Исследовать функцию — это значит установить её свойства: указать её область определения и область значений; промежутки возрастания и убывания; промежутки, на которых функция приобретает положительные значения, на которых — отрицательные; выяснить, не является ли данная функция чётной или нечётной и т. д.
Содержание:
Что такое исследование функции
Одна из важных задач исследования функции — определение промежутков её возрастания и убывания. Как отмечалось, в тех точках, в которых функция возрастает, её производная (угловой коэффициент касательной) положительная, а в точках убывания функции её производная отрицательная {рис. 70).
Правильными будут следующие утверждения.
- Если производная функции в каждой точке некоторого промежутка положительная, то функция на этом промежутке возрастает.
- Если производная в каждой точке промежутка отрицательная, то функция на этом промежутке убывает.
- Если производная в каждой точке промежутка тождественно равна нулю, то на этом промежутке функция постоянная.
Строгое доказательство этого утверждения достаточно громоздкое, поэтому мы его не приводим. Заметим только, что в нём выражается достаточный признак возрастания или убывания функции, но не необходимый. Поэтому функция может возрастать и на промежутке, в некоторых точках которого она не имеет производной. Например, функция
Из сказанного следует, что два соседних промежутка, на одном из которых функция возрастает, а на другом — убывает, могут разделяться только такой точкой, в которой производная функции равна нулю или не существует.
Внутренние точки области определения функции, в которых её производная равна нулю или не существует, называют критическими точками функции.
Следовательно, чтобы определить промежутки возрастания и убывания функции 

Пример:
Найдите промежутки возрастания и убывания функции
Решение:
Уравнение 






Замечание: Если функция непрерывна в каком-нибудь конце промежутка возрастания или убывания, то эту точку можно присоединить к рассматриваемому промежутку. Поскольку функция 


Пример:
Найдите промежутки убывания функции
Решение:
Критические точки: 





Пример:
Найдите критические точки функции 
Решение:

Найдём точки, в которых производная равна нулю или не существует: 



Ответ. 0 и 4.
Пример:
Докажите, что функция 
Решение:



Пример:
Установите, на каком промежутке функция 
Решение:
Способ 1. 
Найдём критические точки функции:
Эта точка разбивает область определения функции на два промежутка (рис. 74). Определим знак производной на каждом из них.
Следовательно, функция 

Способ 2. Решим неравенство 
Ответ. Возрастает, если 
Применение второй производной к исследованию функций и построению их графиков
При помощи первой производной можно исследовать функцию на монотонность и экстремумы и схематично построить график. Оказывается, что поведение некоторых функций не всегда можно охарактеризовать, используя первую производную. Более детальное исследование проводится при помощи второй производной. Вспомним, что такое вторая производная.
Пусть функция 



Например, найти производную 2-го порядка функции 

Кривая 

Кривая 

Точкой перегиба называется такая точка кривой, которая отделяет её выпуклую часть от вогнутой.
Интервалы выпуклости и вогнутости находят при помощи такой теоремы.
Теорема. Если вторая производная дважды дифференцируемой функции 





Из теоремы следует, что точками перегиба кривой 

Установим до статочное условие существования точки перегиба.
Теорема. Пусть 




Для нахождения промежутков выпуклости и точек перегиба графика функции целесообразно пользоваться следующей схемой:
- найти область определения функции;
- найти критические точки второго рода;
- определить знак второй производной на образованных интервалах. Если
то кривая выпуклая; если
— кривая вогнутая;
- если производная
меняет знак при переходе через точку
то точка
является точкой перегиба кривой
Пример №1
Найдите интервалы выпуклости, вогнутости и точки перегиба кривой
Решение:
1) Область определения функции:
2) Найдём вторую производную: 


3) Разбиваем область определения на интервалы 
Если 
Если 
Если 
Следовательно, точки 
Напомним, что прямая 



Уравнение наклонной асимптоты:
Если записанные пределы существуют, то существует наклонная асимптота; если хотя бы один из них не существует или равен 
Если 

Замечание: Рассмотренные пределы могут быть односторонними, а под символом 

Пример №2
Найдите асимптоты кривых:
Решение:
а) 



Найдём наклонную асимптоту: 
Следовательно, заданная кривая имеет три асимптоты:

Поскольку функция не определена в точках 


Для наклонной асимптоты
Значит прямая 
Итак, асимптоты кривой:

Следовательно, 
2) если 

Следовательно, заданная кривая имеет две асимптоты:
Определение точек перегиба, интервалов выпуклости и асимптот существенно помогает в построении графиков различных функций.
Нахождение промежутков возрастания и убывания функции
Интервалы возрастания и убывания функции
возрастающая функция
Если для любых 



убывающая
Если для любых 



Связь промежутков возрастания и убывания функции с угловым коэффициентом секущей можно выразить следующим образом.
Если на заданном промежутке угловой коэффициент любой секущей положителен, то на этом промежутке функция 
Если на заданном промежутке угловой коэффициент любой секущей отрицателен, то на этом промежутке функция 
Промежутки возрастания и убывания функции
Пусть на определенном промежутке производная функции 



Теорема. Если функция 
Примечание: если функция 
По графику функции 
На интервалах 




На интервале 


Пример №3
При помощи производной определите промежутки возрастания и убывания функции
Решение: 1. Алгебраический метод.
Найдем производную функции
Функция 


Для решения неравенства сначала надо решить соответствующее уравнение
Значит, при 




Из таблицы и непрерывности функции 



2. Промежутки возрастания и убывания функции можно определить но графику производной. На рисунке изображен график производной
График производной 













Пример №4
Изобразите схематично график непрерывной функции согласно еле дующим условиям:
a) при 
b) при 

Решение:
а) при 

функция возрастает. При 


b) При 





Критические точки и экстремумы функции
В некоторых точках из области определения производная функции может быть равна нулю или вообще может не существовать. Такие точки из области определения называются критическими точками функции. Покажем критические точки на графике заданной функции.
1. Для значений 



2. В точках 
3. Для рассматриваемой нами функции критические точки 

По графику видно, что в точках внутреннего экстремума(


Теорема Ферма (Необходимое условие существовании экстремумов)
Во внутренних точках экстремума производная либо равна нулю, либо не существует.
Примечание. Точка, в которой производная равна нулю, может и не быть точкой экстремума. Например, в точке 

На отрезке непрерывности функция может иметь несколько критических точек, точек максимума и минимума. Существование экстремума в точке зависит от значения функции в данной точке и в точках, близких к данной, т. е. имеет смысл локального (местного) значения. Поэтому иногда используют термин локальный максимум и локальный минимум.
Достаточное условие существования экстремума
Пусть функция 



слева от точки
положительна, а справа — отрицательна, то точка
является точкой максимума.
слева от
отрицательна, а справа — положительна, то точка
является точкой минимума
с каждой стороны от точки
имеет одинаковые знаки, то точка
не является точкой экстремума.
Чтобы найти наибольшее (абсолютный максимум) или наименьшее (абсолютный минимум) значение функции, имеющей конечное число критических точек на отрезке, надо найти значение функции во всех критических точках и на концах отрезка, а затем из полученных значений выбрать наибольшее или наименьшее.
Соответствующие наибольшее и наименьшее значения функции 


Ниже представлены примеры определения максимума и минимума в соответствии со знаком производной первого порядка.
Пример №5
Для функции
Решение: Для решения задания сначала надо найти критические точки. Для данной функции этими точками являются точки (стационарные), в которых производная равна нулю.
1. Производная функции:
2. Критические точки функции:
3. Точки 

Проверим знак 







При 


4. Используя полученные для функции 
Пример №6
Найдите наибольшее и наименьшее значение функции 
Решение: Сначала найдем критические точки.
Так как 





