндра – прямоугольник.
Площадь боковой поверхности цилиндра
( {{S}_{бок.}}=2pi RH)
( R) – радиус
( H) – высота, она же образующая.
Откуда взялась эта формула? Это как раз легко! Именно потому, что цилиндр можно развернуть, и получится прямоугольник ( 2pi Rcdot H).
Площадь этого прямоугольника и есть площадь боковой поверхности цилиндра.
Площадь прямоугольника, как мы хорошо помним равна произведению сторон, поэтому
( {{S}_{бок.}}=2pi RH)
Площадь полной поверхности цилиндра
Прибавляем теперь площадь двух кругов – оснований и получаем:
( {{S}_{полн .}}=2pi RH+2pi {{R}^{2}})
Можно вынести (хотя и не обязательно) ( 2pi R):
( {{S}_{полн .}}=2pi Rleft( H+R right))
Но эту формулу неудобно запоминать!
Гораздо проще запомнить, что полная поверхность – сумма боковой поверхности и еще двух кругов – оснований, а боковая поверхность – прямоугольник. И тогда ( {{S}_{полн .}}) можно вообще не запоминать, ты всегда сам напишешь, что
( {{S}_{полн .}}=underbrace{2pi RH}_{прямоугольник}+underbrace{2pi {{R}^{2}}}_{два круга})
Объем цилиндра
( V=pi {{R}^{2}}H)
( R) – радиус основания ( H) – высота
Это точно как у призмы и параллелепипеда!
( V={{S}_{основания}}cdot H), только у призмы и параллелепипеда ( {{S}_{основания}}) — это площадь многоугольника, а у цилиндра ( {{S}_{основания}}) — это площадь круга.
Конус
Конус – тело вращения, образованное вращением прямоугольного треугольника вокруг одного из катетов.
Было–вращаем–стало:
И опять же, полное название этого тела: «прямой круговой конус», но во всех задачах у нас говорится просто «конус».
Названия, относящиеся к конусу:
Что тут нужно твердо помнить?
- Основание корпуса – круг
- Все образующие конуса – равны.
Ясно ли это? Вроде должно быть ясно, ведь образующая – это гипотенуза (одна и та же!) Треугольника, который вращаем, а радиус основания – катет.
У конуса тоже есть развертка.
Снова представим, что основания нет, разрежем боковую поверхность вдоль образующей и развернём кулек. Что получится?
Представь себе сектор круга. Пусть длина образующей равна ( l).
Развертка конуса – сектор круга радиуса ( l)
Площадь поверхности конуса
Как найти площадь боковой поверхности корпуса? Вспомним о развертке, ведь для цилиндра все было просто именно с помощью развертки.
По формуле площади сектора ( {{S}_{бок.}}={{l}^{2}}cdot frac{alpha }{2}) Где ( alpha ) – угол при вершине в радианах.
И это уже формула. В некоторых задачах бывает дан именно угол при вершине в развертке конуса.
Но если все же даны только образующая и радиус основания, как быть?
Нужно осознать, что же такое дуга в развертке? Это бывшая окружность основания! Поэтому длина этой дуги равна ( 2pi R).
С другой стороны, длина этой же дуги равна ( alpha cdot l), так как это дуга окружности радиуса ( l). Поэтому
( alpha cdot l=2pi R)
Подставляем
( {{S}_{бок.}}={{l}^{2}}cdot frac{alpha }{2}=frac{l}{2}cdot alpha cdot l=frac{l}{2}cdot 2pi R)
