Таблица кислот и кислотных остатков.
Таблица кислот и кислотных остатков (1 часть):
| Формула кислоты | Название кислоты | Формула кислотного остатка |
Название кислотного остатка |
| HN3 | Азотистоводородная (Азоимид, Азидоводород) | N3– | Азид |
| HNO2 | Азотистая | NO2– | Нитрит |
| HNO3 | Азотная | NO3– | Нитрат |
| HBrO2 | Бромистая | BrO2– | Бромит |
| HBrO3 | Бромноватая | BrO3– | Бромат |
| HBrO | Бромноватистая (Гипобромистая кислота) | BrO– | Гипобромит |
| HBr | Бромоводород (Бромистоводородная кислота) | Br– | Бромид |
| HVO3 | Ванадиевая | VO3– | Ванадат |
| H2WO4 | Вольфрамовая | WO42– | Вольфрамат |
| H4GeO4 или Ge(OH)4 | Германиевая кислота (Гидроксид германия (IV)) | GeO44– | Германат |
| H2S2O7 | Дисерная | S2O72– | Дисульфат |
| H4P2O7 | Дифосфорная | P2O74– | Пирофосфат или дифосфат (по номенклатуре IUPAC) |
| H2Cr2O7 | Дихромовая | Cr2O72– | Дихромат |
| HIO4 | Йодная | IO4– | Периодат |
| HIO | Йодноватистая | IO– | Гипоиодит |
| HI | Йодоводород (Йодоводородная кислота) | I– | Йодид |
| H2SiO3 | Кремниевая | SiO32– | Силикат |
| H2MnO4 | Марганцовистая | MnO42– | Манганат |
| HMnO4 | Марганцовая | MnO4– | Перманганат |
| HCOOH | Метановая (Муравьиная кислота) | HCOO– | Формиат |
| HBO | Метаборная | BO– | Метаборат |
| HAsO2 | Метамышьяковистая | AsO2– | Метаарсенит |
| H2TiO3 или TiO(OH)2 | Метатитановая (β-титановая кислота) | TiO32– | Титанат |
| HPO3 | Метафосфорная | PO3– | Метафосфат |
Таблица кислот и кислотных остатков (2 часть):
| H2MoO4 | Молибденовая | MoO42– | Молибдат |
| H3BO3 | Ортоборная (Борная кислота) | BO33– | Борат |
| H3AsO4 | Ортомышьяковая | AsO43– | Арсенат |
| H3AsO3 | Ортомышьяковистая | AsO33– | Ортоарсенит |
| H2PbO4 | Ортосвинцовая кислота | PbO42– | Ортоплюмбат или плюмбат |
| H3PO4 | Ортофосфорная (Фосфорная кислота) | PO43– | Фосфат |
| H2SO5 | Кислота Каро (пероксомоносерная кислота, мононадсерная кислота) | SO52– | Пероксомоносульфат или кароат |
| HNCS | Роданистоводородная (Тиоциановая кислота) | SCN– | Тиоцианат |
| C7H6O3 | Салициловая | C7H6O3– | Салицилат |
| H2SO4 | Серная | SO42– | Сульфат |
| H2SO3 | Сернистая | SO32– | Сульфит |
| H2S | Сероводород (Сероводородная кислота) | S2– | Сульфид |
| H2SO3S | Тиосерная | SO3S2– | Тиосульфат |
| H2CO3 | Угольная | CO32– | Карбонат |
| HF | Фтороводород (Плавиковая кислота) | F– | Фторид |
| HCl | Хлороводород (Соляная кислота) | Cl– | Хлорид |
| H2CrO4 | Хромовая | CrO42– | Хромат |
| HClO2 | Хлористая | ClO2– | Хлорит |
| HClO4 | Хлорная | ClO4– | Перхлорат |
| HClO3 | Хлорноватая | ClO3– | Хлорат |
| HClO | Хлорноватистая | ClO– | Гипохлорит |
| HCN | Циановодород (Синильная кислота) | CN— | Цианид |
| H2C2O4 | Этандиовая (Щавелевая кислота) | C2O42– | Оксалат |
| CH3COOH | Этановая (Уксусная кислота) | CH3COO– | Ацетат |
| C4H6O5 | Яблочная (Оксиянтарная, Гидроксибутандиовая кислота) | C4H4O52– | Малат |
Коэффициент востребованности
19 873
В 3:45 поступил вопрос в раздел Разное, который вызвал затруднения у обучающегося.