Из этих значений наименьшее — 4, наибольшее 12. Таким образом:
Пример №7
Найдите экстремумы функции
Решение: 1. Производная функции:
2. Критические точки:

3. Интервалы, на которые критические точки делят область определения функции:

Проверим знак 
Для промежутка 
Для промежутка 
Для промежутка 
Используя полученную для функции 


Пример №8
Найдите экстремумы функции
Решение: 1. Производная
2. Критические точки: для этого надо решить уравнение 



3. Промежутки, на которые критическая точка делит область определения функции: 
Определим знак 
Для 
Для 
Пример №9
По графику функции производной 
Решение:
Производная 






- Заказать решение задач по высшей математике
Построение графиков функции с помощью производной
Функция — многочлен определена и непрерывна на всей числовой оси.
Чтобы построить график функции- многочлен надо выполнить следующие шаги.
- Определите точки пересечения с осями координат.
- Найдите критические точки.
- Найдите промежутки возрастания и убывания функции.
- Найдите максимумы и минимумы.
- Постройте график.
Пример:
Постройте график функции
1) Точки пересечения с осями координат :
2) Критические точки ( точки, в которых производная равна нулю):
значит, точки 

3) Промежутки возрастания и убывания. Экстремумы.
Критические точки 
4) Используя полученную информацию, построим график функции.
Чтобы построить график рациональной функции надо выполнить следующие шаги.
- Найдите область определения.
- Найдите асимптоты (если они есть).
- Определите точки пересечения с осями координат.
- Найдите критические точки.
- Найдите промежутки возрастания и убывания и экстремумы.
- Постройте график.
Пример:
Постройте график функции
1) Область определения функции:
2) Асимптоты:
Прямая 
Так как степень многочлена в числителе больше степени многочлена в знаменателе, рациональная функция не имеет горизонтальной асимптоты. Однако, записав следующее:
условии 








3) Точки пересечения с осями координат:
4) Критические точки:
5) Промежутки возрастания и убывания: в точке 


6) Построим график. Отметим на координатной плоскости точки 


Обратите внимание! В области, близкой к точке 
Задачи на экстремумы. Оптимизации
В реальной жизненной ситуации возникает необходимость выбора оптимального варианта и нахождения экстремумов определенной функции. Ежедневно, при решении проблем в различных областях, мы сталкиваемся с терминами наибольшая прибыль, наименьшие затраты, наибольшее напряжение, наибольший объем, наибольшая площадь и т.д. Большое экономическое значение в промышленности, при определении дизайна упаковки, имеет вопрос, как подобрать размеры упаковки с наименьшими затратами. Такого рода задания связаны с нахождением максимального или минимального значения величины. Задачи на нахождение максимального и минимального значения величины называются задачами на оптимизацию. Для решения данных задач применяется производная.
Замечание 1: На интервале 
Замечание 2: В рассматриваемом интервале может быть одна стационарная точка: или точка максимума, или точка минимума. В этом случае, в точке максимума функция принимает наибольшее значение, а в точке минимума — наименьшее значение.
Пример 1. Максимальный объем. Фирма планирует выпуск коробки без крышки, с квадратным основанием и площадью поверхности 
Решение:
Так как основанием коробки является квадрат, то ее объем можно вычислить по формуле 


Тогда выразим 


Теперь найдем область определения функции 
Понятно, что длина не может быть отрицательной, т. е. 
или 
Найдем максимальное значение функции 
Для этого используем производную первого порядка:
При 

Однако. 
При 





Если длина основания коробки будет 8 см, то высота будет равна
Значит, максимальный объем будет иметь коробка с размерами
Построив при помощи графкалькулятора график функции 

Пример 2. Минимальное потребление. Два столба высотой 4 м и 12 м находятся на расстоянии 12 м друг от друга. Самые высокие точки столбов соединены с металлической проволокой, каждая из которых, в свою очередь крепится на земле в одной точке. Выберите такую точку на земле, чтобы для крепления использовалось наименьшее количество проволоки.
Решение: 1) Изобразим рисунок, соответствующий условию задачи, и обозначим соответствующие данные на рисунке.
2) Аналитически выразим зависимость между переменными.
По теореме Пифагора:
зависимость функции 

Производная функции
Найдем критические точки функции
Сравнивая значения функции 


При решении задач на экстремумы обратите внимание на следующее!
1. Внимательно читайте условие. Сделайте соответствующий рисунок.
2. Задайте список соответствующих переменных и констант, которые менялись и оставались неизменными и какие единицы использовались. Если на рисунке есть размеры, обозначьте их.
3. Выберите соответствующий параметр 

4. Полученные значения объясните экспериментально.
Пример: Минимальное потребление материала. Для мясных консервов планируется использовать банку в форме цилиндра объемом 250
a) Каких размеров должна быть банка, чтобы для ее изготовления использовалось как можно меньше материала?
b) Для круглого основания используется материал, цена 1 

Решение: а) По условию задачи объем равен 250 

Для функции, выражающей площадь поверхности, область определения представляет собой незамкнутый интервал, и мы должны найти, при каком значении 





Значит,
Подставим значение 

Итак, минимальные затраты на материал будет иметь банка цилиндрической формы с размерами 
Размеры, при которых затраты на материал будут минимальными
- Приложения производной
- Производные высших порядков
- Дифференциал функции
- Дифференцируемые функции
- Касательная к графику функции и производная
- Предел и непрерывность функции
- Свойства функций, непрерывных в точке и на промежутке
- Предел функции на бесконечности
Свойства функции. Возрастание и убывание, наибольшее и наименьшее значения, нули, промежутки знакопостоянства.
теория по математике 📈 функции
Каждый из нас встречался с разными графиками, как на уроках, так и в жизни. Например, рассматривали, как изменяется температура воздуха в определенный период времени.
На рисунке видно, что температура воздуха была отрицательной с 0 часов до 6 часов, а также с 20 до 24 часов. Еще можем сказать, что температура повышалась до 14 часов, а затем понижалась. То есть по данному графику мы смогли определить некоторые свойства зависимости температуры воздуха от времени суток.
Остановимся подробнее на свойствах функций.
Нули функции
Нули функции – это значение аргумента, при которых функция обращается в нуль. Если смотреть нули функции на графике, то берем точки, где график пересекает ось х.