Итак,
( {{S}_{бок.}}=pi Rl), где
( R) — радиус окружности основания,
( l) — длина образующей
Ну, и осталось площадь полной поверхности конуса. Прибавим к боковой поверхности площадь круга основания, и получаем:
( {{S}_{полн. }}=pi Rl+pi {{R}^{2}})
Можно вынести ( pi R):
( {{S}_{полн. }}=pi Rleft( l+R right))
Но, как и для цилиндра, не надо запоминать вторую формулу, гораздо проще всегда пользоваться первой.
Объём конуса
( V=frac{1}{3}pi {{R}^{2}}H)
( R) – радиус основания (
H) – высота
Это так же, как у пирамиды
( V=frac{1}{3}{{S}_{осн.}}cdot H), только
( {{S}_{осн. }}) — это не площадь многоугольника, а площадь круга.
А вот откуда взялась ( frac{1}{3})?, по-прежнему остается загадкой, потому что эта ( frac{1}{3}) получена в результате довольно хитрых рассуждений умных математиков.
А тебе нужно очень твердо запомнить, что в формулах объёма «треугольных» фигур: конуса и пирамиды эта ( frac{1}{3}) и есть, а в формулах параллелепипеда, призмы и цилиндра ее нет!
Бонус: Вебинары по стереометрии из нашего курса подготовки к ЕГЭ по математике
ЕГЭ 14 Стереометрия. Расстояние между точками и от точки до прямой
В этом видео мы научимся «видеть» 3-мерное пространство и изображать 3-мерные объекты на бумаге (то есть на плоской поверхности).
Затем мы научимся двум основным вещам — находить расстояние между точками на таких рисунках, а также расстояние от точки до прямой.
На этих умениях строится всё дальнейшее изучение стереометрии. В общем это очень важное, базовое видео, с которого нужно начинать изучение стереометрии.
Не перескакивайте, не пропускайте его! Даже если вы знаете стереометрию, вы найдете для себя очень много полезного и нового в этом видео.
ЕГЭ 14. Стереометрия. Пирамида. Разбор варианта профильного ЕГЭ 2020
В этом видео:
- Как нарисовать шестиугольную пирамиду.
- Как подписать вершины пирамиды чтобы потом легче было решать задачу.
- Как исправить рисунок, если грани пирамиды сливаются.
- Доказательство пунктов А и Б, а также их правильная запись, которую примет любой проверяющий на ЕГЭ.
- Нахождение площади основания и объема пирамиды.
- Самое главное, на что нужно обратить внимание.
Самые бюджетные курсы по подготовке к ЕГЭ на 90+
Алексей Шевчук — ведущий мини-групп
математика, информатика, физика
+7 (905) 541-39-06 — WhatsApp/Телеграм для записи
alexei.shevchuk@youclever.org — email для записи
- тысячи учеников, поступивших в лучшие ВУЗы страны
- автор понятного всем учебника по математике ЮКлэва (с сотнями благодарных отзывов);
- закончил МФТИ, преподавал на малом физтехе;
- репетиторский стаж — c 2003 года;
- в 2021 году сдал ЕГЭ (математика 100 баллов, физика 100 баллов, информатика 98 баллов — как обычно дурацкая ошибка:);
- отзыв на Профи.ру: «Рейтинг: 4,87 из 5. Очень хвалят. Такую отметку получают опытные специалисты с лучшими отзывами».
Слайд 1Площадь поверхности
тел вращения

