Иррациональные неравенства
Привет!
Говоря об иррациональности, может показаться, что сложнее иррациональных уравнений есть лишь одна вещь — иррациональные неравенства.
И сейчас ты поймешь, что это не так!
Если ты хорошо разобрался в предыдущих темах (я скажу, в каких в начале статьи), то иррациональные уравнения покажутся тебе легкими.
Мы рассмотрим все виды неравенств и разберем различные примеры, так, чтобы ты смог решить любое иррациональное неравенство.
Иррациональные неравенства — коротко о главном
Определение
Иррациональное неравенство – это неравенство, содержащее переменную под корнем
Неравенства вида ( sqrt{A}ge sqrt{B})
( sqrt{A}ge sqrt{B}text{ }Leftrightarrow text{ }left{ begin{array}{l}Age B\Bge 0end{array} right.)
или
( sqrt{A}>sqrt{B}text{ }Leftrightarrow text{ }left{ begin{array}{l}A>B\Bge 0end{array} right.)
Неравенства вида ( Asqrt{B}>0) или ( Asqrt{B}<0)
( Asqrt{B}>0text{ }Leftrightarrow text{ }left{ begin{array}{l}B>0\A>0end{array} right.)
или
( Asqrt{B}<0text{ }Leftrightarrow text{ }left{ begin{array}{l}B>0\A<0end{array} right.)
Неравенства вида ( Asqrt{B}ge 0)
( Asqrt{B}ge 0text{ }Leftrightarrow text{ }left[ begin{array}{l}B=0\left{ begin{array}{l}Age 0\Bge 0end{array} right.end{array} right.)
или
( Asqrt{B}le 0text{ }Leftrightarrow text{ }left[ begin{array}{l}B=0\left{ begin{array}{l}Ale 0\Bge 0end{array} right.end{array} right.)
Неравенства вида ( sqrt{A}ge B)
( sqrt{A}ge Btext{ }Leftrightarrow text{ }left[ begin{array}{l}left{ begin{array}{l}Ble 0\Age 0end{array} right.\left{ begin{array}{l}B>0\Age {{B}^{2}}end{array} right.end{array} right.)
или
( sqrt{A}>Btext{ }Leftrightarrow text{ }left[ begin{array}{l}left{ begin{array}{l}B<0\Age 0end{array} right.\left{ begin{array}{l}Bge 0\A>{{B}^{2}}end{array} right.end{array} right.)
Неравенства вида ( sqrt{A}le B)
( sqrt{A}le Btext{ }Leftrightarrow text{ }left{ begin{array}{l}Age 0\Bge 0\Ale {{B}^{2}}end{array} right.)
или
( sqrt{A}<Btext{ }Leftrightarrow text{ }left{ begin{array}{l}Age 0\B>0\A<{{B}^{2}}end{array} right.)
Корни четной степени
Например:
( displaystyle sqrt[4]{A}le Btext{ }Leftrightarrow text{ }left{ begin{array}{l}Ale {{B}^{4}}\Bge 0\Age 0end{array} right.)
Корни нечетной степени
Корень нечетной степени можно извлекать из любого числа!
( displaystyle begin{array}{l}sqrt[3]{A}>Btext{ }Leftrightarrow text{ }A>{{B}^{3}}\sqrt[5]{A}<Btext{ }Leftrightarrow text{ }A<{{B}^{5}},end{array}) и т.д.
ОДЗ (Область допустимых значений)
Помнишь, что такое ОДЗ?
ОДЗ (область допустимых значений) неравенства или неравенств – это множество значений переменной, при которых обе части данного неравенства (или неравенств) имеют смысл.
Например, в уравнении ( sqrt{x+2}=3) присутствует квадратный корень. А квадратный корень не имеет смысла, если подкоренное выражение отрицательно.
То есть, в данном случае ОДЗ – это решения неравенства ( x+2ge 0).
Нет необходимости искать ОДЗ в каждой задаче, содержащей корень.
Взять, например, такую задачу:
( sqrt{{{x}^{2}}+3x}>2).
При возведении в квадрат получаем ( {{x}^{2}}+3x>4), то есть подкоренное выражение автоматически неотрицательно! Так зачем лишняя писанина?
Но в некоторых случаях это может быть очень полезно. Более того, иногда можно решить пример, просто найдя ОДЗ. Например:
( sqrt{2{x}-6}>-2).
Но ведь мы помним, что квадратный корень всегда неотрицателен. Поэтому он всегда будет больше ( -2). Значит, решением задачи будет ОДЗ:
( 2{x}-6ge 0text{ }Leftrightarrow text{ }xge 3).
Ответ: ( left[ 3;+infty right)).
Пять видов неравенств и способы их решений
Первый вид неравенств
( sqrt{A}ge sqrt{B})
Естественно, знак неравенства может быть и нестрогим.
Здесь и далее большими буквами ( A), ( B), ( C) и т.д. я буду обозначать не переменные или параметры, а целые выражения, содержащие переменную.
Так, общая запись ( sqrt{A}>sqrt{B}) соответствует, например, уравнению ( sqrt{{{x}^{2}}-{x}-2}>sqrt{{x}-1}).
Здесь ( A={{x}^{2}}-{x}-2) и ( B={x}-1).
Как решить такое неравенство?
Для начала вспомним, что функция ( fleft( x right)=sqrt{x}) – монотонна, то есть, чем больше подкоренное выражение, тем больше сам корень.
Поэтому из двух корней больше тот, у которого подкоренное выражение больше.
Но недаром мы недавно вспоминали про ОДЗ. Есть ли какие-нибудь ограничения в этом неравенстве?
Действительно, чтобы неравенство имело смысл, необходимо, чтобы оба подкоренных выражения были неотрицательны:
( left{ begin{array}{l}Age 0\Bge 0end{array} right.)
Но поскольку первое выражение больше второго, достаточно потребовать неотрицательности только второго:
( sqrt{A}ge sqrt{B}text{ }Leftrightarrow text{ }left{ begin{array}{l}Age B\Bge 0end{array} right.)
или
( sqrt{A}>sqrt{B}text{ }Leftrightarrow text{ }left{ begin{array}{l}A>B\Bge 0end{array} right.)
Три примера на закрепление материала:
Пример №1. ( sqrt{{{x}^{2}}-{x}+2}>sqrt{{x}+1})
Пример №2. ( sqrt{2{{x}^{2}}-6{x}-17}ge sqrt{{x}-2})
Пример №3. ( sqrt{2{{x}^{2}}-x-6}le sqrt{3{{x}^{2}}-{8x}})
Решение примера №1
Применим только что выученное правило:
( displaystyle sqrt{{{x}^{2}}-x+2}>sqrt{x+1}text{ }Leftrightarrow text{ }left{ begin{array}{l}{{x}^{2}}-x+2>x+1\x+1ge 0end{array} right.text{ }Leftrightarrow text{ }left{ begin{array}{l}{{x}^{2}}-2x+1>0\xge -1end{array} right.Leftrightarrow )
( displaystyle Leftrightarrow text{ }left{ begin{array}{l}{{left( {x}-1 right)}^{2}}>0\xge -1end{array} right.text{ }Leftrightarrow left{ begin{array}{l}xne 1\xge -1end{array} right.text{ }Leftrightarrow text{ }xin left[ -1;1 right)cup left( 1;+infty right)).
Решение примера №2
( displaystyle sqrt{2{{x}^{2}}-6{x}-17}ge sqrt{{x}-2}text{ }Leftrightarrow text{ }left{ begin{array}{l}2{{x}^{2}}-6{x}-17ge {x}-2\{x}-2ge 0end{array} right. Leftrightarrow )
Решение примера №3
( displaystyle sqrt{2{{x}^{2}}-{x}-6}le sqrt{3{{x}^{2}}-8x}text{ }Leftrightarrow text{ }left{ begin{array}{l}3{{x}^{2}}-8xge 2{{x}^{2}}-{x}-6\2{{x}^{2}}-{x}-6ge 0end{array} right.text{ }Leftrightarrow )
( displaystyle Leftrightarrow text{ }left{ begin{array}{l}left( {x}-6 right)left( {x}-1 right)ge 0\2left( {x}-2 right)left( x+frac{3}{2} right)ge 0end{array} right.).
Далее поставим знаки…
Второй вид неравенств
( Asqrt{B}>0) или ( Asqrt{B}<0)
Корень всегда принимает неотрицательные значения, поэтому, он влияет на это неравенство, только если равен нулю. То есть нужно ограничить корень, чтобы он не был равен нулю, а в остальном – дело за выражением ( A).
И не забываем про ОДЗ, подкоренное выражение неотрицательно. А если оно неотрицательно, и при этом не должно быть равно нулю, то оно строго болше нуля:
( Asqrt{B}>0text{ }Leftrightarrow text{ }left{ begin{array}{l}B>0\A>0end{array} right.)
или
( Asqrt{B}<0text{ }Leftrightarrow text{ }left{ begin{array}{l}B>0\A<0end{array} right.)
Три примера на закрепление материала
Пример №1. ( xsqrt{x+5}>0)
Пример №2. ( ({{x}^{2}}-{x}-2)cdot sqrt{{x}-2}<0)
Пример №3. ( ({{x}^{2}}-9)sqrt{{{x}^{2}}-4}>0)
Решение примера №1
( xsqrt{x+5}>0)
( left{ begin{array}{l}x+5>0\x>0end{array} right. Rightarrow left{ begin{array}{l}x>-5\x>0end{array} right.Rightarrow x>0).
Решение примера №2
( ({{x}^{2}}-{x}-2)cdot sqrt{{x}-2}<0)
Решение примера №3
( ({{x}^{2}}-9)sqrt{{{x}^{2}}-4}>0)
Третий вид неравенств
( Asqrt{B}ge 0)
В случае нестрогого неравенства условие, что подкоренное выражение не равно нулю теперь лишнее. Но это только добавило нам проблем, ведь при этом выражение ( displaystyle A) может быть любым. Значит, надо отдельно рассмотреть случай, когда корень равен нулю:
( Asqrt{B}ge 0text{ }Leftrightarrow text{ }left[ begin{array}{l}B=0\left{ begin{array}{l}Age 0\Bge 0end{array} right.end{array} right.)
или
( Asqrt{B}le 0text{ }Leftrightarrow text{ }left[ begin{array}{l}B=0\left{ begin{array}{l}Ale 0\Bge 0end{array} right.end{array} right.)
Три примера на закрепление материала
Пример №1. ( xsqrt{{x}-1}ge 0)
Пример №2. ( left( {{x}^{2}}-4 right)sqrt{x+1}le 0)
Пример №3. ( left( {{x}^{2}}-3{x}-4 right)sqrt{x+1}>0)
Решение примера №1
( xsqrt{{x}-1}ge 0text{ }Leftrightarrow text{ }left[ begin{array}{l}{x}-1=0\left{ begin{array}{l}xge 0\{x}-1ge 0end{array} right.end{array} right.text{ }Leftrightarrow text{ }left[ begin{array}{l}x=1\xge 1end{array} right.text{ }Leftrightarrow text{ }xge 1.).
Решение примера №2
( displaystyle left( {{x}^{2}}-4 right)sqrt{x+1}le 0text{ }Leftrightarrow text{ })
Решение примера №3
( displaystyle left( {{x}^{2}}-3{x}-4 right)sqrt{x+1}>0text{ }Leftrightarrow text{ })
Четвертый вид неравенств
( sqrt{A}le B)
Здесь все немного проще: поскольку корень неотрицателен, то и правая часть этого неравенства должна быть неотрицательной:
( sqrt{A}le Btext{ }Leftrightarrow text{ }left{ begin{array}{l}Age 0\Bge 0\Ale {{B}^{2}}end{array} right.) или ( sqrt{A}<Btext{ }Leftrightarrow text{ }left{ begin{array}{l}Age 0\B>0\A<{{B}^{2}}end{array} right.).
Три примера на закрепление материала
Пример №1. ( sqrt{15-2x}le x)
Пример №2. ( x+3>sqrt{4x})
Пример №3. ( sqrt{x+7}+3x<4{x}-5)
Решение примера №1
( sqrt{15-2x}le x)
( left{ begin{array}{l}15-2x ge 0\xge 0\15-2xle {{x}^{2}}end{array} right.Rightarrow left{ begin{array}{l}x le 7,5\xge 0\{{x}^{2}}+2{x}-15ge 0end{array} right.Rightarrow left{ begin{array}{l}x le 7,5\xge 0\({x}-3)cdot ({x}+5)ge 0end{array} right.Rightarrow )
( left{ begin{array}{l}x le 7,5\xge 0\xin (-infty ;left. -5 right]cup left[ 3 right.;+infty )end{array} right.Rightarrow xin left[ 3; right.left. 7,5 right]).
Решение примера №2
( x+3>sqrt{4x})
Решение примера №3
( sqrt{x+7}+3x<4{x}-5)
Пятый вид неравенств
( sqrt{A}ge B)
Рассмотрим пример:
( sqrt{x+2}ge x)
Тут возможны два варианта. Если ( xle 0), неравенство выполнится при всех допустимых ( x), ведь корень неотрицателен, значит, он автоматически больше (или равен) неположительного числа:
( left{ begin{array}{l}xle 0\x+2ge 0end{array} right.)
Если же правая часть положительна (( x>0)), имеем право возводить в квадрат:
( x+2ge {{x}^{2}}).
ОДЗ, как видим, здесь учтено автоматически. Итак, собираем все в кучу:
( left[ begin{array}{l}left{ begin{array}{l}xle 0\x+2ge 0end{array} right.\left{ begin{array}{l}x>0\x+2ge {{x}^{2}}end{array} right.end{array} right.)
Запомни, прежде чем возводить в квадрат, нужно убедиться, что обе части неравенства неотрицательны! Тоже своего рода ОДЗ.
Итак, правило в общем виде:
( sqrt{A}ge Btext{ }Leftrightarrow text{ }left[ begin{array}{l}left{ begin{array}{l}Ble 0\Age 0end{array} right.\left{ begin{array}{l}B>0\Age {{B}^{2}}end{array} right.end{array} right.)
А как будет выглядеть это правило, если неравенство строгое? Вот так:
( sqrt{A}>Btext{ }Leftrightarrow text{ }left[ begin{array}{l}left{ begin{array}{l}B<0\Age 0end{array} right.\left{ begin{array}{l}Bge 0\A>{{B}^{2}}end{array} right.end{array} right.)
Подумай сам, почему именно так.
Три примера на закрепление материала
Пример №1. ( sqrt{4x+1}ge {x}-1)
Пример №2. ( sqrt{2{x}-1}-sqrt{x+2}<1)
Пример №3. ( displaystyle 3sqrt{6+2{x}-4{{x}^{2}}}+2>8x)
Решение примера №1
( displaystyle sqrt{4x+1}ge {x}-1text{ }Leftrightarrow )
( displaystyle Leftrightarrow left[ begin{array}{l}left{ begin{array}{l}{x}-1le 0\4x+1ge 0end{array} right.\left{ begin{array}{l}4x+1ge {{x}^{2}}-2x+1\{x}-1>0end{array} right.end{array} right.text{ }Leftrightarrow left[ begin{array}{l}-frac{1}{4}le xle 1\left{ begin{array}{l}xleft( {x}-6 right)le 0\x>1end{array} right.end{array} right.text{ }Leftrightarrow )
( displaystyle Leftrightarrow left[ begin{array}{l}-frac{1}{4}le xle 1\left{ begin{array}{l}0le xle 6\x>1end{array} right.end{array} right.text{ }Leftrightarrow text{ }xin left[ -frac{1}{4};6 right]text{.}).
Решение примера №2
( sqrt{2{x}-1}-sqrt{x+2}<1text{ }Leftrightarrow text{ }sqrt{2{x}-1}<1+sqrt{x+2})
Теперь обе части неравенства неотрицательны, значит, можно возвести их в квадрат (не забыв также, что подкоренное выражение в левой части должно быть неотрицательным):
Решение примера №3
( displaystyle 3sqrt{6+2{x}-4{{x}^{2}}}+2>8x)
Корни степени больше 2
Если же корень в неравенстве не квадратный, важна четность его степени.
Корни чётной степени
Корни ( 2), ( 4), ( 6) и т.д. степеней очень похожи друг на друга, и принцип решения уравнений с ними абсолютно одинаковый. Дело в том, что корень четной степени можно всегда привести к квадратному (вспоминаем тему «Корень и его свойства»!):
( sqrt[4]{x}=sqrt{sqrt{x}};text{ }sqrt[6]{x}=sqrt{sqrt[3]{x}};text{ }sqrt[2k]{x}=sqrt{sqrt[k]{x}})
Например:
( displaystyle sqrt[4]{A}le Btext{ }Leftrightarrow text{ }left{ begin{array}{l}Ale {{B}^{4}}\Bge 0\Age 0end{array} right.).
Корни нечётной степени
С нечетными степенями (( 3), ( 5), …) все намного проще!
Дело в том, что корень нечетной степени можно извлекать из любого числа! (И снова, если ты этого не знал, вспомни тему «Корень и его свойства»!)
Что это значит?
Теперь никаких дополнительных условий, никаких ограничений – просто возводим все в нужную степень и решаем:
( displaystyle begin{array}{l}sqrt[3]{A}>Btext{ }Leftrightarrow text{ }A>{{B}^{3}}\sqrt[5]{A}<Btext{ }Leftrightarrow text{ }A<{{B}^{5}},end{array}) и т.д.
Три примера на закрепление материала
Пример №1. ( displaystyle sqrt[5]{2-x}>-2)
Пример №2. ( displaystyle sqrt[3]{{{x}^{3}}+3x+5}ge x)
Пример №3. ( displaystyle sqrt[3]{{{x}^{2}}-{x}-7}<sqrt[3]{1-x})