Существует функция, которая не будет иметь нули функции. Это гипербола. Вспомним, что функция имеет
Вид — группа особей, сходных по морфолого-анатомическим, физиолого-экологическим, биохимическим и генетическим признакам, занимающих естественный ареал, способных свободно скрещиваться между собой и давать плодовитое потомство.
График функции у=k/x выглядит следующим образом: 
- Для того чтобы найти нули функции, которая задана формулой, надо подставить вместо у число нуль и решить полученное уравнение.
- Если график функции дан на рисунке, то ищем точки пересечения графика с осью х.
Рассмотрим примеры нахождения нулей функции. Пример №1. Найти нули функции (если они существуют):
а) Для нахождения нулей функции необходимо в данную формулу вместо у подставить число 0, так как координаты точки пересечения графика с осью х (х;0). Нам нужно найти значение х. Получаем 0 = –11х +12. Решаем уравнение. Переносим слагаемое, содержащее переменную, в левую часть, меняя знак на противоположный: 11х=22
Находим х, разделив 22 на 11: х=22:11
Таким образом, мы нашли нуль функции: х=2
б) Аналогично во втором случае. Подставляем вместо у число 0 и решаем уравнение вида 0=(х + 76)(х – 95). Вспомним, что произведение двух множителей равно 0 тогда и только тогда, когда хотя бы один из множителей равен 0. Таким образом, так как у нас два множителя, составляем два уравнения: х + 76 = 0 и х – 95 = 0. Решаем каждое, перенося числа 76 и -95 в правую часть, меняя знаки на противоположные. Получаем х = – 76 и х = 95. Значит, нули функции это числа (-76) и 95.
в) в третьем случае: если вместо у подставить 0, то получится 0 = – 46/х, где для нахождения значения х нужно будет -46 разделить на нуль, что сделать невозможно. Значит, нулей функции в этом случае нет.
Пример №2. Найти нули функции у=f(x) по заданному графику.
Находим точки пересечения графика с осью х и выписываем значения х в этих точках. Это (-4,9); (-1,2); 2,2 и 5,7. У нас на рисунке точки пересечения выделены красным цветом.
Промежутки знакопостоянства
Промежутки, где функция сохраняет знак (то есть значение y либо положительное на этом промежутке, либо отрицательное), называется промежутками знакопостоянства.
Рассмотрим по нашему рисунку, на какие промежутки разбивается область определения данной функции [-3; 7] ее нулями. По графику видно, что это 4 промежутка: [-3; -1), (-1;4), (4; 6) и (6; 7]. Помним, что значения из области определения смотрим по оси х.
На рисунке синим цветом выделены части графика в промежутках [-3; -1) и (4; 6), которые расположены ниже оси х. Зеленым цветом выделены части графика в промежутках (-1;4) и (6; 7], которые расположены выше оси х.
Значит, что в промежутках [-3; -1) и (4; 6) функция принимает отрицательные значения, а в промежутках (-1;4) и (6; 7] она принимает положительные значения. Это и есть промежутки знакопостоянства.
Пример №3. Найдем промежутки знакопостоянства по заданному на промежутке [-2; 10] графику функции у=f(x).
Функция принимает положительные значения в промежутках [-2; -1) и (3; 8). Обратите внимание, что эти части на рисунке выделены зеленым цветом.
Функция принимает отрицательные значения в промежутках (-1; 3) и (8; 10]. Обратите внимание на линии синего цвета.
Возрастание и убывание функции
Значения функции могут уменьшаться или увеличиваться. Это зависит от того, как изменяются значения х. Рассмотрим это свойство по рисунку.
На графике видно, что с увеличением значения х от -3 до 2 значения у тоже увеличиваются. Также с увеличением значения х от 5 до 7 значения у опять увеличиваются. Проще говоря, слева направо график идет вверх (синие линии). То есть в промежутках [-3; 2] и [5; 7] функция у=f(x) является возрастающей.
Посмотрим на значения х, которые увеличиваются от 2 до 5. В этом случае значения у уменьшаются. На графике эта часть выделена зеленым цветом. Слева направо эта часть графика идет вниз. То есть в промежутке [2;5] функция у=f(x) является убывающей.
Функция называется возрастающей в некотором промежутке, если большему значению аргумента из этого промежутка соответствует большее значение функции; функция называется убывающей в некотором промежутке, если большему значению аргумента из этого промежутка соответствует меньшее значение функции.
Применение производной. Построение графиков с применением производных
Математика берет свои истоки со времен Античности. Благодаря ней архитектура, строительство и военное дело дали новый виток развития, достижения, которые были получены с помощью математики, привели к движению прогресса. И по сей день математика остается главной наукой, которая встречается во всех остальных отраслях.
Чтобы быть образованными, дети с первого класса начинают постепенно вливаться в эту среду. Очень важно разбираться в математике, так как она, в той или иной степени, встречается каждому человеку на протяжении всей его жизни. В этой статье будет разобран один из ключевых элементов — нахождение и применение производных. Не всякий человек может представить, насколько широко используется это понятие. Рассмотрим более 10 применений производных в определенных областях или науках.
Применение производной к исследованию функции
Производная — это такой предел отношения приращения функции к увеличению ее аргумента, когда показатель аргумента стремится к нулю. Производная — незаменимая вещь при исследовании функции. Например, с помощью нее можно определить возрастание и убывание последней, экстремумы, выпуклости и вогнутости. Дифференциальные исчисления входят в обязательную программу обучения студентов 1 и 2 курса математических вузов.
Область определения и нули функции
Первый этап любого исследования графика начинается с выяснения области определения, в более редких случаях — значения. Область определения задается по оси абсциссы, если говорить другими словами, то это числовые значения на оси OX. Часто область определения уже задана, но если она не задана, то следует оценить значение аргумента х. Допустим, если при каком-то значениях аргумента функция не имеет смысла, то этот аргумент исключается из области определения.
Нули функции находятся простым способом: функцию f(x) следует приравнивнять к нулю и решить полученное уравнение относительно одной переменной x. Полученные корни уравнения являются нулями функции, то есть в этих x функция равна 0.
Возрастание и убывание
Применение производной для исследования функций на монотонность может рассматриваться с двух позиций. Монотонная функция — это категория, которая имеет только положительные значения производной, либо только отрицательные. Простыми словами — функция только возрастает или только убывает на всем исследуемом промежутке:
- Параметр возрастания. Функция f(x) будет возрастать, если производная f`(x) больше нуля.
- Параметр убывания. Функция f(x) будет убывать, если производная f`(x) меньше нуля.
Касательная и угловой коэффициент
Применение производной к исследованию функции определяется еще и касательной (прямой, направленной под углом) к графику функции в данной точке. Касательная в точке (x0) — прямая, которая проходит через точку и принадлежит функции, координаты которой (x0, f(x0)), и имеющая угловой коэффициент f`(x0).
y = f(x0) + f`(x0)(x — x0) — уравнение касательной к данной точке графика функции.
Геометрический смысл производной: производная функции f(x) равняется угловому коэффициенту образованной касательной к графику этой функции в данной точке x. Угловой коэффициент, в свою очередь, равняется тангенсу угла наклона касательной к оси ОХ (абсцисс) в положительном направлении. Это следствие является основополагающим к применению производной к графику функции.
Точки экстремума
Применение производной к исследованию включает в себя нахождение точек максимума и минимума.
Для того чтобы найти и определить точки минимума и максимума, необходимо:
- Отыскать производную функции f(x).
- Приравнять полученное уравнение к нулю.
- Найти корни уравнения.
- Определить точки максимума и минимума.
Чтобы найти экстремумы функции:
- Отыскать точки минимума и максимума по способу выше.
- Подставить эти точки в первоначальное уравнение и высчитать yнаиб. и yнаим.
Точка максимума функции — это наибольшее значение функции f(x) на промежутке, другими словами xнаиб.
Точка минимума функции — это наименьшее значение функции f(x) на промежутке, другими словами xнаим.
Точки экстремума — то же самое, что и точки максимума и минимума, а экстремум функции (yнаиб. и унаим) — значения функций, которые соответствуют точкам экстремума.
Выпуклости и вогнутости
Определить выпуклость и вогнутость можно, прибегая к применению производной для построения графиков:
- Функция f(x), исследуемая на промежутке (a, b), является вогнутой, если функция расположена ниже всех своих касательных, находящихся внутри этого интервала.
- Функция f(x), исследуемая на промежутке (a, b), является выпуклой, если функция расположена выше всех своих касательных, находящихся внутри этого интервала.