Слайд 2Основная цель:
сформиравать навык решения задач по
теме

Слайд 3
Тело, полученное вращением прямоугольного треугольника вокруг прямой,
содержащей гипотенузу
Возьмем прямоугольный треугольник
Вращение будет производиться вокруг
гипотенузы
Проведем перпендикуляр к гипотенузе, он будет являться радиусом
r
Вращая этот треугольник, получим

Слайд 4Тело, полученное вращением прямоугольного треугольника вокруг прямой,
проходящей через вершину острого угла, параллельно противоположному
катету

Слайд 5
C
B A
Тело, полученное вращением равностороннего треугольника АВС вокруг прямой, проходящей через вершину А, перпендикулярно стороне АВ.

Слайд 6
Тело, полученное вращением равностороннего треугольника вокруг прямой,
содержащей одну из сторон треугольника

Слайд 7
Тело, полученное вращением тупоугольного равнобедренного треугольника вокруг
прямой, содержащей основание треугольника

Слайд 8
Тело, полученное вращением равностороннего треугольника вокруг прямой,
проходящей через вершину треугольника параллельно противолежащей стороне

Слайд 9
Тело, полученное вращением прямоугольного треугольника вокруг прямой,
проходящей через вершину острого угла перпендикулярно гипотенузе

Слайд 10
Тело, полученное вращением прямоугольной трапеции вокруг прямой,
содержащей меньшую боковую сторону

Слайд 11
Тело, полученное вращением прямоугольной трапеции вокруг прямой,
содержащей меньшее основание

Слайд 12
Тело, полученное вращением прямоугольной трапеции вокруг прямой,
содержащей большее основание

Слайд 13
Тело, полученное вращением равнобедренной трапеции вокруг прямой,
содержащей меньшее основание

Слайд 14
Тело, полученное вращением равнобедренной трапеции вокруг прямой,
содержащей большее основание

Слайд 15
Тело, полученное вращением ромба вокруг прямой, содержащей
сторону ромба

Слайд 16
Тело, полученное вращением ромба вокруг прямой, проходящей
через вершину ромба параллельно одной из диагоналей.

Слайд 17Задача 1
Прямоугольный треугольник с катетом 8
см и прилежащим к нему углом 30°
вращается вокруг прямой, содержащей гипотенузу. Найдите площадь поверхности полученного тела.
Так как r лежит напротив угла в 30°, то он равен половине гипотенузы.

Слайд 18Задача 2
Равнобедренный треугольник, у которого боковые
стороны равны по 4 см, а один
из углов 120°, вращается вокруг прямой, содержащей большую сторону. Найти площадь поверхности полученного тела.
Так как треугольник АВС равен треугольнику АВ1С, то
Так как r лежит напротив угла в 30°, то он равен половине гипотенузы r=2

Слайд 20Задача
В равнобедренной трапеции основания равны 14
и 50 см, а диагональ 40 см.
Эта трапеция вращается вокруг прямой, содержащей меньшее основание трапеции. Найдите площадь поверхности полученного тела.

