Отчет
по лабораторной работе оформляется по
требованиям, изложенным в настоящих
методических указаниях (см. ниже). В
некоторых случаях при обработке
результатов измерений удобно пользоваться
графическим методом. Этот метод позволяет
проследить зависимость одной физической
величины от другой (например, зависимость
периода колебаний физического маятника
от расстояния между его центром масс
и осью вращения). Иногда построение
графиков необходимо для определения
усредненных значений тех или иных
параметров. ( Можно, к примеру, найти
ускорение тела по графику зависимости
пути от квадрата времени).
На
основе проведенных расчетов в конспекте
лабораторной работы должны быть построены
экспериментальные графики зависимостей
физических величин, предусмотренные
методическими указаниями. Назначение
графиков — наглядное представление
результатов, поэтому основное требование
к ним – аккуратное и четкое исполнение.
Графики должны легко читаться, для этого
необходимо соблюдать некоторые общие
правила, изложенные ниже.
Если
в работе предусмотрено графическое
представление результатов, то графики
в отчёте выполняются только либо на
миллиметровой бумаге и вклеиваются на
листы А4, либо компьютерным способом.
(бумага в клетку для такой цели не совсем
подходит). В протоколе (конспекте)
лабораторной работы также строятся
графики, но с меньшей точностью, при
этом это возможно на бумаге в клетку.
Считается,
что Вас в школе научили правилам
построения графиков по экспериментальным
точкам, т.е. по таким точкам, для которых
указаны погрешности, с которыми они
определены.
При
построении графиков обычно используется
прямоугольная система координат с
равномерным масштабом. В первую очередь
нужно решить, какая из двух переменных
величин будет отложена по горизонтали
(по оси абсцисс или по оси X), а какая —
по вертикали (по оси ординат или по оси
Y). Полученные экспериментальные данные
наносятся в виде графика Y = Y(Х), где
точки имеют координаты Хn
, Yn.,
Y = Y(Х) — функциональная зависимость, Х
— независимая переменная (аргумент
функции). Значения аргумента (причину)
следует откладывать по оси X , а значение
функции (следствие) — по оси Y. Масштаб
может быть произвольным, но при его
выборе рекомендуем руководствоваться
следующими указаниями.
Г р а ф и к (требования):
-
на
миллиметровке или компьютерным способом,
размер не менее 1/2 тетрадного листа, -
на
графике: оси декартовой системы, на
концах осей — стрелки, индексы величин,
единицы измерения, множители,
Рисунок
1 Внешний вид координатной плоскости с
осями со стрелками
-
на
каждой оси — РАВНОМЕРНЫЙ МАСШТАБ (риски
через равные промежутки, числа через
равное количество рисок, в каждой клетке
1,2,5·10±N
физических единиц), -
под
графиком — полное название графика
Словами, -
на
графике — экспериментальные и
теоретические точки ярко, каждую точку
можно обвести в кружок или треугольник
(если известны погрешности тех величин,
для которых строится график, то их
необходимо отложить в виде прямолинейных
отрезков от каждой экспериментальной
точки в обе стороны), -
форма
графика соответствует теоретической
зависимости (не ломаная).
Толщину
линий принято отсчитывать от толщины
координатной оси – S (0,5 — 1,5 мм), при этом
толщина координатной сетки и штрихов
выбирается S/2 ÷ S/3, а самой изображаемой
функциональной зависимости – 2S (числа
приблизительные, для обеспечения
требуемой точности отсчета допускается
выполнять линии большей или меньшей
толщины). Когда на одной диаграмме
изображаются две или более функциональные
зависимости, целесообразно изображать
их линиями разных типов сплошными,
штриховыми, разным цветом и т.д..
Если
график строится без помощи компьютера,
то нужно выбрать величину расстояния
между соседними метками в миллиметрах
миллиметровки или в клетках, если бумага
в клетку (для протоколов лабораторных
работ). Проводимая
кривая должна занимать весь лист
используемой миллиметровой бумаги. При
этом следует иметь в виду, что пересечение
координатных осей совсем необязательно
должно совпадать с нулевыми значениями
аргумента и функции. Важную роль играет
также удобство построения и использования
графиком. При
выборе нужно следить за тем, чтобы график
получился достаточно квадратным и чтобы
расстояние между соседними метками
выражалось круглым числом сантиметров
(или клеток) или удвоенным или упятеренным
круглым числом.
Т.е.
надо поэтому выбирать такой масштаб,
чтобы координаты любой точки графика
могли быть быстро и легко определены.