Точка, которая разделяет выпуклость и вогнутость, называется точкой перегиба функции.
Чтобы найти точки перегиба:
- Найти критические точки второго рода (вторую производную).
- Точками перегиба являются те критические точки, которые разделяют два противоположенных знака.
- Вычисление значений функций в точках перегиба функции.
Частные производные
Применение производных такого типа есть в задачах, где используется больше одной неизвестной переменной. Чаще всего такие производные встречаются при построении графика функции, если быть точнее, то поверхности в пространстве, где вместо двух осей — три, следовательно, три величины (две переменные и одна постоянная).
Основное правило при вычислении частных производных — выбираем одну переменную, а остальные рассматриваем как постоянные. Следовательно, при вычислении частной производной постоянная величина становится как-будто числовым значением (во многих таблицах производных они обозначаются как C = const). Смысл такой производной — это скорость изменения функции z = f(x, y) по оси OX и OY, то есть характеризует крутизну впадин и выпуклостей построенной поверхности.
Производная в физике
Применение производной в физике имеет широкое распространение и значение. Физический смысл: производная пути по времени — скорость, а ускорение — производная скорости по времени. Из физического смысла можно провести множество ответвлений в различные разделы физики, при этом полностью сохраняя смысл производной.
С помощью применения производной находятся такие величины:
- Скорость в кинематике, где вычисляется производная от пройденного пути. Если находится вторая производная от пути или первая производная от скорости, то находится ускорение тела. Помимо этого, возможно нахождение мгновенной скорости материальной точки, однако для этого необходимо знать приращение ∆t и ∆r.
- В электродинамике: вычисление мгновенной силы переменного тока, а также ЭДС электромагнитной индукции. Вычисляя производную, можно найти максимальную мощность. Производная от количества электрического заряда — сила тока в проводнике.
Производная в химии и биологии
Химия: производная используется для определения скорости протекания химической реакции. Химический смысл производной: функция p = p(t), в данном случае p — количество вещества, которое вступает в химическую реакцию во времени t. ∆t — приращение времени, ∆p — приращение количества вещества. Предел отношения ∆p к ∆t, при котором ∆t стремится к нулю, называется скоростью протекания химической реакции. Среднее значение химической реакции — отношение ∆p/∆t. При определении скорости необходимо точно знать все необходимые параметры, условия, знать агрегатное состояние вещества и среду протекания. Это довольно большой аспект в химии, который широко применяется в различных отраслях и деятельности человека.
Биология: понятие производной используют при вычислении средней скорости размножения. Биологический смысл: имеем функцию y = x(t). ∆t — приращение по времени. Тогда с помощью некоторых преобразований получаем функцию y`= P(t) = x`(t) — активность жизнедеятельности популяции времени t (средняя скорость размножения). Такое применение производной позволяет вести статистику, отслеживать темпы размножения и так далее.
Производная в географии и экономике
Производная позволяет географам решать такие задачи, как нахождение численности населения, вычислять значения в сейсмографии, рассчитать радиоактивность ядерно-геофизических показателей, вычислить интерполяцию.
В экономике важную часть расчетов занимает дифференциальное исчисление и вычисление производной. В первую очередь это позволяет определить пределы необходимых экономических величин. Например, наибольшую и наименьшую производительность труда, издержки, прибыль. В основном эти величины рассчитываются по графикам функций, где находят экстремумы, определяют монотонность функции на нужном участке.
Заключение
Роль данного дифференциального исчисления задействована, как было отмечено в статье, в различных научных структурах. Применение производных функций — важный элемент в практической части науки и производства. Не зря нас в старшей школе и университете учили строить сложные графики, исследовать и работать над функциями. Как видим, без производных и дифференциальных исчислений невозможно было бы рассчитать жизненно важные показатели и величины. Человечество научилось моделировать различные процессы и исследовать их, решать сложные математические задачи. Действительно, математика — царица всех наук, потому что эта наука лежит в основе всех других естественных и технических дисциплин.
Исследование функции и построение графика
На этой странице мы постарались собрать для вас наиболее полную информацию об исследовании функции. Больше не надо гуглить! Просто читайте, изучайте, скачивайте, переходите по отобранным ссылкам.
Что будет дальше?
Общая схема исследования
Для чего нужно это исследование, спросите вы, если есть множество сервисов, которые построят график онлайн для самых замудренных функций? Для того, чтобы узнать свойства и особенности данной функции: как ведет себя на бесконечности, насколько быстро меняет знак, как плавно или резко возрастает или убывает, куда направлены «горбы» выпуклости, где не определены значения и т.п.
А уже на основании этих «особенностей» и строится макет графика — картинка, которая на самом-то деле вторична (хотя в учебных целях важна и подтверждает правильность вашего решения).
Начнем, конечно же, с плана. Исследование функции — объемная задача (пожалуй, самая объемная из традиционного курса высшей математики, обычно от 2 до 4 страниц с учетом чертежа), поэтому, чтобы не забыть, что в каком порядке делать, следуем пунктам, описанным ниже.
Алгоритм
- Найти область определения. Выделить особые точки (точки разрыва).
- Проверить наличие вертикальных асимптот в точках разрыва и на границах области определения.
- Найти точки пересечения с осями координат.
- Установить, является ли функция чётной или нечётной.
- Определить, является ли функция периодической или нет (только для тригонометрических функций).
- Найти точки экстремума и интервалы монотонности.
- Найти точки перегиба и интервалы выпуклости-вогнутости.
- Найти наклонные асимптоты. Исследовать поведение на бесконечности.
- Выбрать дополнительные точки и вычислить их координаты.
- Построить график и асимптоты.
В разных источниках (учебниках, методичках, лекциях вашего преподавателя) список может иметь отличный от данного вид: некоторые пункты меняются местами, объединяются с другими, сокращаются или убираются. Учитывайте требования/предпочтения вашего учителя при оформлении решения.
Схема исследования в формате pdf: скачать.
Полный пример решения онлайн
Провести полное исследование и построить график функции $$ y(x)=frac<1-x>. $$
1) Область определения функции. Так как функция представляет собой дробь, нужно найти нули знаменателя. $$1-x=0, quad Rightarrow quad x=1.$$ Исключаем единственную точку $x=1$ из области определения функции и получаем: $$ D(y)=(-infty; 1) cup (1;+infty). $$
2) Исследуем поведение функции в окрестности точки разрыва. Найдем односторонние пределы:
Так как пределы равны бесконечности, точка $x=1$ является разрывом второго рода, прямая $x=1$ — вертикальная асимптота.
3) Определим точки пересечения графика функции с осями координат.
Найдем точки пересечения с осью ординат $Oy$, для чего приравниваем $x=0$:
Таким образом, точка пересечения с осью $Oy$ имеет координаты $(0;8)$.
Найдем точки пересечения с осью абсцисс $Ox$, для чего положим $y=0$:
Уравнение не имеет корней, поэтому точек пересечения с осью $Ox$ нет.
Заметим, что $x^2+8>0$ для любых $x$. Поэтому при $x in (-infty; 1)$ функция $y>0$ (принимает положительные значения, график находится выше оси абсцисс), при $x in (1; +infty)$ функция $ylt 0$ (принимает отрицательные значения, график находится ниже оси абсцисс).
4) Функция не является ни четной, ни нечетной, так как:
5) Исследуем функцию на периодичность. Функция не является периодической, так как представляет собой дробно-рациональную функцию.
6) Исследуем функцию на экстремумы и монотонность. Для этого найдем первую производную функции:
Приравняем первую производную к нулю и найдем стационарные точки (в которых $y’=0$):
Получили три критические точки: $x=-2, x=1, x=4$. Разобьем всю область определения функции на интервалы данными точками и определим знаки производной в каждом промежутке:
При $x in (-infty; -2), (4;+infty)$ производная $y’ lt 0$, поэтому функция убывает на данных промежутках.
При $x in (-2; 1), (1;4)$ производная $y’ >0$, функция возрастает на данных промежутках.
При этом $x=-2$ — точка локального минимума (функция убывает, а потом возрастает), $x=4$ — точка локального максимума (функция возрастает, а потом убывает).
Найдем значения функции в этих точках:
Таким образом, точка минимума $(-2;4)$, точка максимума $(4;-8)$.
7) Исследуем функцию на перегибы и выпуклость. Найдем вторую производную функции:


Приравняем вторую производную к нулю:
Полученное уравнение не имеет корней, поэтому точек перегиба нет. При этом, когда $x in (-infty; 1)$ выполняется $y» gt 0$, то есть функция вогнутая, когда $x in (1;+infty)$ выполняется $y» lt 0$, то есть функция выпуклая.


Так как пределы бесконечны, горизонтальных асимптот нет.
Попробуем определить наклонные асимптоты вида $y=kx+b$. Вычисляем значения $k, b$ по известным формулам:

Получили, у что функции есть одна наклонная асимптота $y=-x-1$.
9) Дополнительные точки. Вычислим значение функции в некоторых других точках, чтобы точнее построить график.
10) По полученным данным построим график, дополним его асимптотами $x=1$ (синий), $y=-x-1$ (зеленый) и отметим характерные точки (фиолетовым пересечение с осью ординат, оранжевым экстремумы, черным дополнительные точки):
Примеры решений по исследованию функции
Разные функции (многочлены, логарифмы, дроби) имеют свои особенности при исследовании (разрывы, асимптоты, количество экстремумов, ограниченная область определения), поэтому здесь мы пострались собрать примеры из контрольных на исследование функций наиболее часто встречающихся типов. Удачи в изучении!
Задача 1. Исследовать функцию методами дифференциального исчисления и построить график.
Задача 2. Исследовать функцию и построить ее график.
Задача 3. Исследовать функцию с помощью производной и построить график.
Задача 4. Провести полное исследование функции и построить график.
Задача 5. Исследовать функцию методом дифференциального исчисления и построить график.
Задача 6. Исследовать функцию на экстремумы, монотонность, выпуклость и построить график.
Задача 7. Проведите исследование функции с построением графика.
Задача 8. Построить график функции $y=y(x)$, заданной параметрически
Задача 9. Исследовать функцию и построить ее график $r=1+tg phi$.
Задача 10. Исследовать функцию и построить ее график $(x^2+y^2)^3=4x^2y^2$.
Задача 11. Провести полное исследование периодической функции $y = cos 3x – 2 sin 6x$ и построить её график.
Задача 12. Провести полное исследование и построить график функции $y=f(x)$ с помощью Excel. Найти наибольшее и наименьшее значения функции на отрезке $[-3; -1]$.
Задача 13. Провести полное исследование и построить график функции.
Как построить график онлайн?
Даже если преподаватель требует вас сдавать задание, написанное от руки, с чертежом на листке в клеточку, вам будет крайне полезно во время решения построить график в специальной программе (или сервисе), чтобы проверить ход решения, сравнить его вид с тем, что получается вручную, возможно, найти ошибки в своих расчетах (когда графики явно ведут себя непохоже).
Ниже вы найдете несколько ссылок на сайты, которые позволяют построить удобно, быстро, красиво и, конечно, бесплатно графики практически любых функций. На самом деле таких сервисов гораздо больше, но стоит ли искать, если выбраны лучшие?
Графический калькулятор Desmos
Desmos.com
Невероятно гибкий и функциональный графический калькулятор. Интутивно понятно вводятся формулы (прямо на ходу преобразуются), автоматически подбираются масштаб и цвета графика для максимальной наглядности. Например, для функции $y(x)=frac<4(x-2)^2>$ буквально за минуту построены основной график и асимптоты, вот что получилось:


При этом сайт сам пометил важные точки на графике (см. серым): локальный экстремум, пересечение с осями.
Вы можете менять масштаб, цвета, вид линий; добавлять на график точки, линии, кривые, табличные данные и даже анимацию!
Посмотрите, какую красоту Desmos умеет рисовать (точнее, его пользователи):