( displaystyle sqrt[5]{2-x}>-2text{ }Leftrightarrow text{ }2-x>{{left( -2 right)}^{5}}text{ }Leftrightarrow text{ }2-x>-32text{ }Leftrightarrow text{ }x<34).
Решение примера №3
( displaystyle sqrt[3]{{{x}^{2}}-{x}-7}<sqrt[3]{1-x}text{ }Leftrightarrow text{ }{{x}^{2}}-{x}-7<1-xtext{ }Leftrightarrow )
Самые бюджетные курсы по подготовке к ЕГЭ на 90+
Алексей Шевчук — ведущий мини-групп
математика, информатика, физика
+7 (905) 541-39-06 — WhatsApp/Телеграм для записи
alexei.shevchuk@youclever.org — email для записи
- тысячи учеников, поступивших в лучшие ВУЗы страны
- автор понятного всем учебника по математике ЮКлэва (с сотнями благодарных отзывов);
- закончил МФТИ, преподавал на малом физтехе;
- репетиторский стаж — c 2003 года;
- в 2021 году сдал ЕГЭ (математика 100 баллов, физика 100 баллов, информатика 98 баллов — как обычно дурацкая ошибка:);
- отзыв на Профи.ру: «Рейтинг: 4,87 из 5. Очень хвалят. Такую отметку получают опытные специалисты с лучшими отзывами».
ВИДЕО УРОК
Под иррациональными неравенствами понимаются неравенства, в которых
неизвестные величины находятся под знаком корня (радикала).
При решении иррационального неравенства следует
сначала найти его ОДЗ, то есть все значения неизвестного, при которых
обе части неравенства определены (имеют смысл).
Обычный способ
решения таких неравенств заключается в сведении их к рациональным неравенствам
(не содержащих корней).
Так при этой операции может получиться неравенство,
неравносильное исходному неравенству, то следует установить, при каких
значениях неизвестного левая и правая части заданного неравенства принимают
положительные или отрицательные значения.
Освободиться от корней иногда удаётся путём возведения
обеих частей неравенства в степень.
При этом (в силу того что проверка
полученных решений подстановкой затруднена) необходимо следить за тем, чтобы
при преобразовании неравенств каждый раз получалось неравенство, равносильное
исходному неравенству.
Если обе части
неравенства принимают на некотором множестве
Х только неотрицательные
значения, то, возведя обе части неравенства в квадрат (или в любую чётную степень) и, сохранив знак исходного неравенства,
получим неравенство, равносильное данному (на множестве Х).
При решении иррациональных неравенств, следует помнить, что при возведении
обеих частей неравенства в нечётную степень всегда получается неравенство,
равносильное исходному неравенству.
ПРИМЕР:
Решите неравенство:
РЕШЕНИЕ:
Найдём область допустимых
значений исходного неравенства
x – 5 ˃ 0, х ∈ [5; +∞).
Обе части исходного неравенства
неотрицательны – можно возводить в квадрат:
x – 5 < 1, x – 6 < 0,
х ∈ (–∞; 6).
Найдём пересечение полученного множества с
областью допустимых значений исходного неравенства
ОТВЕТ: [5; 6)
ПРИМЕР:
Решите неравенство:
Найдём область допустимых
значений исходного неравенства
–х ≥ 0, х ∈ (–∞;0].
Так как по определению квадратный корень из
любого числа есть величина неотрицательная и
х = 0 не
является решением исходного неравенства, то, разделив обе части неравенства на
Получим неравенство,
эквивалентное исходному
x + 1 ˃ 0.
Решение этого неравенства
х ∈ (–1; +∞).
Найдём пересечение полученного множества с
областью допустимых значений исходного неравенства
х ∈ (–1; 0].
Учитывая, что х
= 0 не является
решением исходного неравенства, окончательно имеем
х ∈ (–1; 0).
ОТВЕТ: (–1; 0)
ПРИМЕР:
Решите неравенство:
РЕШЕНИЕ:
Область допустимых значений
исходного неравенства
х ∈ [0; +∞).
Одна часть неравенства (левая) неотрицательна, а другая (правая) часть отрицательна.
Следовательно, неравенство выполняется
при всех допустимых значениях х
ОТВЕТ: [0; +∞)
ПРИМЕР:
Решите неравенство:
РЕШЕНИЕ:
Найдём область допустимых
значений исходного неравенства
9х – 20 ≥ 0, x ∈ [20/9; +∞).
Правая часть неравенства может
быть отрицательной, но с учётом области допустимых значений обе части
неравенства неотрицательны. Следовательно, обе части неравенства врзвести в
квадрат можно:
9х – 20 < x2,
–x2 + 9x – 20 < 0,
–(x – 4)(x – 5) < 0,
(x – 4)(x – 5) ˃ 0.
Получим
x ∈ (–∞; 4) ∪ (5; +∞).
Найдём пересечение
полученного множества с областью допустимых значений неравенств.
ОТВЕТ:
[20/9; 4) ∪ (5; +∞)
ПРИМЕР:
Решите неравенство:
Найдём область допустимых
значений исходного неравенства
х + 61 ≥ 0,
x ∈ [–61; +∞).
Правая часть неравенства
х + 5
может быть отрицательной.
Причём область допустимых значений не выручает, как в предыдущем примере.
Рассмотрим два случая.
1) х + 5 ≥ 0, т. е. х ∈ [–5; +∞).
В этом случае обе части неравенства
неотрицательны. Следовательно, обе части неравенства можно возвести в квадрат:
х + 61 < х2 + 10х + 25,
–х2 –
9х + 36 < 0,
–(х – 3)(х + 12) < 0,
(х – 3)(х + 12) ˃ 0.
Решение этого неравенства
х ∈ (–∞; –12) ∪ (3; + ∞).
Найдём пересечение полученного
множества с множеством
[–5; +∞) – это (3; +∞).
И пересечение последнего
множества с областью допустимых значений исходного неравенства будет
х ∈ (3; +∞).
2) х + 5 < 0, т. е. х ∈ (–∞; –5).
В этом случае левая часть
неравенства неотрицательна, а правая отрицательна. Такое неравенство неверно,
т. е. рассматриваемый промежуток не содержит решений исходного неравенства.
ОТВЕТ: (3; +∞)
ПРИМЕР:
Решите неравенство:
РЕШЕНИЕ:
Найдём область допустимых
значений исходного неравенства
х + 7 ≥ 0,
x ∈ [–7; +∞).
Правая часть неравенства может
быть отрицательной. примере.
Рассмотрим два случая.
1) х + 1 ≥ 0, т. е. х ∈ [–1; +∞).
Возведём обе части неравенства
в квадрат:
х + 7 ˃ х2 + 2х + 1,
–х2 –
х + 6 ˃ 0,
–(х – 2)(х + 3) ˃ 0,
(х – 2)(х + 3) < 0.
Решение последнего неравенства
х ∈ (–3; 2).
Найдём пересечение полученного
множества с множеством
[–1; +∞)
и областью допустимых значений исходного
неравенства
это
[–1; 2).
2) х + 1 < 0, х ∈ (–∞; –1).
В этом случае левая часть неравенства
неотрицательна, а правая отрицательна. Такое неравенство верно. Следовательно,
та часть рассматриваемого участка, которая входит в область допустимых значений
исходного неравенства, является его решением. Находим пересечение
рассматриваемого множества и области допустимых значений
это
[–7; –1).
Ответом является объединение
ответов, полученных в 1) и 2)
случаях:
х ∈ [–7; –1) ∪ [–1; 2), или
х ∈ [–7; 2)
ОТВЕТ: [–7; 2)
ПРИМЕР:
Решите неравенство:
РЕШЕНИЕ:
Найдём область допустимых
значений исходного неравенства
х2 – х – 2 ≥ 0, (x + 1)(х – 2) ≥
0.
Решение этого неравенства
х ∈ (–∞; –1] ∪ [2; +∞)
Множеством решений исходного
неравенства является объединение двух множеств:
множества решений строгого неравенства
и множества решений
уравнения
Последнее уравнение имеет корни
х1 = 1, х2 = –1, х3 = 2.