Это условие всегда выполняется, если в
единице масштаба (например, в 1 см)
заключается 10n
, 2·10n
или 5·10n
единиц измерения физических величин,
откладываемых по осям координат (n —
любое целое число).
Рассмотрим
требования, предъявляемые к оформлению
графиков на примере зависимости тока
от напряжения в некоторой гипотетической
схеме. Пусть результаты измерений
представлены в виде таблицы.
Таблица
2 Результаты измерений в некоторой
гипотетической схеме
В
первую очередь нужно решить, какая из
двух переменных величин будет отложена
по горизонтали (по оси абсцисс или по
оси X), а какая — по вертикали (по оси
ординат или по оси Y). Нужно стараться
причину откладывать по оси абсцисс, а
следствие — по оси ординат. В нашем
примере логично предположить, что
приложенное к схеме напряжение является
причиной тока. Напряжение отложим по
оси X, а силу тока — по оси Y.
Во
вторую очередь нужно определить диапазон
изменения каждой из двух переменных
величин. В рассматриваемом примере
напряжение U меняется от -0.7 Вольт до 3.1
Вольта, сила тока I изменяется в пределах
от 0 Ампер до 0.063 Ампера.
Далее
нужно выбрать величину шага меток,
которые будут по осям графика. Метки
могут быть двух типов: с подписями в
виде чисел и без них. Мы будем обсуждать
только метки с подписями. Метки без
подписей можно поставить между метками
с подписями в два или пять раз чаще.
Метки нужно ставить через круглые
значения или через удвоенные круглые
значения или через упятеренные круглые
значения. Никогда не ставьте метки
кратные трем (тем более семи) единицам.
Начинают построение диаграмм с выбора
осей и нанесения масштаба. Обычно на
осях делают 5 ÷ 10 делений, рядом с делениями
наносят их числовые значения, обычно с
противоположной стороны оси. Измеренные
значения на шкалы не наносят!
Ось – это
рабочая линейка.
Масштаб
выбирают удобным для считывания, он
сохраняется на всей оси (или до точек
разрыва оси, если они есть). Обычно
выбирают числа не более чем из двух
цифр, заканчивающиеся на 1, 2, 5. Чтобы не
писать нулей, повторяющихся во всех
цифрах и засоряющих график, масштабный
множитель 10n
выносят 1) в множитель к символу измеряемой
величины – рисунок
2 в)
или 2) в единицу ее измерения – рисунок
2 г).
Разумеется, знак показателя степени
масштабного множителя n для данных двух
вариантов будет противоположен (в обоих
приведенных на рисунке
2 вариантах
в)
и г)
масштаб
одинаков).
Рисунок
2 Примеры правильного нанесения масштаба
на оси графика
Рисунок
3 Примеры распространенных ошибок при
выборе масштабов
Вернёмся
к нашему примеру: по каждой оси нужно
поставить от трех до девяти меток.
Диапазон изменения меток должен быть
таким же или чуть шире, чем диапазон
изменения соответствующей переменной
величины.
Разберемся
с метками по оси напряжений. Если взять
метки с шагом 0.5 Вольта, то метки надо
ставить в диапазоне от -1.0 Вольта до 3.5
Вольта. Всего десять меток. Это чуть
больше, чем хотелось бы, но вполне
допустимо. Если взять метки с шагом 1
Вольт, то диапазон изменения меток можно
взять от -1 Вольта до 3 Вольт. Всего пять
меток.
Формально
нужно было бы поставить еще метку 4
Вольта, но можно ее и не ставить, так как
метка 3 Вольта очень близка к наибольшему
значению напряжения 3.1 Вольта. Если
брать метки с шагом 2 Вольта, то диапазон
меток от -2 Вольт до 4 Вольт. Всего четыре
метки. Что тоже допустимо, но лучше
остановиться на шаге в 1 Вольт.
Метки
по оси ординат удобно выбрать с шагом
0.01 Ампера (от 0 Ампер до 0.07 Ампера) или с
шагом 0.02 Ампера (от 0 Ампер до 0.06 Ампер
или до 0.08 Ампер). Все три варианта
одинаково приемлемы. Выберем второй
вариант.
В
нашем примере выберем расстояние между
соседними метками 2 см по каждой оси.
После того, как масштаб выбран, следует
начертить координатные оси, отметив на
них деления масштаба и указать буквенные
обозначения и размерность откладываемых
величин. Если эти величины очень малы
(или очень велики) при нанесении масштаба
удобно использовать рационализированную
форму записи, указывая порядок величины
рядом с ее буквенным обозначением. При
этом допускается два вида записи. Пусть,
например, индукция магнитного поля
катушки с током меняется в пределах
(2÷8) 10-5
Тл. На графике зависимости В(I) около
делений масштаба надо проставить числа
2, 3, 4 и т.д., а сверху написать либо В,
10-5
Тл, либо Вx10-5,
Тл.