Телом вращения в
самом простом случае называется такое тело, которое плоскостями,
перпендикулярными к некоторой прямой – оси вращения, пересекается по кругам с
центрами, которые лежат на этой прямой.
Круговой цилиндр,
конус, шар – примеры тел вращения.
Конус можно
получить вращением прямоугольного треугольника вокруг одного из катетов.
Катет SO, вокруг которого происходит вращение, называется осью
конуса, а гипотенуза является образующей конуса. Кроме того, катет ОD равняется радиусу основы конуса, а катет SO равняется его высоте:
R = ОD, Н = SO.
Найдем формулу для
вычисления объема любого тела вращения.
Проведем плоскость
через ось тела и введем в этой плоскости декартовые координаты х, y приняв ось тела
за ось х. Плоскость ху пересекает
поверхность тела по линии, для которой ось
х является осью симметрии.
Пусть y
= (х) – уравнение той части этой линии, которая расположена
над осью х. Проведем через точку
(х, 0) плоскость,
перпендикулярную оси х, и обозначим через
V(x) объём части тела, которая лежит влево от этой
плоскости, V(x) является функцией от х.
Разность
V(x + h)
– V(x)
представляет собой объем прослойки тела толщиной h,
заключительного между двумя плоскостями, которые перпендикулярны оси х и проходят через точки с абсциссами х и х + h. Пусть М – большее,
а m – наименьшее значение функции f(х)
на отрезке [x, x
+ h]. Тогда рассмотренная прослойка тела содержит цилиндр с
радиусом m и высотой h и находится в цилиндре с радиусом М и той же высотой h. Поэтому
При стремлении высоты
h к нулю левая и правая части последнего
неравенства стремятся к одной и той же величине
πf 2(x). Средняя ж часть этого
неравенства при стремлении h к 0 стремится к производной
V‘(x)
функции V(x). Виходить,
V‘(x) = πf
2(x).
По известной формуле
Эта формула и даёт
объём части тела, заключённого между параллельными плоскостями х = а и х
= b.
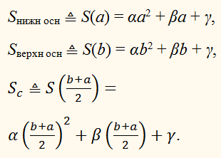
Формула Симпсона.
Если плоскость сечения S(x) тела Т перпендикулярная к оси Ох, то
функция х имеет вид
S(x) = αx2
+ βx + γ,
и объём такого тела,
которое находится между плоскостями
х = а и х
= b,
равен:
Обозначим площади сечений:
Тогда полученное ранее виражение для вычисления объёма тела Т можно представить в виде:
Эту формулу называют формулой Симпсона.
С помощью формулы
Симпсона легко получить выражения для вычисления объёмов тел, сечения которых плоскостью,
перпендикулярной оси Ох, можно представить в виде:
S(х)
= αх2 + βх + γ.
Например, это объёмы
шара, пирамиды, конуса, так как соответствующие сечения этих тел соответствуют указанному
условию.
ПРИМЕР:
Для шара радиуса R имеем:
a = –R, b = R,
S(a) = S(b) = 0,
Sc = πR2,
ПРИМЕР:
В случае пирамиды:
a = 0, b = H,
S(a) = S0,
Sc = (1/2)2S0,
С помощью формулы Симпсона удобно
решать задачи на вычисление объёмов частей тел, которые
ограничены параллельными сечениями.
ПРИМЕР:
В случае усечённого конуса (с радиусами оснований R и r, высотой h) имеем:
a = 0, b = h,
S(a) = πR2,
S(b) = πr2,
Заметим, что при
вычислении Sc,
мы воспользовались тем, что осевым сечением усечённого конуса является
трапеция, средняя линия которой равняется диаметру сечения этого конуса
плоскостью
ЗАДАЧА:
Прямоугольный треугольник, катеты которого равны а и b, вращается
вокруг прямой, которая проходит через вершину прямого угла параллельно гипотенузе.
Найдите площадь поверхности тела вращения.
Прямоугольный ∆ABC (∠ C
= 90°) вращается вокруг прямой
OO1 ∥ AB.
Точка С лежит на прямой OO1. Найти площадь поверхности тела вращения, если
АС = b и ВС
= а.
Поверхность тела вращения будет
состоять из боковой поверхности цилиндра
ABDE и боковых поверхностей
конусов ACE и BCD. Образующую
цилиндра найдём из данного треугольника:
а радиусы оснований конусов и цилиндров,
которые равны между собой, определим из ∆ABC:
CF ×
AB = AC × CB.
Обозначив CF через R, найдём
Тогда поверхность тела вращения
ОТВЕТ:
Усечённый конус
может быть получен вращением прямоугольной трапеции вокруг боковой стороны,
перпендикулярной основанию.