Найдём решение строгого неравенства
Разделим обе части
неравенства на положительную величину
(значения х, обращающие
в 0 не являются решениями строгого
неравенства). Получим эквивалентное неравенство
х – 1 < 0.
Решим его:
х < 1 или
х ∈ (–∞; 1).
Итак, для окончательного результата нужно найти
пересечение множества (–∞; 1), корней уравнения
с областью допустимых значений
исходного неравенства.
ОТВЕТ:
–∞ < х
< –1 и х = 2.
ПРИМЕР:
Решите неравенство:
РЕШЕНИЕ:
Решив неравенство
х2 + х – 12 ≥ 0,
найдём ОДЗ
исходного неравенства, то есть множество, которое является объединением
промежутков
(–∞, –4] и [3, +∞).
Рассмотрим два случая:
х ≥ 0 и х < 0.
Первый случай.
х ≥ 0, то
есть х ≥ 3.
Тогда обе части неравенства
неотрицательны. Возведя их в квадрат,
получаем:
х2 + х – 12 ˃ х2,
откуда х ˃ 12.
Таким
образом, все значения х из
промежутка
(12, +∞)
принадлежат
множеству решений неравенства:
Второй случай.
х < 0,
тогда правая часть неравенства
Отрицательна, а его левая часть
неотрицательна. Поэтому все значения х такие, что
х < 0 и х ∈ Е,
то есть значения х из промежутка (–∞, –4], являются решениями исходного неравенства.
ОТВЕТ: х ≤
–4, х ˃ 12
ПРИМЕР:
Решите неравенство:
РЕШЕНИЕ:
Множество Е допустимых значений (ОДЗ неравенства) определяется условием
х2 –
х – 2 ≥ 0,
откуда находим:
х ≤ –1, х ≥ 2.
При всех х ∈ Е левая часть неравенства
неотрицательна, а правая часть – отрицательное число, так как
Следовательно, все
значения х ∈ Е и только эти значения являются решениями
неравенства.
ОТВЕТ: х ≤
–1, х ≥ 2
ПРИМЕР:
Решите неравенство:
РЕШЕНИЕ:
Рассмотрим правую часть неравенства. Она будет
отрицательной, так как:
а левая часть неравенства неотрицательна. Поэтому данное
неравенство не имеет решений.
ОТВЕТ: решений
нет
ПРИМЕР:
Решите неравенство:
РЕШЕНИЕ:
Левая часть неравенства
определена при условии
1 – х2
≥ 0,
то есть на множестве
Е1 = [–1, 1],
а правая часть неравенства
определена при условии
3 – х2
≥ 0,
то есть на множестве
Е2 = [–√͞͞͞͞͞3, √͞͞͞͞͞3].
Поэтому ОДЗ
неравенства – пересечение множеств Е1 и Е2, то есть множество
Е = Е1 = [–1, 1].
На множестве
Е обе
части неравенства определены и неотрицательны и поэтому обе части неравенства
можно возвести в квадрат.
Это
неравенство равносильно на множестве Е каждому из
неравенств:
4(1 – х2)
< 1,
4х2 ˃
3,
х2 ˃ 3/4,
Таким образом, решениями
неравенства являются все те и только те числа
х из
отрезка [–1, 1], которые удовлетворяют
следующим промежуткам:
ПРИМЕР:
Решите неравенство:
РЕШЕНИЕ:
Первый способ.
Область допустимых значений
неравенства определяется условием:
х2 + 4х – 5
≥ 0,
а множество Е решений неравенства – объединение промежутков
(–∞, –5] и
[1, +∞).
Числа из множества Е, и только они, могут
быть решениями неравенства:
Так как левая часть этого
неравенства неотрицательна при всех
х ∈
Е,
а правая часть меняет знак при
переходе через точку х = 5, поэтому следует рассмотреть два возможных случая:
х < 5 и х ≥ 5.
1) если х ≥ 5, то
10 – 2х ≤ 0
и неравенство
не имеет решений, так как его
левая часть неотрицательна.
2) если х < 5 и х ∈ Е, то обе части неравенства
<
10 – 2х
определены и неотрицательны,
поэтому оно равносильно следующему неравенству
х2 + 4х – 5
< (10 – 2х)2
а
это неравенство равносильно следующему неравенству:
3х2 – 44х + 105 ˃ 0.
Чтобы
решить это неравенство найдём корни уравнения:
3х2 – 44х + 105 = 0.
Получим:
откуда
х1 = 3, х2
= 35/3.
Поэтому множество Е1 решений неравенства
3х2 – 44х + 105 ˃ 0
это объединение интервалов (–∞, 3) и (35/3, +∞).
Условиям х ∈ Е, х < 5 и х ∈ Е1 удовлетворяют значения х из промежутков (–∞, –5] и
[1,
3).
ОТВЕТ:
х ≤ –5, 1 ≤ х <
3
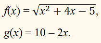
Второй способ.
Построим графики функций
y = f(x) и
у = g(x), где
Решить неравенство
это значит найти все
значения х ∈ Е, при которых график
функции f(x) лежит ниже
графика функции g(x).
Абсциссы точек пересечения этих графиков – корни уравнения
f(x) = g(x).
Это уравнение – следствие
уравнения
f 2(x) = g2(x),
то есть уравнения
х2 + 4х – 5
= (10 – 2х)2,
которое равносильно уравнению
3х2 – 44х + 105 = 0
Из
рисунка
видно,
что прямая
у = 10 – 2х
пересекает
график функции y = f(x) только в точке А, абсцисса
х0 которой – корень уравнения
3х2 – 44х + 105 = 0,
принадлежащий
отрезку [1, 5] то есть
х0 = х1 = 3.
Отметим, что корень х2 уравнения
3х2 – 44х + 105 = 0
это корень уравнения
–f(x) = g(x),
то есть абсцисса точки В,
в которой прямая
у = 10 – 2х
пересекает график функции у = –f(x).
Из рисунка заключаем, что
график функции f(x) лежит ниже графика функции g(x) на промежутках:
(–∞, –5] и
[1,
3).
ОТВЕТ:
х ≤ –5, 1 ≤ х
< 3
Задания к уроку 12
- Задание 1
- Задание 2
- Задание 3
- Урок 1. Числовые неравенства
- Урок 2. Свойства числовых неравенств
- Урок 3. Сложение и умножение числовых неравенств
- Урок 4. Числовые промежутки
- Урок 5. Линейные неравенства
- Урок 6. Системы линейных неравенств
- Урок 7. Нелинейные неравенства
- Урок 8. Системы нелинейных неравенств
- Урок 9. Дробно-рациональные неравенства
- Урок 10. Решение неравенств с помощью графиков
- Урок 11. Неравенства с модулем
- Урок 13. Неравенства с двумя переменными
- Урок 14. Системы неравенств с двумя переменными
- Урок 15. Приближённые вычисления
- Урок 16. Абсолютная и относительная погрешность
§2. Иррациональные неравенства
Иррациональными называют неравенства, в которых переменные входят под знаком корня. Так как корень чётной степени существует только у неотрицательных чисел, то при решении неравенств, содержащих такое выражение, прежде всего удобно найти ОДЗ.
Решите неравенство `sqrt(x + 3) > x + 1`.
Это неравенство можно решить несколькими способами. Решим его графически.
| Рис. 1 |
Построим графики функций `y = sqrt(x + 3)`, `y = x + 1` и посмотрим, где первый график расположен выше второго. Для нахождения решения останется решить только уравнение `sqrt(x + 3) = x + 1` (и не надо рассматривать случаи разных знаков для `x + 1`!).
x+3=x+1⇔x+1≥0,x+3=x2+2x+1⇔x=1⇒x∈[-3;1).sqrt{x+3}=x+1Leftrightarrowleft{begin{array}{l}x+1geq0,\x+3=x^2+2x+1end{array}Leftrightarrow x=1Rightarrow xinlbrack-3;1).right.
Сначала приведём уже выведенные в 10-ом классе условия равносильности для уравнений (в частности, для того, чтобы была понятна приведённая уже здесь нумерация условий равносильности для корней `(`УР К`)`):
| `sqrt(f(x)) = a^2 iff f(x) = a^4`. | (УР К1) |
| fx=gx⇔gx≥0,f(x)=g2(x).sqrt{fleft(xright)}=gleft(xright)Leftrightarrowleft{begin{array}{l}gleft(xright)geq0,\f(x)=g^2(x).end{array}right. | (УР К2) |
| f(x)=g(x)⇔ОДЗf(x)=g(x).sqrt{f(x)}=sqrt{g(x)}overset{mathrm{ОДЗ}}Leftrightarrow f(x)=g(x). | (УР К3) |