Сайт для построения графиков y(x).ru
y(x).ru
Это уже наш продукт, возможно, не такой красивый и интерактивный, но вполне подходящий для учебных целей. Можно строить онлайн несколько графиков одновременно, при этом выбирать и обычный, и параметрический вид, и даже задание в полярных координатах. Цвет и масштаб можно менять вручную. Вот так вводятся графики:
И такой график получается в итоге:
Из минусов можно заметить, что вводить, например, горизонтальные асимптоты не так просто: если в Desmos мы просто написали $x=2$, то здесь пришлось вводить параметрическую функцию $x(t)=2, y(t)=t$. Цвета и масштаб тоже пришлось подбирать вручную (иначе все графики оказались бы красными и мелкими).
Другие сайты
Еще несколько сервисов, которые обладают меньшим удобством/функциональностью, но тоже достойны внимания:
- ru.numberempire.com Можно построить сразу несколько функций, цвета подбираются автоматически, график интерактивный (положение и масштаб меняются мышкой).
- mathsolution.ru Можно строить несколько графиков, выбирая толщину линий и цвет, скрывать/отображать сетку, менять масштаб, сохранять картинки в файл.
- easyto.me При построении нескольких графиков на одном поле предыдущие не редактируются. В остальном функции как у прежних: выбор цвета, толщины линии, масштаба чертежа.
- grafikus.ru Кроме обычных графиков можно также строить трехмерные (3d). Можно построить несколько графиков разного типа (обычный,параметрический, в полярных координатах). Цвет и толщину линии выбрать нельзя. Интерактивности нет
Больше знаний: теория и практика
Еще немного ссылок для тех, кто хочет углубиться в тему. Первая ссылка на теоретический материал, где вы найдете и подробные примеры, и отсылки к предыдущим разделам теории (а исследовать функцию не зная пределов, производных, понятия непрерывности и т.п. нельзя) с не менее подробным объяснением. Все это сдобрено порцией юмора, отчего очень «съедобно» даже для полного чайника в математике: Исследование функций от Александра Емелина.
Вторая ссылка практическая, для тех, кто хочет научиться строить красивые графики в Desmos.com (см. выше описание): Полная инструкция по работе с Desmos. Эта инструкция довольно старая, с тех пор интерфейс сайта поменялся в лучшую сторону, но основы остались неизменными и помогут быстро разобраться с важными функциями сервиса.
Официальные инструкции, примеры и видео-инструкции на английском можно найти тут: Learn Desmos.
Решебник
Срочно нужна готовая задача? Более сотни разных функций с полным исследованием уже ждут вас. Подробное решение, быстрая оплата по SMS и низкая цена — около 50 рублей. Может, и ваша задача уже готова? Проверьте!
Полезные видео-ролики
Вебинар по работе с Desmos.com. Это уже полноценный обзор функций сайта, на целых 36 минут. К сожалению, он на английском языке, но базовых знаний языка и внимательности достаточно, чтобы понять большую часть.
Классный старый научно-популярный фильм «Математика. Функции и графики». Объяснения на пальцах в прямом смысле слова самых основ.
http://fb.ru/article/404955/primenenie-proizvodnoy-postroenie-grafikov-s-primeneniem-proizvodnyih
http://www.matburo.ru/ex_ma.php?p1=maissl
Производная положительна только тогда, когда функция возрастает. То есть, нам необходимо найти точки, в которых функция растет. Смотрим на график нашей функции: функция растет на промежутках: от (x=-7) до (x=0) и от (x = 6) до (x=12).
Так как по условию нам нужны только ЦЕЛЫЕ точки, в которых производная положительна, то это будут: (x=—6); (x=-5), (x=-4), (x=-3), (x=-2), (x=-1), (x=7), (x=8), (x=9), (x=10), (x=11). Всего точек получилось (11). Я отметил их зеленым цветом.
Обратите внимание, что точки (x=-7), (x=0), (x=6), (x=12) мы не считаем, так как в этих точках у нас будут минимумы и максимумы функции, а в них производная равна нулю, то есть не положительна.
Ответ: (11.)
Пример 2
На рисунке 6 изображен график функции, определенной на промежутке ((-10;12)). Найдите количество точек, в которых производная функции равна нулю.
Прежде чем перейти к изучению темы «Нули функции»
внимательно изучите уроки
«Что такое функция в математике»
и
«Как решать задачи на функцию».
Запомните!
Нули функции — это
значения « x »
(аргумента функции),
при которых « y = 0 ».
В заданиях «Найдите нули функции» чаще всего сама функция задана через формулу
(аналитически). Разберем алгоритм решения
подобных задач.
Как найти нули функции, заданной формулой
Важно!
Чтобы найти нули функции, нужно:
- в формулу функции вместо
« у » (или « f(x) »,
« g(x) » и т.п.)
подставить «0»; - решить полученное уравнение
относительно « x »; - записать полученные решения уравнения для « x » в ответ.
По традиции разберемся на примере.
Разбор примера
Найдите нули функции:
Подставим вместо значения функции « f(x) » ноль.
0 = 0,2x + 3
Решаем полученное линейное уравнение
и записываем полученный ответ
для « x ».
Перенесем неизвестное « 0,2x » из правой части уравнения в левую с
противоположным
знаком.
−0,2x = 3 | · (−1)
0,2x = −3
Переведем десятичную дробь «0,2» в
обыкновненную для упрощения дальнейших расчетов.
0,2x = −3
· x = −3 | · 10
· x · 10 = −3 · 10
· x = −30
2x = −30
x =
x = −15
Ответ: x = −15 является нулем
функции f(x) = 0,2x + 3
Разбор примера
Найдите нули функции:
Вместо « f(x) » подставим ноль.
0 = x 3 − 4x
−x 3 + 4x = 0 | · (−1)
(−1) · (−x 3 + 4x) = 0 · (−1)
x 3 − 4x = 0
Вынесем общий множитель
« x » за скобки.
В левой части полученного уравнения у нас два множителя:
« x »
и «(x 2 − 4)». Результат их умножения равен нулю.
Это возможно, когда любой
из множителей равен нулю. Поэтому рассмотрим оба варианта: когда множитель
« x » равен нулю и когда множитель «(x 2 − 4)»
равен нулю.
Решаем квадратное уравнение
«x 2 − 4 = 0».
Используем формулу
для решения квадратного уравнения с дискриминантом.
a · x 2 + b · x + c = 0
x1;2 =
x 2 − 4 = 0
x1;2 =
| 0 ± √02 − 4 · 1 · (−4) |
| 2 · 1 |
x1;2 =
x1;2 =
Запишем все полученные корни уравнений в ответ в порядке возрастания. Они будут являться нулями функции.
Ответ: x = −2; x = 0; x = 2 являются нулями функции
f(x) = x 3 − 4x
Разбор примера
Найдите нули функции:
Подставим вместо « h(x) » ноль.
Перенесем правую часть
в левую, изменив ее знак на минус.
Единственный вариант, когда дробь будет равна нулю, только если
ее числитель
«x 2 − x − 6» будет равен нулю. Знаменатель
«x + 3» не может быть равен нулю, так как на ноль делить нельзя.
Решим полученное квадратное уравнение через формулу с дискриминантом.
a · x 2 + b · x + c = 0
x1;2 =
x 2 − x − 6 = 0
x1;2 =
| −(−1) ± √(−1)2 − 4 · 1 · (−6) |
| 2 · 1 |
x1;2 =
x1;2 =
x1;2 =
| x1 = | x2 = |
| x1 = | x2 = |
| x1 = 3 | x2 = −2 |
Ответ: x = −2; x = 3 являются нулями функции
h(x) =
Разбор примера
Найдите нули функции:
Заменим «f(x)» на ноль.
Единственное число, квадратный корень которого равен нулю — это сам ноль.
Поэтому, квадратный корень
«√ x 2 − 4 = 0 »
будет равен нулю, когда его подкоренное выражение
« x 2 − 4 »
будет равно нулю.
Осталось решить полученное квадратное уравнение, чтобы найти нули функции
«f(x) = √x 2 − 4».
x1;2 =
x 2 − 4 = 0
x1;2 =
| −(−0) ± √(−0)2 − 4 · 1 · (−4) |
| 2 · 1 |
x1;2 =
x1;2 =
Ответ: x = −2; x = 2 являются нулями
функции f(x) = √x 2 − 4
Как найти нули функции на графике функции
Важно!
Графически нули функции — это точки пересечения графика функции
с осью «Ox»
(осью абсцисс).
По определению
нули функции — это значения « x »,
при которых
« y = 0 ». Другими словами, у точек
графика функции, которые являются нулями функции,
координата « x » равна нулю.
Чтобы найти нули функции на графике
нам остается, только найти, какая у них
координата
по оси « Ox ».
Рассмотрим на примере.
Разбор примера
На рисунке ниже изображен график функции « y = f(x) », определенной на множестве действительных чисел. Используя график,
найдите нули функции.
Отметим на графике функции его точки пересечения с осью « Ox ».
Назовем полученные точки «(·)А» и «(·)B».
В точках «(·)А» и «(·)B» график функции пересекает
ось
« Ox » , то есть координаты точки «(·)А» и «(·)B»
по оси « Oy »
равны нулю.
Точки «(·)А» и «(·)B»
— нули функции. Теперь определим, чему равны их координаты по оси « Ox ».
На графике видно, что у точки «(·)А» координата « x » равна
« 0 », а у точки «(·)B» координата « x » равна
« 2 ».
Запишем полученные значения координат « x » в ответ.
Ответ: x = 0; x = 2 являются нулями функции.
Как найти нули функции, заданной таблицей
В некоторых заданиях, где требуется найти нули функции, сама функция задана не вполне привычно с помощью формулы,
а с помощью таблицы. Поиск нулей в таких примерах является легкой задачей.
Разбор примера
Найдите нули функции, заданной таблицей.
| x | −2 | −1 | 0 | 1 | 2 | 3 |
| y | −3 | −1,5 | 0 | 2 | 1 | 0 |
Вспомним определение нулей функции.
Запомните!
Нули функции — это
значения « x » в функции,
при которых « y = 0 ».
Согласно определению нулей функции нам достаточно найти значения « x » в таблице,
где
« y = 0 ». Выделим их цветом.
| x | −2 | −1 | 0 | 1 | 2 | 3 |
| y | −3 | −1,5 | 0 | 2 | 1 | 0 |
Остаётся только записать в ответ значения « x » из таблицы.
Ответ: x = 0; x = 3 являются нулями функции, заданной таблицей.
Ваши комментарии
Важно!
Чтобы оставить комментарий, вам нужно войти на наш сайт при помощи
«ВКонтакте».