Сторона ОО1, вокруг которой вращается трапеция, называется осью усечённого
конуса, а вторая боковая сторона АВ трапеции – касательной
усечённого конуса. Основания трапеции будут соответственно радиусами нижнего и
верхнего основания усечённого конуса:
ОА = R, ВО1 = r.
Поверхность, полученную
вращением большой стороны АА1 трапеции
ОО1А1А называют боковой поверхностью усечённого
конуса.
Каждый отрезок этой
поверхности (а также его длина), который соединяет ближайшие точки окружностей
оснований усечённого конуса, называют образующими усечённого конуса. АА1 и ВВ1 –
образующие усечённого конуса. Они равны между собой.
Шар, так же как цилиндр и конус, является телом вращения. Он получается при
вращении полуокружности вокруг его диаметра как оси.
Если ось вращения совпадает с радиусом, который ограничивает круговой
сектор АОС, то полученный от вращения шаровой сектор называется
простым, а если ось вращения не совпадает с радиусом, который ограничивает
круговой сектор СОD,
то шаровой сектор называется полупустым.
Объём тела, полученного при вращении плоской фигуры вокруг оси.
Объём тела, описываемого плоской фигурой при вращении её вокруг
оси, лежащей в плоскости этой фигуры и не пересекающей её, равен произведению
площади фигуры на длину окружности, описываемой центром тяжести этой площади:
Vтела об =
2πSdc,
где S – площадь вращающейся фигуры, а dc – расстояние
от центра тяжести фигуры до оси вращения.
Если ∆ АВС вращается вокруг оси МN, которая
лежит в плоскости
треугольника, проходит через его вершину
А, но
не пересекает стороны ВС, то объём тела, полученного при этом вращении, равен произведению
поверхности SВС, образуемой противоположной стороной ВС,
на одну треть высоты треугольника, опущенной на эту сторону, то есть
Объём шарового сектора и шара.
Объём шарового сектора, получаемого вращением вокруг диаметра МN кругового сектора АОВ, есть
предел, к которому стремится объём тела, образуемого вращением многоугольника, ограниченного
радиусами ОА и ОВ и правильной ломаной линией АСDВ.
Эта ломаная вписана в дугу кругового сектора, когда число сторон её неограниченно
увеличивается (и, следовательно, длина каждой из сторон АС, СD,
… стремится к нулю).
Объём шарового сектора равен произведению поверхности соответствующего
шарового пояса (или шарового
сегмента) на треть радиуса:
где R – радиус шарового сектора, а Н –
высота шарового пояса (сегмента).
Объём шара равен произведению его поверхности на треть
радиуса:
где R – радиус шара, D – диаметр шара.
Формулу для объёма шара получаем, положив в формуле для объёма шарового
сектора
Н = 2R.
Объём шарового сегмента равен объёму цилиндра, у которого радиус основания есть
высота сегмента, а высота цилиндра равна радиусу шара, уменьшенному на треть высоты
сегмента, то есть
где h – высота сегмента, а
R –
радиус шара.
Задания к уроку 16
- Задание 1
- Задание 2
- Задание 3
Другие уроки:
- Урок 1. Единицы измерения объёмов
- Урок 2. Объём прямой призмы
- Урок 3. Объём наклонной призмы
- Урок 4. Объём правильной призмы
- Урок 5. Объём прямого параллелепипеда
- Урок 6. Объём наклонного параллелепипеда
- Урок 7. Объём прямоугольногопараллелепипеда
- Урок 8. Объём куба
- Урок 9. Объём пирамиды
- Урок 10. Объём правильной пирамиды
- Урок 11. Объём усечённой пирамиды
- Урок 12. Объём цилиндра
- Урок 13. Объём конуса
- Урок 14. Объём усечённого конуса
- Урок 15. Объём шара и его частей
- Урок 17. Комбинации тел (2)
- Урок 18. Правильные многогранники
- Урок 19. Объёмы подобных тел
Телом вращения называют пространственную фигуру, полученную в результате вращения некоторой плоской фигуры вокруг оси. Среди всех тел вращения выделяют цилиндр, конус и шар.
Цилиндром называют фигуру, полученную в результате вращения прямоугольника вокруг одной из его сторон (оси цилиндра).
Образующей цилиндра называют отрезок, соединяющий точки окружностей оснований цилиндра, и перпендикулярный диаметрам его оснований.
Высотой цилиндра называют перпендикуляр, заключенный между основаниями цилиндра.
На рисунке 9.66 прямая 