| f(x)=g(x)⇔f(x)=g(x),f(x)≥0,g(x)≥0.begin{array}{l}sqrt{f(x)}=sqrt{g(x)}Leftrightarrowleft{begin{array}{l}f(x)=g(x),\left[begin{array}{l}f(x)geq0,\g(x)geq0.end{array}right.end{array}right.\end{array} | (УР К4) |
ПУНКТ 1. НЕРАВЕНСТВА ВИДА `sqrt(f(x)) >= g(x)` и `sqrt(f(x)) <= g(x)`
ОДЗ: `f(x) >= 0`.
Рассмотрим неравенство
`sqrt(f(x)) >= g(x)`.
Докажем, что
|
`sqrt(f(x))>=g(x)`$$Leftrightarrowleft[begin{array}{l}left{begin{array}{l}gleft(xright)<0,\fleft(xright)geq0;end{array}right.\left{begin{array}{l}gleft(xright)geq0,\fleft(xright)geq g^2left(xright).end{array}right.end{array}right.$$ |
(УР К5) |
1. Если `x` является решением неравенства `sqrt(f(x)) >= g(x)`, то `f(x) >= 0` и `sqrt(f(x))` существует. При этом неравенство заведомо выполнено при `g(x) < 0`. Если же `g(x) >= 0`, то возведение в квадрат обеих частей неравенства приводит к равносильному неравенству `f^2 (x) >= g^2 (x)`.
2. Пусть теперь `x` является решением совокупности неравенств
$$left[begin{array}{l}left{begin{array}{l}gleft(xright)<0,\fleft(xright)geq0;end{array}right.\left{begin{array}{l}gleft(xright)geq0,\fleft(xright)geq g^2left(xright).end{array}right.end{array}right.$$
Тогда:
а) если `g(x) < 0` и `f(x) >= 0`, то существует `sqrt(f(x))` и заведомо выполнено неравенство `sqrt(f(x)) >= g(x)`:
б) если `g(x) >= 0` и
`f(x) — g^2 (x) >= 0 iff (sqrt(f(x)) — g(x)) (sqrt(f(x)) + g(x)) >= 0`,
то
`f(x) — g^2 (x) >= 0 iff sqrt(f(x)) — g(x) >= 0`.
Можно ОДЗ неравенства найти отдельно, тогда условие равносильности примет вид:
| `sqrt(f(x))>=g(x)`$$overset{mathrm{ОДЗ}}Leftrightarrowleft[begin{array}{l}gleft(xright)<0,\left{begin{array}{l}gleft(xright)geq0,\fleft(xright)geq g^2left(xright).end{array}right.end{array}right.$$ | (УР К6) |
Теперь рассмотрим неравенство вида
`sqrt(f(x)) <= g(x)`.
Докажем, что
| f(x)≤g(x)⇔g(x)≥0,f(x)≤g2(x),f(x)≥0.sqrt{f(x)}leq g(x)Leftrightarrowleft{begin{array}{l}g(x)geq0,\f(x)leq g^2(x),\f(x)geq0.end{array}right. | (УР К7) |
1. Если `x` является решением неравенства `sqrt(f(x)) <= g(x)`,
то `f(x) >= 0` и существует `sqrt(f(x))`, а тогда `g(x) >= 0`, и возведение в квадрат обеих частей неравенства приводит к равносильному неравенству `f(x) <= g^2 (x)`.
2. Если `x` является решением системы неравенств g(x)≥0,f(x)≤g2(x),f(x)≥0,left{begin{array}{l}g(x)geq0,\f(x)leq g^2(x),\f(x)geq0,end{array}right.
то `f(x) >= 0` и существует `sqrt(f(x))`, а тогда `f(x) — g^2 (x) <= 0 iff (sqrt(f(x)) — g(x))(sqrt(f(x)) + g(x)) <= 0`.
Но, по условию, `g(x) >= 0`, поэтому `f(x) — g^2 (x) <= 0 iff sqrt(f(x)) — g(x) <= 0`.
Решите неравенство `3 sqrt(3x^2 -8x — 3) > 1 — 2x`.
Первый способ
Воспользуемся (УР К5):
`3sqrt(3x^2-8x-3)>1-2x iff`$$left[begin{array}{l}left{begin{array}{l}1-2x<0,\3x^2-8x-3geq0;end{array}right.\left{begin{array}{l}1-2xgeq0,\9left(3x^2-8x-3right)>left(1-2xright)^2end{array}right.end{array}right.Leftrightarrow$$
$$begin{array}{l}Leftrightarrowleft[begin{array}{l}left{begin{array}{l}x>0,5,\xinleft(-infty;dfrac{-1}3right]cupleft[3;+inftyright);end{array}right.\left{begin{array}{l}xleq0,5,\xinleft(-infty;dfrac{34-30sqrt2}{23}right)cupleft(dfrac{34+30sqrt2}{23};+inftyright)end{array}right.end{array}right.Leftrightarrow\Leftrightarrowleft[begin{array}{l}xinleft[3;+inftyright)\xinleft(-infty;dfrac{34-30sqrt2}{23}right)end{array}right.Leftrightarrowend{array}$$
`iff x in (- oo ; (34 — 30 sqrt2)/(23)) uu [3; + oo)`.
`(- oo ; (34 — 30 sqrt2)/(23)) uu [3; + oo)`.
Второй способ
Можно оформить решение неравенства и несколько по – другому. Найдём сначала ОДЗ:
`3x^2 — 8x — 3 >= 0 iff (x — 3)(x+1/3) >= 0 iff x in (-oo; — 1/3] uu [3; + oo)`.
Теперь неравенство перепишем в виде `3sqrt(3x^2 — 8x — 3) -(1 — 2x) > 0`.
1. Если `1 — 2x < 0`, т. е. `x > 1/2`, то неравенство выполнено в ОДЗ, т. е. `x in [3; + oo)`.
2. Если `1 — 2x>= 0`, т. е. `x <= 1/2`, то `3sqrt(3x^2 — 8x — 3) > 1 — 2x iff`
`iff 9(3x^2 — 8x — 3) > 1 — 4x + 4x^2 iff 23x^2 — 68x — 28 > 0 iff`
`iff x in (- oo; (34-30sqrt2 )/(23)) uu ((34+30 sqrt2)/(23); + oo)`.
Заметим, что ОДЗ в этом случае выполнилось автоматически.
Учтём, что `x <= 1/2` — тогда `x in (- oo; (34-30sqrt2)/(23))`.
Объединяя 1 и 2, получаем
`(- oo ; (34 — 30 sqrt2)/(23)) uu [3; + oo)`.
ПУНКТ 2. НЕРАВЕНСТВО ВИДА `sqrt(f(x)) <= sqrt(g(x))`
Рассмотрим неравенство вида `sqrt(f(x)) <= sqrt(g(x))`.
Докажем, что
| fx≤gx⇔fx≤gx,fx≥0.sqrt{fleft(xright)}leqsqrt{gleft(xright)}Leftrightarrowleft{begin{array}{l}fleft(xright)leq gleft(xright),\fleft(xright)geq0.end{array}right. | (УР К8) |
1. Если `sqrt(f(x)) <= sqrt(g(x))`, то `f(x) >= 0`, `g(x) >= 0` и `f(x) <= g(x)`, т. е. `x` является решением системы неравенств fx≤gx,fx≥0.left{begin{array}{l}fleft(xright)leq gleft(xright),\fleft(xright)geq0.end{array}right.
2. Если `x` является решением системы неравенств fx≤gx,fx≥0,left{begin{array}{l}fleft(xright)leq gleft(xright),\fleft(xright)geq0,end{array}right.
то `f(x) >= 0`, `g(x) >= 0`, `sqrt(f(x))` и `sqrt(g(x))` существуют.
При этом `f(x) <= g(x) iff sqrt(f(x)) <= sqrt(g(x))`, т. е. неравенство выполнено.
Для строгих неравенств в условиях равносильности надо просто заменить значок `«>=»` или `«<=»` на `«>»` или `«<»` соответственно.
Решите неравенство `sqrt(2x + 1) <= sqrt(x^3 — 4x^2 + x + 5)`.
`sqrt(2x + 1) <= sqrt(x^3 — 4x^2 + x + 5) iff`
⇔2x+1≤x3-4×2+x+5⇔x3-4×2-x+4≥0,2x+1≥0⇔Leftrightarrowleft{begin{array}{l}2x+1leq x^3-4x^2+x+5Leftrightarrow x^3-4x^2-x+4geq0,\2x+1geq0end{array}right.Leftrightarrow
⇔x-1x+1x-4≥0⇔x∈-1;1∪4;+∞,x≥-12⇔Leftrightarrowleft{begin{array}{l}left(x-1right)left(x+1right)left(x-4right)geq0Leftrightarrow xinleft[-1;1right]cupleft[4;+inftyright),\xgeq-dfrac12end{array}right.Leftrightarrow
⇔x∈-12;1∪4;+∞.Leftrightarrow xinleft[-dfrac12;1right)cupleft[4;+inftyright].
`[- 1/2;1] uu [4; + oo)`.
ПУНКТ 3. НЕРАВЕНСТВА ВИДА `(sqrtf(x) — g(x))/(h(x))>=0` `(<= 0)`
Роль сопряжённых выражений
Обычно при решении неравенств, имеющих ОДЗ, надо сначала найти ОДЗ. При нахождении ОДЗ такого сложного неравенства, как `(sqrtf(x) — g(x))/(h(x)) >= 0`, учителя и школьники обычно решают систему fx≥0,hx≠0left{begin{array}{l}fleft(xright)geq0,\hleft(xright)neq0end{array}right.. Затем школьники иногда ошибочно опускают знаменатель и решают неравенство `sqrt(f(x)) — g(x) >= 0`.
Мы в ОДЗ дроби не будем записывать условие `h(x) != 0`, и тем более не будем тратить время и силы на решение этого неравенства. Оправдывается это тем, что в дальнейшем используем только классический метод интервалов для рациональных функций, в котором условие `h(x) != 0` автоматически выполняется, ибо нули знаменателя наносятся на числовую ось кружочками («дырками»), т. е. ограничение `h(x) != 0` заложено в самом методе. Это ОДЗ, которое отличается от привычного школьного (с `h(x) != 0`), по предложению самих учителей, будем обозначать не ОДЗ, а ОДЗ*. Итак, например, для неравенств вида `(sqrtf(x) — g(x))/(h(x)) >= 0` будем искать ОДЗ*: `f(x) >= 0`.