Вопрос вызвавший трудности
Найдите число молекул рибозы и остатков фосфорной кислоты в молекуле иРНК ,в которой урацила 80,гуанина 280, цитозина 280, аденина 80
Ответ подготовленный экспертами Учись.Ru
Для того чтобы дать полноценный ответ, был привлечен специалист, который хорошо разбирается требуемой тематике «Разное». Ваш вопрос звучал следующим образом:
Найдите число молекул рибозы и остатков фосфорной кислоты в молекуле иРНК ,в которой урацила 80,гуанина 280, цитозина 280, аденина 80
После проведенного совещания с другими специалистами нашего сервиса, мы склонны полагать, что правильный ответ на заданный вами вопрос будет звучать следующим образом:
Всего нуклеиновых оснований — 720. Значит:
Молекул рибозы — 720
Остатков фосфорной кислоты — 720
НЕСКОЛЬКО СЛОВ ОБ АВТОРЕ ЭТОГО ОТВЕТА:
Работы, которые я готовлю для студентов, преподаватели всегда оценивают на отлично. Я занимаюсь написанием студенческих работ уже более 4-х лет. За это время, мне еще ни разу не возвращали выполненную работу на доработку! Если вы желаете заказать у меня помощь оставьте заявку на этом сайте. Ознакомиться с отзывами моих клиентов можно на этой странице.
Киселёва Лали Дамировна — автор студенческих работ, заработанная сумма за прошлый месяц 54 269 рублей. Её работа началась с того, что она просто откликнулась на эту вакансию
51 минуту назад, ulito4ka сказал:
Всем привет. Объясните, пожалуйста, что же такое остаток фосфорной кислоты? На уроках по химии нам говорили, что это PO4(3-), а на биологии при разборе строения молекул говорят, что остаток фосфорной кислоты это H2PO3(-). Кому верить?
Вот ФОСФОРНАЯ КИСЛОТА:
O=P(O-H)(O-H)(O-H)
Возможных «остатков» три: ДИГИДРОФОСФАТ O=P(O-H)(O-H)(O-)(1-), ГИДРОФОСФАТ O=P(O-H)(O-)(O-)(2-) и ФОСФАТ O=P(O-)(O-)(O-)(3-)
===================
Вот ФОСФОРИСТАЯ(ФОСФОНОВАЯ) КИСЛОТА:
O=PH(O-H)(O-H)
Возможных «остатков» два: ГИДРОФОСФОНАТ(ГИДРОФОСФИТ) O=PH(OH)(O-)(1-) и ФОСФОНАТ(ФОСФИТ) O=PH(O-)(O-)(2-)…
https://ru.wikipedia.org/wiki/Фосфористая_кислота
https://ru.wikipedia.org/wiki/Ортофосфорная_кислота
Изменено 21 Октября, 2021 в 05:14 пользователем Xem
11.4.
Нуклеиновые кислоты
Нуклеиновые
кислоты — это природные высокомолекулярные соединения (полинуклеотиды), которые
играют огромную роль в хранении и передаче наследственной информации в живых
организмах.
Молекулярная масса нуклеиновых
кислот может меняться от сотен тысяч до десятков миллиардов. Они были открыты и
выделены из клеточных ядер еще в XIX в., однако их биологическая роль была
выяснена только во второй половине XX в.
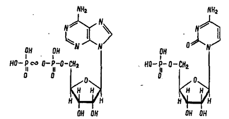
В состав нуклеотида — структурного звена
нуклеиновых кислот — входят три составные части:
1) азотистое основание — пиримидиновое или
пуриновое
Пиримидиновые основания – производные пиримидина,
входящие в состав нуклеиновых кислот: урацил, тимин, цитозин.
Для оснований, содержащих группу
–ОН, характерно подвижное равновесие структурных изомеров, обусловленное
переносом протона от кислорода к азоту и наоборот:
Пуриновые основания — производные пурина, входящие
в состав нуклеиновых кислот: аденин, гуанин.