Объем цилиндра высоты 

Площадь основания цилиндра (

Площадь поверхности цилиндра находят по формуле:

Площадь боковой поверхности цилиндра находят по формуле:

где 


Конусом называют фигуру, полученную в результате вращения прямоугольного треугольника вокруг одного из катетов (оси конуса).
Образующей конуса называют отрезок, соединяющий вершину конуса с точкой окружности основания конуса.
Высотой конуса называют перпендикуляр, соединяющий вершину конуса с центром его основания.
На рисунке 9.67 прямая 





Усеченным конусом называют часть конуса, ограниченную его основанием и сечением, параллельным плоскости основания.
На рисунке 9.68 изображен усеченный конус.
Объем конуса высоты 

Площадь основания конуса (

Площадь поверхности конуса находят по формуле:

Площадь боковой поверхности конуса находят по формуле:

где 

Объем усеченного конуса находят по формуле:

где 


Площадь боковой поверхности усеченного конуса находят по формуле:

где 



Сферой называют фигуру, полученную в результате вращения полуокружности вокруг ее диаметра (рис. 9.69).
Шаром называют фигуру, полученную вращением полукруга вокруг его диаметра.
Сечение сферы плоскостью – окружность.
Сечение шара плоскостью – круг.
Сечение шара плоскостью, проходящей через центр шара, называют большим кругом (на рисунке 9.69 круг с центром в точке 

Касательной плоскостью к сфере (шару) называется плоскость, имеющая со сферой единственную общую точку (на рисунке 9.69 плоскость 

Касательная плоскость перпендикулярна радиусу сферы в точке касания.
Площадь сферы радиуса 

Объем шара радиуса

Выпуклый многоугольник вписан в сферу, если все его вершины лежат на поверхности сферы, и описан около сферы, если все его стороны касаются поверхности сферы.
Сферическим (шаровым) сегментом называют часть сферы (шара), отсекаемую плоскостью.
Высотой 

Шаровым сектором называют тело, полученное вращением кругового сектора вокруг одного из ограничивающих круговой сектор радиусов.
Высотой шарового сектора называют высоту части его сферической поверхности.
На рисунке 9.70 шаровой сектор получен в результате вращения кругового сектора вокруг радиуса 
Объем шарового сегмента находят по формуле:

Площадь сферической поверхности находят по формуле:

где 

Объем шарового сектора находят по формуле:

где 

Пример 1. Осевое сечение цилиндра – квадрат со стороной 

Решение. Так как осевое сечение квадрат (рис. 9.71), то 

По формулам 9.15 и 9.16 найдем объем цилиндра: 
По формулам 9.16 , 9.17 и 9.18 найдем площадь поверхности цилиндра: 
Ответ: 

Пример 2. Площадь боковой поверхности цилиндра равна 

Решение. Площадь боковой поверхности и объем цилиндра найдем по формулам 9.18 и 9.15 , где 

Тогда согласно условию задачи запишем: 
Разделим первое уравнение системы на второе и получим: 


Найдем 

Ответ: 
Пример 3. Найдите объем и площадь поверхности конуса, осевым сечением которого является правильный треугольник со стороной 
Решение. Так как 



По формулам 9.19 и 9.20 найдем объем конуса: 

По формулам 9.20 , 9.21 и 9.22 найдем площадь поверхности конуса: 

Ответ: 



Пример 4. Радиус основания конуса равен 

Решение. Рассмотрим конус радиуса 

Найдем длину окружности в основании конуса: 
Найдем длину дуги в развертке боковой поверхности конуса: 
Так как 


Из теоремы Пифагора: 

По формулам 9.19 и 9.20 найдем объем конуса: 
Ответ: 
Пример 5. Осевое сечение конуса – равнобокая трапеция с основаниями 


Решение. Имеем усеченный конус (рис. 9.74), радиусы оснований которого соответственно равны 




По формуле 9.24 найдем площадь боковой поверхности конуса: 
По формуле 9.23 найдем объем конуса:

Ответ: 

Пример 6. Периметр правильного шестиугольника, все вершины которого лежат на поверхности шара, равен 

Решение. Найдем сторону правильного шестиугольника, зная его периметр: 

Объем шара находят по формуле 9.26 .
Так как 




Из теоремы Пифагора: 

Ответ: 
Пример 7. Сторона квадрата, описанного около шара, равна 

Решение. 1. Найдем диагональ квадрата, зная его сторону: 



2. Из теоремы Пифагора: 

3. Найдем высоту сферической поверхности:


4. По формуле 9.28 найдем площадь сферической поверхности:


Ответ: 
Пример 8. Равнобедренная трапеция с основаниями 


Решение. Рассмотрим равнобедренную трапецию 










Рассмотрим прямоугольный треугольник 


тогда 

Согласно формуле 


Согласно формуле 


Найдем площадь поверхности тела вращения: 

Ответ: 

1. В цилиндре умейте определять: радиус основания, высоту, образующую, осевое сечение.
2. В конусе умейте определять: радиус основания, высоту, образующую, осевое сечение.
3. Различайте шар и сферу (поверхность шара). Умейте определять: 1) центр, радиус и диаметр сферы; 2) в шаре: центр, радиус, диаметр, сечение, шаровой сегмент и шаровой сектор.

Цилиндр
- Цилиндр — тело, ограниченное цилиндрической поверхностью с замкнутой направляющей и двумя параллельными плоскостями.
- Цилиндрическая поверхность — поверхность, образуемая однопараметрическим семейством параллельных прямых (образующих) и проходящими через точки некоторой кривой (направляющей).
- Основания цилиндра — плоские фигуры, образованные пересечением цилиндрической поверхности с двумя параллельными плоскостями, ограничивающими цилиндр.
- Высота цилиндра — расстояние между основаниями цилиндра.
Виды цилиндров
- Прямой — цилиндр, основания которого имеют центры симметрии (например, являются кругами или эллипсами), прямая между которыми перпендикулярна плоскостям этих оснований. Данная прямая называется осью цилиндра.
- Косой — цилиндр, основания которого имеют центры симметрии (например, являются кругами или эллипсами), отрезок между которыми не перпендикулярен плоскостям этих оснований.
- Круговой — цилиндр с окружностью в роли направляющей.
- Цилиндр вращения (или прямой круговой) — цилиндр, который можно получить вращением (то есть тело вращения) прямоугольника вокруг одной из его сторон, содержащая которую прямая в таком случае будет осью этого цилиндра и его осью симметрии.
- Эллиптический, параболический и гиперболический – цилиндр, основания которого являются эллипсами, параболами или гиперболами. Последние два имеют бесконечный объём.
- Равносторонний — цилиндр вращения, диаметр основания которого равен его высоте.

Объем цилиндра: V=π∙R2∙h или V=So∙h
Поверхность цилиндра: S= 2∙So + Sбок или S= 2∙π∙R2 + 2∙π∙R∙h
Площадь основания: So= 2∙π∙R2
Площадь боковой поверхности: Sбок=2∙π∙R∙h
Где: V — объем цилиндра, R — радиус цилиндра, h — высота цилиндра, So — площадь основания цилиндра, π = 3.141592.

Объем цилиндра: V = π ∙ h ∙ (r22 — r12) где r2 > r1
Площадь боковой поверхности: Sбок = 2 ∙ π ∙ h ∙ (r1 + r2)
Где: V — объем цилиндра, R — радиус цилиндра, h — высота цилиндра, So — площадь основания цилиндра, π = 3.141592.
Конус
- Конус – поверхность, образованная в пространстве множеством лучей (образующих конуса), соединяющих все точки некоторой плоской кривой (направляющей конуса) с данной точкой пространства (вершиной конуса).
- Боковая поверхность конуса — объединение образующих конуса; образующая поверхность конуса является конической поверхностью.
- Высота конуса — отрезок, опущенный перпендикулярно из вершины на плоскость основания (а также длина такого отрезка).
- Угол раствора конуса — угол между двумя противоположными образующими (угол при вершине конуса, внутри конуса).
- Конусность — соотношение высоты и диаметра основания конуса.
Типы конусов
- Прямой — конус, основание которого имеет центр симметрии (например, является кругом или эллипсом) и ортогональная проекция вершины конуса на плоскость основания совпадает с этим центром. Прямая, соединяющая вершину и центр основания, называется осью конуса.
- Косой (или наклонный) — конус, у которого ортогональная проекция вершины на основание не совпадает с его центром симметрии.
- Круговой — конус, основание которого является кругом.
- Конус вращения или прямой круговой конус (часто под конусом подразумевают именно его) — конус, который можно получить вращением (то есть тело вращения) прямоугольного треугольника вокруг прямой, содержащей катет треугольника (эта прямая является осью конуса).
- Эллиптический, параболический и гиперболический — конус, опирающийся на эллипс, параболу или гиперболу. Последние два имеют бесконечный объем.
- Усечённый или конический слой — часть конуса, лежащая между основанием и плоскостью, параллельной основанию и находящейся между вершиной и основанием.
- Равносторонний — конус вращения, образующая которого равна диаметру основания.