Оставить комментарий:
ВИДЕО УРОК
Связь производной и промежутков
монотонности функции.
Монотонно
возрастающая функция – это функция, у которой большему значению аргумента соответствует
большее значение функции.
Монотонно убывающая
функция – это функция, у которой большему значению аргумента соответствует
меньшее значение функции.
Если ∆x ˃ 0, то знак приращения
∆y и знак производной в точке x0 совпадает со
знаком f ‘ (x0). То есть если производная f ‘ (x0) в этой точке больше нуля, то ∆y ˃ 0 и понятно, что
функция в окрестности этой точки будет возрастать. А если производная меньше
нуля, значит, ∆y < 0 и понятно, что в
окрестности этой точки функция будет убывать.
Производная в точке x0 есть тангенс угла наклона касательной α.
Касательная описывается линейной функцией. В
окрестности точки х0 кривая и
линейная функция почти совпадают. Если угол наклона острый, тангенс будет
положительным, угловой коэффициент – величина положительная, и линейная функция
возрастает, а значит, в окрестности этой точки и сама функция возрастает:
И наоборот, если линейная функция убывает, угол
тупой, тангенс – величина отрицательная, значит, линейная функция убывает, а с
ней убывает и сама функция:
Так события
развиваются в окрестности точки х0.
Эти события подчиняются геометрическому смыслу производной (её физическому
смыслу то есть соотношению
∆у ≈ f ‘ (x0)
∙ ∆х).
Исследование промежутков
монотонности функции с помощью производной.
Рассмотрим функцию и её
поведение на всей ОДЗ.
Предположим, что это график исследуемой функции.
Есть точка х1. Касательная наклонена
под острым углом α1.
Значит в точке х1 функция
возрастает.
В точке х2 касательная параллельна оси Ох, значит х2 – точка экстремума.
В точке х3
угол α3 наклона касательной будет тупым, тангенс
будет величиной отрицательной, значит, производная отрицательная и функция
здесь убывает.
И, наконец, в точке х4 производная равна нулю и дальше функция
возрастает.
Выясняется, что функция возрастает на интервалах,
где производная больше нуля:
если же значение производной отрицательное, то
функция убывает:
Вся ОДЗ состоит из отдельных точек, значит, надо
выделить те интервалы, на которых производная меньше нуля и на которых
производная больше нуля. Эти интнрвалы определяют те участки ОДЗ,
на которых функция либо возрастает, либо убывает.
Вся ОДЗ состоит из отдельных точек, значит, надо
выделить те интервалы, на которых производная меньше нуля, на которых
производная больше нуля, и они определят те участки ОДЗ,
на которых функция либо возрастает, либо убывает. Этот же вывод получим,
рассматривая соотношение
∆у ≈ f ‘ (x0)
∙ ∆х.
На тех областях, на
которых производная f ‘ (x0) меньше нуля, ∆у < 0 функция убывает.
Соответственно, на тех областях ОДЗ, где производная f ‘ (x0) больше нуля
∆у ˃ 0 функция
возрастает.
Теперь можно написать, где
убывает, а где возрастает данная нам функция.
На рисунке показаны
промежутки возрастания функции.
Функция y = f (x) возрастает при
х ∈ (–∞; x2], [х4;
+∞)
Теперь выясним, где
данная функция убывает.
На рисунке показаны
промежутки убывания функции.
Функция y = f (x) убывает при
х ∈ [х2; x4]
В точках х2 и x4 производная равна
нулю, поэтому их значения не включаем.
Но мы рассматриваем
тот случай, когда производная меньше нуля. Но функция убывает, когда х принадлежит
отрезку
[х2; x4]
При этом эти точки включены также в интервалы, когда функция возрастает.
Делаем вывод: интервалы знакопостоянства
f ‘ (x0)
являются интервалами монотонности
f (x).
Необходимо научиться находить промежутки возрастания и убывания функции с
помощью производной. Для этого надо найти производную, выделить её интервалы
знакопостоянства и тем самым мы узнаем, где эта функция монотонно убывает и где
она монотонно возрастает.
Точки экстремумов функции.
Мы рассмотрели
случаи, когда производная меньше нуля и когда она больше нуля. Также важный
случай, когда производная равна нулю.
Точка максимума и
точка минимума функции.
Рассмотрим рисунок.
Точка х2 – точка максимума функции (max), если существует окрестность точки х2, для которой
f (x2)
˃ f (x),
то есть, если
значение функции в этой точке больше чем значение функции в любой точке её
окрестности.
Точка х4 – точка минимума функции (min), если существует окрестность точки х4, для которой
f (x4)
< f (x),
то есть, если
значение функции в этой точке меньше чем значение функции в любой точке её
окрестности.
При поиске
наибольшего и наименьшего значения функции на всей ОДЗ,
то есть её глобальных экстремумов, нужно помнить, что они могут не совпадать с
её локальными экстремумами, точками, где производная меняет знак.
ПРИМЕР:
Рассмотрим функцию:
у = 2х2(х2 – 1), х ∈ [–2; 2].
Здесь точка х = 0 – точка локального максимума. Функция здесь равна нулю.
Точка х = ± 2 – точка глобального максимума, в них функция
равняется 24.
Далее, когда речь пойдёт об экстремумах, подразумеваются
локальные экстремумы.
Как узнать, где точка максимума, а где точка минимума,
подскажет производная.
На рисунке наглядно показано, что до точки х2 функция возрастает, производная f ‘ (x) ˃ 0, а после этой точки
функция убывает, производная f ‘ (x) < 0.
А значение производной в точке x2:
f ‘ (x0) = 0.
Мы получили достаточный признак максимума:
Производная равна нулю и при этом знак производной
меняется с плюса на минус при переходе аргумента через точку x2.
Рассмотрим точку x4. Производная в точке
f ‘ (x4) = 0.
Но является ли данная точка точкой экстремума ? Производная слева
от этой точки отрицательна, касательная наклонена под тупым углом. Производная
справа положительная, значит, производная меняет знак с минуса на плюс при
переходе через точку x4, значит точка x4 – точка минимума.
Мы рассмотрели
точку минимума и точку максимума, и достаточный признак точки минимума и точки
максимума.
Как узнать,
является ли точка точкой минимума или точкой максимума ? Нужно взять
производную и приравнять её к нулю. Тогда мы найдём точки x2, x4 и так далее. Это
внутренние точки области определения, в которых производная равна нулю.
Критическая точка
функции – это внутренняя точка области определения, в которой производная равна
нулю или не существует. То есть x2 и x4 –
критические точки.
х2 – точка max,
x4 – точка min.
Но так происходит
не всегда.
Точка перегиба.
Рассмотрим следующую
функцию.
Производная в
точке x0 равна нулю:
f ‘ (x0) = 0,
касательная
параллельна оси Ох.
Является ли она точкой
экстремума ? Нет. Почему ? Потому что до точки
x0 производная положительна, функция возрастает.
И после этой точки производная также
положительна.
Функция возрастает
и слева и справа от точки, значит, x0 не является точкой
экстремума.
Лемма Ферма.
Если функция f (x) имеет производную и в точке x0 имеет экстремум,
то значение производной в этой точке равно
0.
Это необходимый
признак, из него мы выясняем, какие точки нам нужны для исследования. Все
остальные отметаем.
Данный рисунок
иллюстрирует нам то, что равенство нулю – это лишь необходимый признак
экстремума, но не достаточный.
Точка перегиба, локальный
характер точек экстремума.
ПРИМЕР:
Рассмотрим функцию, график которой изображён на
рисунке.
х1 – точка минимума,
х2 – точка максимума,
х3 – точка минимума,
х1 – точка минимума,
значит, существует некая окрестность, где
значение функции является наименьшим, но существует также вторая точка
минимума.
у(х1) ˃ у(х3),