Гуанин существует в виде двух структурных изомеров:
2) моносахарид
Рибоза и 2-дезоксирибоза относятся к моносахаридам,
содержащим пять углеродных атомов. В состав нуклеиновых кислот они входят в
циклических β-формах:
3) остаток фосфорной кислоты
В зависимости от того, какой
моносахарид содержится в структурном звене полинуклеотида — рибоза или 2-дезоксирибоза,
различают:
· рибонуклеиновые
кислоты (РНК) и
· дезоксирибонуклеиновые
кислоты (ДНК)
В главную (сахарофосфатную) цепь РНК
входят остатки рибозы, а в ДНК– 2-дезоксирибозы.
Нуклеотидные звенья макромолекул ДНК могут содержать аденин, гуанин,
цитозин итимин. Состав РНК отличается тем, что вместо тимина присутствует урацил.
Молекулярная масса ДНК достигает
десятков миллионов а.е.м. Это самые длинные из известных макромолекул.
Значительно меньше молекулярная масса РНК (от нескольких сотен до десятков
тысяч). ДНК содержатся в основном в ядрах клеток, РНК – в рибосомах и протоплазме
клеток.
При описании строения нуклеиновых
кислот учитывают различные уровни организации макромолекул: первичную и вторичную структуру.
· Первичная
структура нуклеиновых кислот
– это нуклеотидный состав и определенная последовательность нуклеотидных
звеньев в полимерной цепи.
Например:
В сокращённом однобуквенном
обозначении эта структура записывается как
…– А – Г – Ц –…
· Под вторичной
структурой нуклеиновых кислот понимают пространственно упорядоченные
формы полинуклеотидных цепей.
Вторичная структура ДНК представляет собой две параллельные неразветвленные
полинуклеотидные цепи, закрученные вокруг общей оси в двойную спираль.
Такая пространственная структура
удерживается множеством водородных связей, образуемых азотистыми основаниями,
направленными внутрь спирали.
Водородные связи возникают между
пуриновым основанием одной цепи и пиримидиновым основанием другой цепи. Эти
основания составляют комплементарные пары (от лат. complementum —
дополнение).
Образование водородных связей между
комплементарными парами оснований обусловлено их пространственным
соответствием.
Пиримидиновое основание комплементарно пуриновому основанию:
Водородные связи между другими
парами оснований не позволяют им разместиться в структуре двойной спирали.
Таким образом,
· ТИМИН (Т)
комплементарен АДЕНИНУ
(А),
· ЦИТОЗИН (Ц) комплементарен
ГУАНИНУ (Г).
Комплементарность оснований
определяет комплементарность цепей в молекулах ДНК.
Комплементарность полинуклеотидных
цепей служит химической основой главной функции ДНК – хранения и передачи
наследственных признаков.
Способность ДНК не только хранить,
но и использовать генетическую информацию определяется следующими ее свойствами:
· молекулы
ДНК способны к репликации (удвоению), т.е. могут обеспечить возможность синтеза
других молекул ДНК, идентичных исходным, поскольку последовательность оснований
в одной из цепей двойной спирали контролирует их расположение в другой цепи.
· молекулы
ДНК могут направлять совершенно точным и определенным образом синтез белков,
специфичных для организмов данного вида.
В отличие от ДНК, молекулы РНК
состоят из одной полинуклеотидной цепи и не имеют строго определенной
пространственной формы (вторичная структура РНК зависит от их биологических
функций).
Основная роль РНК – непосредственное
участие в биосинтезе белка.
Известны три вида клеточных РНК,
которые отличаются по местоположению в клетке, составу, размерам и свойствам,
определяющим их специфическую роль в образовании белковых макромолекул:
· информационные
(матричные) РНК передают закодированную в ДНК информацию о структуре белка от
ядра клетки к рибосомам, где и осуществляется синтез белка;
· транспортные
РНК собирают аминокислоты в цитоплазме клетки и переносят их в рибосому;
молекулы РНК этого типа «узнают» по
соответствующим участкам цепи информационной РНК, какие аминокислоты должны
участвовать в синтезе белка;
· рибосомные
РНК обеспечивают синтез белка определенного строения, считывая информацию с
информационной (матричной) РНК.
Третичная структура ДНК
ДНК имеют формы: линейная, кольцевая, 2-х и 1- цепочечная.