Рассмотрим довольно часто встречающееся неравенство вида
`(sqrt(f(x)) — g(x))/(h(x)) >= 0 (<= 0)`.
В методической литературе предлагается рассмотреть две системы в зависимости от знака знаменателя `h(x)`, причём в каждой есть неравенство с корнем. Энтузиазм решать задачу при этом быстро «испаряется».
Мы поступим иначе: рассмотрим два случая в зависимости не от знака `h(x)`, а от знака `g(x)`, и неравенств с корнем решать не придётся.
Рассмотрим отдельно разность `sqrt(f(x)) — g(x)`. Отметим две особенности поведения этой разности:
1) если `g(x) < 0`, то разность `sqrt(f(x)) — g(x)` положительна в ОДЗ;
2) если `g(x) >= 0`, то разность `sqrt(f(x)) — g(x)` может быть как положительной, так и отрицательной в ОДЗ. Заметим, однако, что в этом случае сумма `sqrt(f(x)) + g(x)` всегда неотрицательна в ОДЗ, а умножение разности `(sqrt(f(x)) — g(x))` на неотрицательное выражениене `(sqrt(f(x)) + g(x))` не изменит знака разности, т. е. выражение
`(sqrt(f(x)) — g(x))(sqrt(f(x)) + g(x)) -= f(x) — g^2 (x)`
имеет тот же знак, что и `(sqrt(f(x)) — g(x))` в ОДЗ. Новое выражение уже не содержит радикалов (корней), а выражение `(sqrt(f(x)) + g(x))` называется сопряжённым для `(sqrt(f(x)) — g(x))` выражением. Отсюда следует важное правило П К1:
| Если `g(x)>=0`, то знак разности `sqrt(f(x)) — g(x)` совпадает со знаком разности `f(x) — g^2 (x)` в ОДЗ. | (П К1) |
Теперь используем эти свойства для решения довольно сложных неравенств вида
`(sqrt(f(x)) — g(x))/(h(x)) >= 0` или `(sqrt(f(x)) — g(x))h(x) >=0`.
Сейчас мы покажем, что можно обойтись, хотя и двумя случаями, но без корней.
Рассмотрим, для определённости, неравенство `(sqrt(f(x)) — g(x))/(h(x)) >= 0`.
1. Мы уже заметили, что, если `g(x) < 0`, то числитель положителен в ОДЗ. Но тогда fx-gxhx≥0⇔ОДЗhx>0dfrac{sqrt{fleft(xright)}-gleft(xright)}{hleft(xright)}geq0overset{mathrm{ОДЗ}}Leftrightarrow hleft(xright)>0.
2. Если же `g(x) >= 0`, то разность может менять знак в зависимости от значений `x`, но сумма `sqrt(f(x)) + g(x)` всегда неотрицательна в ОДЗ, и умножение обеих частей неравенства на это сопряжённое выражение приводит к равносильному неравенству, т. е. в этом случае
fx-gxhx≥0⇔ОДЗfx-g2xhx≥0dfrac{sqrt{fleft(xright)}-gleft(xright)}{hleft(xright)}geq0overset{mathrm{ОДЗ}}Leftrightarrowdfrac{fleft(xright)-g^2left(xright)}{hleft(xright)}geq0.
Для неравенства другого знака меняется лишь знак неравенства. Объединив оба условия, получаем новое замечательное условие равносильности в ОДЗ:
| fx-gxhx≥0≤0⇔ОДЗgx<0,hx>0<0,gx≥0,fx-g2xhx≥0≤0.dfrac{sqrt{fleft(xright)}-gleft(xright)}{hleft(xright)}geq0left(leq0right)overset{mathrm{ОДЗ}}Leftrightarrowleft[begin{array}{l}left{begin{array}{l}gleft(xright)<0,\hleft(xright)>0left(<0right),end{array}right.\left{begin{array}{l}gleft(xright)geq0,\dfrac{fleft(xright)-g^2left(xright)}{hleft(xright)}geq0left(leq0right).end{array}right.end{array}right. | (УР К9) |
Найденные в результате исследования совокупности (УР К9) решения следует сравнить с ОДЗ.
Решите неравенство `(4x+15-4x^2)/(sqrt(4x+15) +2x) >=0`.
ОДЗ*. `4x+15>=0 iff x>=-(15)/4`.
Теперь в ОДЗ преобразуем неравенство:
4x+15-4x24x+15+2x=4x+15+2x4x+15-2x4x+15+2x≥0⇔4x+15-2x≥0,4x+15+2x≠0.dfrac{4x+15-4x^2}{sqrt{4x+15}+2x}=dfrac{left(sqrt{4x+15}{displaystyle+}{displaystyle2}{displaystyle x}right){displaystyleleft(sqrt{4x+15}-2xright)}}{sqrt{4x+15}{displaystyle+}{displaystyle2}{displaystyle x}}geq0Leftrightarrowleft{begin{array}{l}sqrt{4x+15}-2xgeq0,\sqrt{4x+15}+2xneq0.end{array}right.
Попробуем решить эту систему графически. Из графика на рисунке 2 видно, что неравенство выполнено от точки `x=-(15)/4` до абсциссы точки пересечения кривой `y=sqrt(4x+15)` и прямой `y=2x`.
| Рис. 2 |
Найдём эту абсциссу:
4x+15=2x⇔2x≥0,4x+15=4×2⇔2x≥0,x=-32,x=52⇔x=52.sqrt{4x+15}=2xLeftrightarrowleft{begin{array}{l}2xgeq0,\4x+15=4x^2end{array}right.Leftrightarrowleft{begin{array}{l}2xgeq0,\left[begin{array}{l}x=-dfrac32,\x=dfrac52end{array}right.Leftrightarrow x=dfrac52.end{array}right.
Заметим, что для решения уравнения мы возводили обе части в квадрат, а, значит, одновременно с нашим решили «чужое» уравнение:
4x+15+2x=0⇔4x+15=-2x⇔2x≤0,4x+15=4×2.sqrt{4x+15}+2x=0Leftrightarrowsqrt{4x+15}=-2xLeftrightarrowleft{begin{array}{l}2xleq0,\4x+15=4x^2.end{array}right.
А в нашей системе решение этого уравнения `x=-3/2` как раз нам надо исключить. Главное в том, что для решения всей системы, оказалось достаточно решить единственное уравнение
4x+15=4×2⇔x=-32,x=52.4x+15=4x^2Leftrightarrowleft[begin{array}{l}x=-dfrac32,\x=dfrac52.end{array}right.
Теперь можно записать
x∈-154;-32∪-32;52xinleft[-dfrac{15}4;-dfrac32right)cupleft[-dfrac32;dfrac52right).
Решите неравенство `(sqrt(2-x) +4x-3)/x >= 2`.
Найдём сначала ОДЗ*: `2-x>=0 iff x<=2`.
Теперь воспользуемся (УР К9):
2-x+4x-3x≥2⇔2-x+2x-3x≥0⇔2-x-3-2xx≥0⇔ОДЗ*dfrac{sqrt{2-x}+4x-3}xgeq2Leftrightarrowdfrac{sqrt{2-x}{displaystyle+}{displaystyleleft(2x-3right)}}xgeq0Leftrightarrowdfrac{sqrt{2-x}{displaystyle-}{displaystyleleft(3-2xright)}}xgeq0overset{mathrm{ОДЗ}ast}Leftrightarrow
$$Leftrightarrowleft[begin{array}{l}left{begin{array}{l}3-2x<0,\x>0;end{array}right.\left{begin{array}{l}3-2xgeq0,\dfrac{2-x-left(2x-3right)^2}xgeq0end{array}right.end{array}right.Leftrightarrowleft[begin{array}{l}x>dfrac32,\left{begin{array}{l}xleqdfrac32,\dfrac{4x^2-11x+7}xleq0end{array}right.end{array}right.Leftrightarrow$$
$$Leftrightarrowleft[begin{array}{l}x>dfrac32,\left{begin{array}{l}xleqdfrac32,\dfrac{left(x-{displaystyledfrac74}right)left(x-1right)}xleq0end{array}right.end{array}right.Leftrightarrow$$
⇔x>32,x∈-∞;0∪1;32⇔с учётом ОДЗ*x∈-∞;0∪1;2.Leftrightarrowleft[begin{array}{l}x>dfrac32,\xinleft(-infty;0right)cupleft[1;dfrac32right]end{array}right.overset{mathrm с;mathrm{учётом};mathrm{ОДЗ}ast}Leftrightarrow xinleft(-infty;0right)cupleft[1;2right].
Систему неравенств x≤32,x-74x-1x≤0left{begin{array}{l}xleqdfrac32,\dfrac{left(x-{displaystyledfrac74}right)left(x-1right)}xleq0end{array}right. решили классическим методом интервалов — рис. 3.
| Рис. 3 |
`(- oo; 0) uu [1; 2]`.
`(sqrt(x^2 -4x+3) -2(x+7))/(x^2 -x-72) <= 0`.
Неравенство довольно громоздкое и сложное.
Найдём сначала ОДЗ*:
`x^2 -4x+3>=0 iff (x-1)(x-3)>=0 iff x in (- oo; 1] uu [3; +oo)`.
Затем рассмотрим отдельно два случая в зависимости от знака `(x+7)`.