таким образом, глобально, наименьшим значением функции на
всеё ОДЗ является значение функции в точке х3.
х2 – точка максимума,
но наибольшего значения данной функции не существует, потому что есть точки, в
которых значение функции значительно больше, чем в точке х2.
Таким образом, данным рисунком мы подчёркиваем локальный
характер точек экстремума. Можно записать:
унаим = у(х3);
у(х3) ≤ у(х).
То есть значение функции в точке х3 меньше, либо равно значению функции в любой
точке ОДЗ.
Порядок исследования функции.
Нам известно, как
по знаку производной найти интервалы монотонного возрастания или убывания
функции, известно также, каким образом определить точки максимума и точки
минимума функции.
Теперь определим
порядок исследования функции на экстремумы и на монотонность с помощью
производной.
Порядок такой:
1. Найти f ‘ (x).
2. Выделить интервалы знакопостоянства f ‘ (x). Они определят интервалы монотонности f (x).
3. Найти критические точки (внутренние
точки ОДЗ, в которых f ‘ (x) = 0 или не существует)
4. Выделить из критических точек и концов отрезка
точки экстремума и исследовать их.
ПРИМЕР:
Найти интервалы монотонности и точки экстремума функции
у = х2 с помощью у‘.
РЕШЕНИЕ:
Найдём производную и построим её график:
у‘ = 2х.
Приравняем производную к нулю и находим единственное
решение:
у‘ = 0,
2х = 0,
х = 0.
х = 0 – единственная
критическая точка.
Рассмотрим на графиках левый интервал производной и левый
интервал функции.
Видим, что на интервале левее производная
отрицательна.
Значит, функция убывает.
А на интервале правее производная
положительна.
Значит, функция
возрастает.
ОТВЕТ:
Функция у = х2 убывает
в интервале
х ∈
(–∞; 0],
возрастает в интервале
х ∈
[0; +∞),
точка минимума
х = 0.
Итак, мы
исследовали функцию с помощью производной, но мы знали свойства этой функции,
знали, где она возрастает, где убывает, и знали точку экстремума.
Видно, что результаты,
которые получены с помощью производной, совпадают с результатами, найденными
ранее.
Примеры решения задач с
применением производной при исследовании функций.
ЗАДАЧА:
Найдите угловой коэффициент касательной к графику функции:
f (x) = ln (5х + 4)
в точке с абсциссою х0 = 5.
РЕШЕНИЕ:
Угловой коэффициент касательной в точке с абсциссою х0:
k = f ‘ (х0).
ОТВЕТ: 5/29
ЗАДАЧА:
Найдите наименьшее значение функции:
f (x) = 2х3 – 15х2 + 24х + 3
на промежутку [0; 2].
РЕШЕНИЕ:
Сначала найдём производную этой функции:
f ‘ (x)
= 6х2 – 30х + 24.
Затем приравняем эту производную к нулю.
f ‘ (x)
= 0.
В результате преобразования
этого уравнения
6х2 – 30х + 24 = 0,
6(х2 – 5х + 4) = 0,
получим следующее уравнение:
х2 – 5х + 4 = 0.
Решим это уравнение и найдём его корни:
х1 = 1, х2 = 4.
Значит, критическими точками этой функции будут
точки 1 и 4.
Промежутку [0; 2] принадлежит
только точка х = 1.
Найдём значение функции на концах промежутка и в
критичной точке:
f (0)
= 2х3 – 15х2 + 24х + 3 =
2∙03 – 15∙02 + 24∙0 + 3 = 3.
f (0)
= 3,
f (2)
= 2х3 – 15х2 + 24х + 3 =
2∙23 – 15∙22 + 24∙2 + 3 =
16 – 60 + 48 + 3 =
7.
f (2)
= 7.
f (1)
= 2х3 – 15х2 + 24х + 3 =
2∙13 – 15∙12 + 24∙1 + 3 =
2 – 15 + 24 + 3 =
14.
f (1)
= 14,
и выберем среди них наименьшее:
f (0)
= 3.
Поэтому:
ОТВЕТ: 3
ЗАДАЧА:
Найдите точку минимума функции:
f (x) = х2 – 1/4 х4.
РЕШЕНИЕ:
Сначала найдём производную этой функции:
f ‘ (x)
= 2х – х3.
Затем приравняем её к нулю:
2х – х3
= 0.
Решаем это уравнение и находим корни:
х(2
– х2) = 0,
х1 = 0, х2
= –√͞͞͞͞͞2, х3 = √͞͞͞͞͞2.
Разобьём точками
–√͞͞͞͞͞2, 0,
√͞͞͞͞͞2
область определения функции на промежутки и определим
знак производной на каждом из них.
Для определения знака производной левее точки –√͞͞͞͞͞2, возьмём любое
значение на числовой оси, которое меньше
–√͞͞͞͞͞2. Например –2 и подставим его в производную:
f ‘ (x)
= х(2 – х2) =.
= (–2)(2 – (–2)2) = (–2)(2 – 4) =
= (–2)(–2)
= +4.
Получилось положительное число, значит знак
производной на этом участке
положительный (смотрите
рисунок).
На участке (–√͞͞͞͞͞2; 0), знак производной отрицательный, так как подставляя в производную
f ‘ (x)
= х(2 – х2) =
значение х = –1, находящееся внутри
этого промежутка, получаем:
= (–1)(2 – (–1)2) = (–1)(2
– 1) =
= (–1)(+1) = (–1).
На участке (0; √͞͞͞͞͞2), знак производной положительный, так как подставляя в производную
f ‘ (x)
= х(2 – х2) =
значение х = 1, находящееся внутри
этого промежутка, получаем:
= (+1)(2 – (+1)2) = (+1)(2
– 1) =
= (+1)(+1) = (+1).
На участке (√͞͞͞͞͞2; +∞), знак производной отрицательный, так как
подставляя в производную
f ‘ (x)
= х(2 – х2) =
значение х = +2, находящееся внутри
этого промежутка, получаем:
= (+2)(2 – (+2)2) = (+2)(2
– 4) =
= (+2)(–2) = (–4).
Так как при переходе через
точку 0 производная меняет
свой знак с минуса на плюс, то в точке 0 функция будет иметь
минимальное значение. Поэтому:
fmin = f(0) = 0.
ОТВЕТ: 0
ЗАДАЧА:
При каком значении
а набольшее значение функции
f (x) = –х2 + 2х + а
равно 3 ?
РЕШЕНИЕ:
Найдём производную функции:
f ‘ (x)
= –2х + 2.
Приравняем её к нулю и
найдём х:
f ‘ (x)
= 0,
–2х + 2 = 0, х =
1.
Определим знак производной
на каждом из промежутков.
Для определения знака производной левее точки 1, возьмём любое значение на числовой оси,
которое меньше 1. Например, 0 и подставим его в производную функции:
f ‘ (x)
= –2х + 2 = (–2) ∙ (0) + 2 = +2 ˃ 0.
Для определения знака производной правее точки 1, возьмём любое значение на числовой оси,
которое больше 1. Например, 2 и подставим его в производную функции:
f ‘ (x)
= –2х + 2 = (–2) ∙ (2) + 2 = –2 < 0.
Так как в точке 1 производная меняет
свой знак с <<+>> на
<<–>>, то эта точка будет точкою максимуму. Поскольку
fmax (x) = 3, то
–(1)2 +
2 ∙ 1 + а = 3.
Откуда, а = 2.
ОТВЕТ: 2
ЗАДАЧА:
Найдите промежутки возрастания, убывания и точки
экстремумов функции:
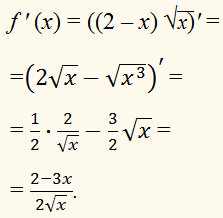
f (x) = (2 – х) √͞͞͞͞͞x.
РЕШЕНИЕ:
Сначала определим область определения функции:
D(f) = [0; +∞).
Затем найдём производную функции и её
критические точки:
Критическими точками будут лишь
те, в которых
f ‘ (x) = 0.
Найдём их:
Разобьём область определения критической точкой 2/3 на промежутки. Определим знак производной
на каждом из них.
Для определения знака
производной левее точки 2/3, возьмём
любое значение на числовой оси, которое меньше 2/3. Например 1/3 и подставим его в производную
Получилось положительное число, значит знак производной
на этом участке положительный (смотрите рисунок).
На участке (2/3; +∞), знак
производной отрицательный, так как подставляя в производную число, большее
чем 2/3, например 1, то получим число меньше нуля.
Функция f (x) возрастает на промежутках, на которых f ‘ (x) ˃ 0 и убывает – на которых f ‘ (x) < 0. Учитывая,
что функция непрерывна в точке 2/3, получим
промежуток убывания
[2/3; +∞),
возрастания –
[0; 2/3].
Так как в точке
2/3 производная меняет свой знак с
плюса на минус, то точка 2/3 является точкой максимуму:
ОТВЕТ:
Промежуток возрастания
[0; 2/3],
Промежуток убывания [2/3; +∞),
ЗАДАЧА:































то кривая выпуклая; если
— кривая вогнутая;
меняет знак при переходе через точку
то точка
является точкой перегиба кривой 










































слева от точки
положительна, а справа — отрицательна, то точка
является точкой максимума.






















































































































