Двуцепочечные ДНК с «липкими» концами могут образовывать кольцо, которое
далее ковалентно сшивается по сахарофосфатной цепи при помощи ДНК-лигазы.
Третичная структура ДНК у эукариотических клеток отличается тем, что
многократная спирализация ДНК сопровождается образованием комплексов с белками.
46 хромосом (хроматид) человека организованы в 23 пары. Средняя длина
хромосомы составляет 130 млн. пар оснований (п. о.) и имеет длину
5 см. Хромосома № 1 – 263 млн. п. о., хромосома № 46 –
меньше 50 млн. п. о. Если проложить все ДНК в В-конформации в
линию, то их общая длина превысит 2 метра. Человеческая хромосома 16 имеет
2,5 мкм в длину, а длина самой ДНК – 3,7 см.
Понятно, что уместить такой длины ДНК в ядре возможно только путем ее
определенной упаковки. При образовании третичной структуры ДНК человека
происходит в среднем уменьшение ее размеров в 100 тысяч раз.
|
Материал хромосом – хроматин – содержит, кроме самой ДНК, также гистоны, ГИСТОН – простой белок (примерно Н1 очень богат ЛИЗ; Н2а, Н2b – умеренное количество |
Хроматосомы
образуются на двунитевой спирали ДНК на дистанциях (называемых линкерами) от 20
до 90 пар нуклеотидов и напоминают нанизанные на нитку бусины. Следующий этап –
сворачивание в спираль очень длинной последовательности «бус». Эта спираль, в
свою очередь, претерпевает сворачивание в двужильные канаты, из которых
образуются гроздья, являющиеся небольшой частью хромосомы:
Физико-химические свойства ДНК
Молекулярная масса ДНК определяется рядом методов, в том числе:
а) ультрацентрифугированием в градиенте CsCl (ММ от 200 000 до 109);
б) по вязкости растворов (для НК с ММ > 109,
поскольку при центрифугировании такие длинные молекулы разрываются под
действием собственного веса).
Денатурация ДНК заключается в
разрыве Н-связей и стэкинг-взаимодействий, что приводит к расплетанию и
разделению цепей (без разрыва ковалентных связей) под действием температуры или
рН.
О степени денатурации судят по изменению интенсивности поглощения в
ультрафиолете при l = 260 nm, поскольку дезэкранирование
азотистых оснований в результате расплетания цепей устраняется, что вызывает
увеличение степени поглощения раствором ДНК ультрафиолета указанной длины
волны:
Денатурацию иначе называют плавлением, а температура плавления
соответствует моменту 50%-ной денатурации молекулы. Температура плавления
различается у разных ДНК.
Комплементарные цепи ДНК, разделенные при денатурации, при определенных
условиях могут вновь соединиться в двойную спираль. Этот процесс называется ренатурацией. Если денатурация
произошла не полностью, и хотя бы несколько оснований не утратили
взаимодействия водородными связями, ренатурация протекает очень быстро.
Ренатурация возможна даже при полностью разделенных цепях. В таком случае
ренатурация требует точного совмещения цепей ДНК, которое может привести к
реассоциации, и этот процесс медленный, к тому же зависит от концентрации цепей
в растворе.
Химическая структура и биологическая роль АТФ
(аденозинтрифосфорной
кислоты)
Роль нуклеотидов
в организмах не ограничивается тем, что они являются мономерами нуклеиновых
кислот.
Например,
молекула аденозинтрифосфорной кислоты (АТФ) содержит остатки аденина, рибозы и
фосфорной кислоты, т.е. по своему составу также является нуклеотидом.
Существенное отличие АТФ от нуклеотида нуклеиновых кислот состоит в том, что
вместо одного остатка фосфорной кислоты в АТФ содержится три таких остатка:
При окислении
белков, углеводов и жиров, поступающих в организм с пищей, выделяется энергия,
которая аккумулируется в АТФ, т.е. накапливается в процессе превращения
аденозинмонофосфорной кислоты (АМФ) и аденозиндифосфоной кислоты (АДФ) в АТФ:
За счет обратной
реакции (гидролиза АТФ)
АТФ + Н2О
→ АДФ + Н3РО4 + 40 кДж/ моль
запасенная в
макроэргических связях энергия выделяется и используется живыми организмами на
энергетические процессы: сокращение мышц, биосинтез белка, поддержание
температуры тела у теплокровных животных и т.д.