1. Если `x+7<0 iff x< -7`, то числитель положителен в ОДЗ* и
$$dfrac{sqrt{x^2-4x+3}-2left(x+7right)}{x^2-x-72}leq0overset{mathrm{ОДЗ}ast}Leftrightarrow x^2-x-72<0Leftrightarrowleft(x+8right)left(x-9right)<0Leftrightarrow $$
$$Leftrightarrow xinleft(-8;9right)$$.
Учитывая ограничение `x< -7`, получаем, что `x in (-8;-7)`. Оказалось, что этот промежуток принадлежит ОДЗ*.
2. Если `x+7>=0 iff x>= -7`, то воспользуемся правилом П К1. Тогда
x2-4x+3-2x+7×2-x-72≤0⇔ОДЗ*x2-4x+3-2x+72x-9x+8≤0⇔dfrac{sqrt{x^2-4x+3}-2left(x+7right)}{x^2-x-72}leq0overset{mathrm{ОДЗ}ast}Leftrightarrowdfrac{left(x^2-4x+3right){displaystyle-}{displaystyleleft(2left(x+7right)right)^2}}{left(x-9right){displaystyleleft(x+8right)}}leq0Leftrightarrow
⇔3×2+60x+193x+8x-9≥0⇔x—30-3213x—30+3213x+8x-9≥0⇔x≥-7Leftrightarrowdfrac{3x^2+60x+193}{left(x+8right){displaystyleleft(x-9right)}}geq0Leftrightarrowdfrac{left(x-{displaystyledfrac{-30-sqrt{321}}3}right)left(x-{displaystyledfrac{-30+sqrt{321}}3}right)}{left(x+8right)left(x-9right)}geq0overset{xgeq-7}Leftrightarrow
⇔x≥-7-7;-30+3213∪9;+∞overset{xgeq-7}Leftrightarrowleft[-7;dfrac{-30+sqrt{321}}3right]cupleft(9;+inftyright)
с учётом ограничения `x>= -7`. Оказалось, что и эти промежутки принадлежат ОДЗ*. Поэтому `x in (-8; (-30+sqrt(321))/3 ] uu (9; + oo)`.
`(-8; (-30+sqrt(321))/3 ] uu (9; + oo)`.
ПУНКТ 4. НЕРАВЕНСТВО ВИДА `(sqrt(f(x)) — sqrt(g(x)))/(h(x)) >= 0 (<= 0)`.
Роль сопряжённых выражений
Теперь рассмотрим неравенство вида `(sqrt(f(x)) — sqrt(g(x)))/(h(x)) >= 0 (<= 0)`.
На вид довольно сложное неравенство. Разность `sqrt(f(x)) — sqrt(g(x))` где-то на числовой оси положительна, где-то отрицательна, но сумма корней `sqrt(f(x)) + sqrt(g(x))` всегда неотрицательна в ОДЗ. Поэтому умножение обеих частей неравенства на это сопряжённое выражение приводит к равносильному в ОДЗ неравенству, и имеет место условие равносильности в ОДЗ
| fx-gxhx≥0⇔ОДЗfx-gxhx≥0dfrac{sqrt{fleft(xright)}-sqrt{gleft(xright)}}{hleft(xright)}geq0overset{mathrm{ОДЗ}}Leftrightarrowdfrac{fleft(xright)-gleft(xright)}{hleft(xright)}geq0 | (УР К10) |
или полное условие равносильности, включающее ОДЗ:
| fx-gxhx≥0⇔fx≥0,gx≥0,fx-gxhx≥0dfrac{sqrt{fleft(xright)}-sqrt{gleft(xright)}}{hleft(xright)}geq0Leftrightarrowleft{begin{array}{l}fleft(xright)geq0,\gleft(xright)geq0,\dfrac{fleft(xright)-gleft(xright)}{hleft(xright)}geq0end{array}right. | (УР К11) |
Отсюда, в частности, следует полезное правило (П К2):
| Знак разности `sqrt(f(x)) — sqrt(g(x))` совпадает со знаком разности `f(x) — g(x)` в ОДЗ. | (П К2) |
Решите неравенство `(sqrt(1-x^3) -1)/(x+1) <= x`
и найдите наименьшую длину промежутка, который содержит все его решения.
Замечательный пример на применение (УР К11)!
Приведём всё к общему знаменателю, затем разложим разность кубов на множители. При этом учтём, что неполный квадрат суммы `x^2 +x+1` никогда в `0` не обращается — он всегда положителен, потому что его дискриминант отрицателен. Поэтому на `sqrt(x^2 +x+1)` можно сократить. Затем воспользуемся (УР К11), или, что то же, тем, что умножение неравенства на положительное сопряжённое выражение приводит к равносильному неравенству. Тогда
`(sqrt(1-x^3 ) -1)/(1+x) <= x iff (sqrt(1-x^3) -1-x-x^2 )/(1+x) <= 0 iff`
`iff (sqrt((1-x)(x^2 +x+1)) — (sqrt(x^2 +x+1))^2)/(1+x) <= 0 iff`
`iff (sqrt(1-x) — sqrt(x^2 +x+1))/(1+x) <= 0 iff`
`iff ((sqrt(1-x) — sqrt(x^2 +x+1))(sqrt(1-x) + sqrt(x^2 +x+1)))/(1+x) <= 0 iff`
⇔1-x≥0,1-x-x2+x+11+x≤0⇔x≤1,xx+21+x≥0⇔x∈-2;-1∪0;+∞⇔Leftrightarrowleft{begin{array}{l}1-xgeq0,\dfrac{left(1-xright)-left(x^2+x+1right)}{1+x}leq0end{array}right.Leftrightarrowleft{begin{array}{l}xleq1,\dfrac{xleft(x+2right)}{1+x}geq0Leftrightarrow xinleft[-2;-1right)cupleft[0;+inftyright)end{array}right.Leftrightarrow
`iff x in [-2; -1) uu [0; 1]`.
Неравенство решено методом интервалов — рис. 4.
| Рис. 4 |
Наименьшая длина промежутка, который содержит все решения, равна `3`.
`[-2; -1) uu [0; 1], 3`.
Решите неравенство `(sqrt(4x^2 — 3x+2) — sqrt(4x-3))/(x^2 -5x+6) <=0`
и найдите наименьшую длину промежутка, который содержит все его решения.
Найдём сначала ОДЗ*: 4×2-3x+2≥0,4x-3≥0⇔x≥34left{begin{array}{l}4x^2-3x+2geq0,\4x-3geq0end{array}right.Leftrightarrow xgeqdfrac34.
Теперь можно решить неравенство, применив правило (П К2) :
4×2-3x+2-4x-3×2-5x+6≤0⇔ОДЗ4×2-3x+2-4x+3×2-5x+6≤0⇔dfrac{sqrt{4x^2-3x+2}-sqrt{4x-3}}{x^2-5x+6}leq0overset{mathrm{ОДЗ}}Leftrightarrowdfrac{4x^2-3x+2-4x+3}{x^2-5x+6}leq0Leftrightarrow
⇔4×2-7x+5×2-5x+6≤0⇔1x-2x-3≤0⇔x∈2;3Leftrightarrowdfrac{4x^2-7x+5}{x^2-5x+6}leq0Leftrightarrowdfrac1{left(x-2right)left(x-3right)}leq0Leftrightarrow xinleft(2;3right).
Промежуток принадлежит ОДЗ*. Наименьшая длина промежутка, который содержит все решения, равна `1`.
`(2; 3), 1`.
ПУНКТ 5. НЕСТРОГОЕ НЕРАВЕНСТВО `(sqrt(f(x)))/(g(x)) >= 0 (<= 0)`.
Воспользуемся определением нестрогого неравенства и особенностью иррациональных неравенств.
Получим
| fxgx≥0≤0⇔fx=0,gx≠0;fx>0,gx>0<0.dfrac{sqrt{fleft(xright)}}{gleft(xright)}geq0left(leq0right)Leftrightarrowleft{begin{array}{l}left{begin{array}{l}fleft(xright)=0,\gleft(xright)neq0;end{array}right.\left{begin{array}{l}fleft(xright)>0,\gleft(xright)>0left(<0right).end{array}right.end{array}right. | (УР10) |
Решите неравенство `(sqrt(6-x-x^2))/(x^2 -1) <= 0`.
Воспользуемся (УР10): `(sqrt(6-x-x^2))/(x^2 -1) <= 0 iff`
$$begin{array}{l}Leftrightarrowleft[begin{array}{l}left{begin{array}{l}6-x-x^2=0,\x^2-1neq0;end{array}right.\left{begin{array}{l}6-x-x^2>0,\x^2-1<0end{array}right.end{array}right.Leftrightarrowleft[begin{array}{l}x=-3,\x=2,\left{begin{array}{l}xinleft(-3;2right),\xinleft(-1;1right)end{array}right.end{array}right.Leftrightarrow\\end{array}$$
`iff x in {-3} uu (-1; 1) uu {2}`.
`{-3} uu (-1; 1) uu {2}`.
Иррациональными называют неравенства, в которых неизвестное или рациональная функция от неизвестного содержатся под знаками радикалов.
При решении иррационального неравенства следует сначала найти его ОДЗ, т. е. все значения неизвестного, при которых обе части неравенства определены (имеют смысл).
Иррациональное неравенство обычно сводят к рациональному, возводя обе его части в натуральную степень. Так как при этой операции может получиться неравенство, неравносильное исходному, то следует установить, при каких значениях неизвестного левая и правая части заданного неравенства принимают положительные или отрицательные значения.
Если обе части неравенства неотрицательны на некотором множестве, то при возведении их в натуральную степень получится неравенство, равносильное исходному на этом множестве.
Примеры с решениями
Пример №264.
Решить неравенство
Решение:
Множество 