Объем конуса: V = 1/3·π·R2·h или V=1/3·So·h
Поверхность конуса: S=So+Sбок или S=π∙R2+π∙R∙h
Площадь основания: So=π∙R2
Площадь боковой поверхности: Sбок=π∙R∙l
Образующая: l=√(R2+h2)
Где: V — объем конуса, So — площадь основания, R — радиус основания, h — высота конуса, l — образующая, π=3.141592.

Объем конуса: V=1/3·π·(r12+r22+r1·r2)·h
Площадь боковой поверхности: Sбок=π∙(r1+r2)∙l
Где: r1 — радиус нижнего основания усеченного конуса; r2 — радиус верхнего основания усеченного конуса; l — образующая усеченного конуса, π=3.141592.
Шар
- Шар — это тело ограниченное шаровой поверхностью.
- Шаровая (сферическая) поверхность – это геометрическое место точек пространства, равноудаленных от одной точки — центра шара. Радиус и диаметр определяют также, как и для окружности.
- Все плоские сечения шара — круги. Наибольший круг получается в сечении шара плоскостью, проходящей через центр. Такой круг делит шар пополам. Радиус большого круга равен радиусу шара. Через две точки шара, лежащие на концах одного диаметра, можно провести бесчисленное множество больших кругов — меридианы. Через две точки, не лежащие на концах диаметра шара можно провести только один большой круг.
- Шаровой сектор — это часть шара, ограниченная кривой поверхностью шарового сегмента и конической поверхностью основанием которой служит основание сегмента, а вершиной — центр шара.
- Шаровой (сферический) сегмент — часть шара, осекаемая от него какой-нибудь плоскостью. Основание шарового сегмента – круг. Высота шарового сегмента — длина перпендикуляра от поверхности шара до основания. Вершина шарового сегмента — точка пересечения высоты шарового сегмента с поверхностью шара.
-
Шаровой слой — это часть шара, заключенная между двумя секущими параллельными плоскостями. Шаровой пояс или Шаровая зона — кривая поверхность шарового слоя. Круги — основания шарового пояса. Расстояние между основаниями — высота шарового слоя.

Объем шара: V = 4/3 ·π· R3 или V=1/6 ·π · D3
Площадь поверхности сферы: S= 4 ·π· R2 или S=π · D2
Площадь основания: So=π∙R2
Где: R — радиус шара, π = 3.141592.

Высота конуса: hконуса=R2−r2
Высота сегмента: hсегмента= R−R2−r2
Площадь поверхности шарового сектора: Sсектора= Sсегмента+ Sконуса
или Sсектора= 2∙π∙R∙hсегмента + π∙R∙rили Sсектора=2∙π∙ R ∙(R−R2−r2) + π∙R∙r
Объем шарового сектора: V = 2/3∙(π∙R2∙h) или V = 1/3∙( R∙S)
Где: R — радиус шара, r — радиус сегмента, π = 3.141592.

Площадь поверхности шарового сегмента : S = 2∙π∙R∙h
Объем шарового сегмента : V = (π ·H2 (R -1/3 ·h)
Где: R — радиус шара, r — радиус сегмента, h= высота шарового сегмента, π = 3.141592.
Также на сайте описаны многогранники, в том числе: определения и формулы.


