Таким образом,
АТФ играет центральную роль в энергетическом обмене клетки.
УПРАЖНЕНИЯ
1.
Какова
роль ДНК и РНК в биохимических процессах, протекающих в организме человека?
Какова роль нуклеиновых кислот в регулировке механизма наследственности?
Решение:
Нуклеиновые
кислоты – важнейшие компоненты всех живых клеток. Эти вещества регулируют
передачу наследственных признаков в ряду поколений. Им принадлежит ведущая роль
в процессе биосинтеза белков. ДНК несет в себе генетическую информацию, РНК
служит для временного хранения, переноса информации.
__________________________________________________________________
2.
В
состав каких вам известных нуклеиновых кислот входят радикалы следующих
веществ:
Решение:
Первое из
веществ – рибоза, второе – дезоксирибоза, третье – аденин. Рибоза входит в
состав РНК, дезоксирибоза – в состав ДНК. Аденин входит в состав как РНК, так и
ДНК.
__________________________________________________________________
3.
Охарактеризуйте
строение нуклеотидов и отдельных звеньев РНК и ДНК.
Решение:
Нуклеотиды состоят из остатка фосфорной кислоты и
нуклеозида, нуклеозид состоит из азотистого основания и дезоксирибозы или
рибозы. Образуют полимерную цепь. Схематически это можно показать так:
РНК – нуклеиновые кислоты, содержащие остатки рибозы.
ДНК – нуклеиновые кислоты, содержащие остатки дезоксирибозы.
______________________________________________________________
ЗАДАНИЯ
ДЛЯ САМОСТОЯТЕЛЬНОГО РЕШЕНИЯ
1. Напишите
структурные формулы родоначальных соединений: пурина и пиримидина.
2. Какие
соединения образуются в результате полного гидролиза РНК?
3. Какие
соединения образуются в результате полного гидролиза ДНК?
4. Что
такое азотистые основания нуклеиновых кислот? Сколько их всего существует?
5. Что
такое нуклеозиды и как они образуются?
6. Что
такое нуклеотиды?
7. Что
такое комплементарные пары азотистых оснований.
8. Что
такое АТФ и какова ее роль в живом организме.
9. Напишите
уравнения реакций взаимодействия: а) тимина с дезоксирибозой; б) урацила с рибозой и ортофосфорной
кислотой; в) гуанина с рибозой.
Назовите образовавшиеся нуклеозиды и нуклеотид.
10. Назовите
следующие вещества:
|
1. Какой сахар входит в |
|
|
а) триозы |
б) тетрозы |
|
в) пентозы |
г) гексозы |
|
2. Закономерность соотношения |
|
|
а) правило Ньюиса |
б) правило Чаргаффа |
|
в) правило Геккеля |
г) правило Уотсона |
|
3. Аденин с Тимином в двухцепочечной |
|
|
а) одной водородной связью |
б) двумя водородными связями |
|
в) тремя водородными |
г) четырьмя водородными связями |
|
4. Какие связи образуются между |
|
|
а) две пептидные |
б) три ионные |
|
в) три водородные |
г) одна пептидная |
|
5. Сколько полинуклеотидных нитей |
|
|
а) одна |
б) две |
|
в) три |
г) четыре |
|
6. К пиримидиновым азотистым |
|
|
а) аденин и тимин |
б) урацил и цитозин |
|
в) аденин и гуанин |
г) цитозин и тимин |
|
7. ДНК в клетках присутствует в: |
|
|
а) только в ядре |
б) в рибосомах |
|
в) в комплексе Гольджи и в цитоплазме |
г) в ядре, пластидах и митохондриях |
|
8. Азотистые основания, производные |
|
|
а) аденин и тимин |
б) тимин и цитоцин |
|
в) аденин и гуанин |
г) урацил |
|
9. Сколько пар нуклеотидов |
|
|
а) 3 пары нуклеотидов |
б) 6 пар нуклеотидов |
|
в) 10 пар нуклеотидов |
г) 12 пар нуклеотидов |
|
10. Нуклеиновые кислоты |
|
|
а) Н.И.Вавиловым |
б) Ф. Мишером |
|
в) Т. Морганом |
г) С.Четвериковым |
Ответы:
|
1 |
в |
|
2 |
б |
|
3 |
б |
|
4 |
в |
|
5 |
г |
|
6 |
г |
|
7 |
г |
|
8 |
в |
|
9 |
в |
|
10 |
б |
Остатки — фосфорная кислота
Cтраница 1
Остатки фосфорной кислоты в молекуле АТФ обладают различной активностью. При отщеплении третьего или второго остатка выделяется около 12 ккал тепла на каждую грамм-молекулу освобожденного фосфата.