Ответ.
Пример №265.
Решить неравенство
Решение:
Заметим, что 

Ответ. Нет решений.
Пример №266.
Решить неравенство
Решение:
Левая часть неравенства (1) определена при условии 







полученному возведением в квадрат обеих частей неравенства (1). Далее, неравенство (2) равносильно неравенству
которое равносильно на множестве 

Таким образом, решениями неравенства (1) являются все те и только те числа 

Ответ.
Пример №267.
Решить неравенство

Решение:
Первый способ. Область допустимых значений неравенства (4) определяется условием


а множество 



Заметим, что левая часть неравенства (4) неотрицательна при всех 


1) Если 

2) Если 





Чтобы решить неравенство (7), найдем корни уравнения

Получим
откуда 






Ответ.
Замечание. Рассуждения, приведенные при решении неравенства (4), дают основания утверждать, что неравенство
равносильно системе неравенств
Второй способ. Построим графики функций 


Решить неравенство (4) — это значит найти все значения 















Из рис. 22.1 заключаем, что график функции 


Пример №268.
Решить неравенство

Решение:
Решив неравенство 




1) Пусть 

Тогда обе части неравенства (9) неотрицательны. Возводя их в квадрат, получаем

Таким образом, все значения 

2) Пусть 





Ответ.
Замечания. 1) Метод решения неравенства, использованный в примере 5, основан на том, что неравенство
равносильно совокупности двух систем неравенств:
2) Многие абитуриенты, возводя в квадрат обе части неравенства (9) без учета знака его правой части, теряли множество 
Пример №269.
Решить неравенство
Решение:
Так как уравнение 



Решить данное неравенство — это значит найти все значения 


Значения 



Пусть 







Ответ.
Пример №270.
Решить неравенство

Решение:
Первый способ. Неравенство (10) равносильно неравенству

область определения которого — множество
Так как обе части неравенства (11) неотрицательны, то на множестве 
полученному возведением в квадрат обеих частей неравенства (11). Отсюда следует, что неравенство (11) равносильно системе неравенств

Если 

Если 



где числа 

Решив неравенство (14) на множестве 


Ответ.
Второй способ. Рассмотрим 


Решить неравенство (11) — это значит найти все значения 






а 







Пример №271.
Решить неравенство
Решение:
Исходное неравенство равносильно неравенству

а неравенство (16) равносильно совокупности следующих двух систем неравенств:


Множество допустимых значений 

а) При 
откуда следует, что
б) Системе (18) удовлетворяют значения 


Значения 


откуда следует, что
Ответ.
Замечание. Системы (17) и (18) можно решить, построив графики функций 


Этот материал взят со страницы решения задач с примерами по всем темам предмета математика:
Решение задач по математике
Возможно вам будут полезны эти страницы:
Неравенства, содержащие переменную под знаком радикала, называются иррациональными неравенствами.
Содержание:
Решение иррациональных неравенств также ищут на множестве действительных чисел и, используя свойства корня и неравенств, сводится к решению системы рациональных неравенств.
Пример: Решите неравенство
Решение: чтобы найти множество решений данного неравенства на множестве допустимых значений, т. е. при условии
Каждое неравенство системы решим методом интервалов и найдем пересечение полученных решений:
Пример: Решите неравенство
Решение: рассмотрим два случая, в зависимости от знака правой части.
1) при 


Ее решением является промежуток
2) при 
Ее решением является промежуток
Решением заданного неравенства является
Способы решения иррациональных неравенств
С действием возведения в степень связаны разные виды выражений. Будем рассматривать выражения с переменными, при образовании которых используются действия сложения, вычитания, умножения, деления и возведения в степень, причем возведение в степень хотя бы один раз применено к выражению с переменной.
Если показатель степени целый, то возникает рациональное выражение, если дробный, то — иррациональное выражение, а если иррациональный, то — трансцендентное выражение.
К трансцендентным выражениям приводят и действия нахождения значений синуса, косинуса, тангенса, котангенса, арксинуса, арккосинуса, арктангенса, арккотангенса. Рациональные и иррациональные выражения вместе составляют множество алгебраических выражений.
Из выражений
выражения (1) и (2) являются рациональными, выражения (3) и (4) — иррациональными, выражения (5) и (6) — трансцендентными, а выражения (1)—(4) — алгебраическими.
В зависимости от того, из каких выражений составлено уравнение, говорят о рациональных, иррациональных, трансцендентных уравнениях.
Из уравнений
уравнения (1) и (2) являются рациональными, уравнения (3) и (4) — иррациональными, а уравнения (5) и (6) — трансцендентными.
Так же говорят о рациональных, иррациональных, трансцендентных неравенствах.
В этом параграфе рассматривается решение иррациональных уравнений и неравенств. При их решении нужно следить за тем, какие преобразования выполняются при этом.
Утверждение 








Утверждение 







Отношения равносильности и следования связаны:
При решении иррациональных неравенств нужно учитывать, что проверка подстановкой найденного множества чисел обычно невозможна из-за его бесконечности. Поэтому при решении неравенств нужно следить за равносильностью проводимых преобразований.
Теорема:
Верны следующие равносильности:
Доказательство проводится по схеме, использованной при доказательстве теоремы 9 с применением соответствующих свойств числовых неравенств.
Пример №1
Решим неравенство 
Первую систему можно заменить равносильной системой 


Вторая система совокупности равносильна системе 

Решения данного неравенства получим, когда объединим решения 

Ответ. 
Пример №2
Решим неравенство 
Обратим внимание на то, что на области определения левая и правая части данного неравенства обе неотрицательны, поэтому оно равносильно системе неравенств
решение которой следующее:
Ответ. 
- Заказать решение задач по высшей математике
Какие неравенства называются иррациональными
В этой лекции мы будем рассматривать неравенства, содержащие переменную (неизвестное) под знаком корня. Такие неравенства называются иррациональными.
При решении иррациональных неравенств часто используют подход, который мы уже применяли, решая иррациональные уравнения. Он состоит в замене исходного неравенства равносильным ему неравенством (системой или совокупностью неравенств).
Пример №3
Решить неравенство:
Решение:
а) Учитывая свойства корня нечетной степени, получаем:
б) По определению корня четной степени значения выражения


выражение имеет смысл, т. е. когда значения подкоренного выражения неотрицательны. Таким образом, имеем:
Ответ:
Пример №4
Решить неравенство:
Решение:
а) По определению корня четной степени значения выражения 
б) Поскольку обе части неравенства 

Ответ:
При решении иррациональных неравенств часто используется также метод интервалов.
Пример №5
Решить неравенство
Решение:
Обозначим 
Таким образом,
Найдем нули функции 
Проверка:
Значит, 0,5 — единственный нуль функции
Отметим нуль функции 


Используя рисунок 22, запишем решение неравенства
Ответ:
Пример №6
Решить неравенство
Решение:
Решение этого примера аналогично решению примера 3.
Используя рисунок 22, записываем решение неравенства
Ответ:
▲ При решении иррациональных неравенств часто используются следующие утверждения о равносильности неравенств и систем неравенств:
Решим пример 3, используя равносильность (1):
Ответ:
Решим пример 4, используя равносильность (2):
Ответ:
Для решения заданий такого типа, как, например, в 1.265, можно использовать следующие утверждения о равносильности:
Аналогичные утверждения можно записать и для неравенств
- Производная в математике
- Как найти производную функции
- Асимптоты графика функции
- Касательная к графику функции и производная
- Формулы преобразования суммы и разности синусов (косинусов) в произведение
- Корень n-й степени из числа и его свойства
- Свойства и график функции y=ⁿ√x (n>1, n∈N)
- Иррациональные уравнения

















































































































