[1]
Остатки фосфорной кислоты, образующиеся в результате расщепления ТХМ-3 и его аналогов, применяемыми методами определить нельзя, так как они водорастворимы. Кроме того, такой активный остаток быстро вступает в реакции обмена веществ в организме и вряд ли может быть выделен в чистом виде из биологического объекта.
[2]
Наличие остатков фосфорной кислоты у нуклеотидов и олиго-нуклеотидов диктует использование для их фракционирования анионообменников. При щелочных значениях рЫ элюента во фракционировании участвуют и отрицательные заряды урацила ( тимина) и гуанина. Для уменьшения объема элюции имеет смысл снизить уровень гидрофобного взаимодействия оснований с полисти-рольным обменником путем введения в элюент 20 — 40 % этанола.
[3]
Перенос остатков фосфорной кислоты ( Ф) с образованием АТФ происходит самопроизвольно.
[4]
Эти необычные полимеры, содержащие остатки фосфорной кислоты, составляют до 50 % сухой массы клеточных стенок некоторых грамположительных бактерий. Они являются также мембранными и внутриклеточными компонентами бактерий. Тейхоевые кислоты прочно закреплены в клеточной стенке, и для их экстракции необходим такой реагент, как трихлоруксусная кислота. Известны тейхоевые кислоты двух типов, один из которых содержит цепи из остатков D-глицерина, связанных фосфодиэфирными связями; второй тип вместо D-глицерина содержит D-рибит. Рибит-тейхоевые кислоты содержат углеводные остатки, присоединенные гликоэидной связью; в глицеринтейхоевых кислотах углеводные остатки имеются лишь в некоторых случаях.
[5]
Их цепи построены из остатков фосфорной кислоты и углеводов рибозы и дезоксирибозы.
[6]
Их цепи построены нз остатков фосфорной кислоты и углеводов рибозы и дезоксирибозы.
[7]
В молекулах нуклеотиддифосфатов и нуклеотидтрифосфатов остатки фосфорной кислоты соединены ангидридной связью, обладающей большим запасом потенциальной энергии. Такие связи называют макроэргическими. Макро-эргические рибонуклеотидтрифосфаты и дезоксирибонуклетидтрифосфаты являются исходными субстратами для синтеза РНК и ДНК.
[8]
Значительные молекулярные размеры и многочисленные отрицательно заряженные остатки фосфорной кислоты заставляют использовать для хроматографии нуклеотидов и ПК крупнопористые слабые анионообменники.
[10]
Совершенно неизученными являются ионитовые пленки, содержащие остатки фосфорной кислоты.
[11]
Фосфор подобно азоту входит в виде остатков фосфорной кислоты в состав важнейших компонентов клеточного вещества — рибонуклеиновой и дезоксирибонуклеи-новой кислот хромосом и цитоплазмы.
[12]
Фосфорилазы — ферменты, катализирующие присоединение остатков фосфорной кислоты к гликозидным или аналогичным связям.
[13]
Аденозинфосфаты выполняют в организме роль передатчиков остатков фосфорной кислоты; этот процесс одновременно сопровождается и перенесением энергии.
[14]
В молекулах аденозилдифосфата и аденозилтрифосфата ангидридная связь остатков фосфорной кислоты чрезвычайно богата энергией. При гидролитическом расщеплении этих макроэрги-чески х связей энергия освобождается. Если простая сложно-эфирная связь содержит запас энергии в 2000 — 3000 калорий, то макроэргические связи содержат около 10000 — 16000 калорий.
[15]
Страницы:
1
2
3
4



