Возьмем
бумагу в клетку, нарисуем оси координат,
расставим метки по осям, поставим точки
на плоскости, соответствующие
экспериментальным значениям тока и
напряжения. Каждую экспериментальную
точку на графике нужно обозначить
крестиком, размер которого по горизонтали
и вертикали соответствует погрешностям
измерения данной точки. Возьмем бумагу
в клетку, нарисуем оси координат,
расставим метки по осям, поставим точки
на плоскости, соответствующие
экспериментальным значениям тока и
напряжения. Каждую экспериментальную
точку на графике нужно обозначить
крестиком, размер которого по горизонтали
и вертикали соответствует погрешностям
измерения данной точки.
Рисунок
4 Пример построения экспериментальных
точек
Теперь
через экспериментальные точки нужно
провести линию графика. Линия не должна
быть ломаной, она не должна соединять
центры всех точек. Линия должна быть
плавной. Если Вы считаете, что точки
должны лежать на прямой линии, то можно
приложить линейку и, подобрав на глаз
наклон и смещение, провести прямую. Если
точки не обязаны лежать на прямой линии,
то проведите плавную линию с тем
количеством изгибов, которые, по Вашему
мнению, не случайны, а соответствуют
природе явления.
Кривая на
графике проводится таким образом, чтобы
были видны отдельные точки, полученные
в результате эксперимента. Вначале
кривая проводится карандашом, чтобы
можно было вносить необходимые поправки
при анализе окончательных результатов.
Оси
могут начинаться не с нуля, а с любого
удобного значения, чтобы график занимал
наибольшее пространство на координатной
плоскости и не оставалось пустых мест,
но при этом все точки графика должны
быть внутри и не попадать на ограничительные
оси / линии сетки:
Рисунок
5 Примеры построения графиков
Если
и горизонтальная и вертикальная оси
начинаются с нуля, «0» наносят только
один раз (см. рисунок 5).
При
изображении графика, располагающегося
более чем в одном квадранте координатной
плоскости, штрихи, по возможности,
направляются в сторону графика, а цифры
масштаба располагаются с противоположной
стороны оси
Переменную
величину можно обозначать:
1.
Наименованием или наименованием и
символом — то есть непосредственно
написать словами, что отложено по осям.
Располагается такая надпись вдоль оси,
по ее центру.
2.
Символом (R, C, U )
3.
Символьным математическим выражением

Символы
должны быть общепринятыми или разъяснены
в подписи к графику и/или в тексте.
Обозначения
в виде символов и математических
выражений следует располагать
горизонтально вне зависимости от
ориентации самой оси.
Обозначения
символом или математическим выражением
обычно располагаются в конце соответствующей
оси, при этом их единицы измерения, как
и для варианта 1, располагаются сразу
после обозначения изображаемой переменной
через запятую или в скобках. Единицы
измерения нужно указывать только в
унифицированном сокращенном виде по
Российскому (кириллицей) или международному
(латиницей) стандарту. Обозначения
изображаемых переменных величин и их
единиц измерения.
Каждый
график должен иметь краткую подпись
(обязательно внизу), поясняющую его
содержание и обозначение показанных
величин. На поле самого графика допускается
размещение краткой текстовой или иной
существенной информации, облегчающей
понимание результатов. (см
рисунок 5)
Рисунок
5 Пример построения функции по
экспериментальным точкам
Если
график строится с помощью компьютера,
то возможно Вы не знаете, как поставить
крестики нужного размера, и как провести
плавную кривую. Пусть тогда компьютер
не рисует ни того, ни другого.
Экспериментальные точки пусть только
наметит маленькими точками, а крестики
нужного размера и плавную кривую (или
прямую) нарисуйте авторучкой.
Если
все значения какой-то переменной смещены
далеко от нуля, то изображение ортогональной
оси можно провести не через нулевую
точку данной переменной, а через удобную
смещенную точку, но только совпадающую
с одной из меток оси.
Ни
в коем случае не отмечайте на осях
графика значения экспериментальных
точек, отмечайте только круглые значения
меток. Некоторые студенты умудряются
откладывать по осям не экспериментальные
значения, а номера точек. А значения
приписывают по осям вместо меток. В
результате независимо от природы
измеряемых величин получается прямая
линия под 45 градусов. Надеюсь, Вы так
делать не будете.
Соседние файлы в предмете Физика
- #
- #
- #
- #
- #
- #
- #
- #
- #
- #
- #
Зарегистрируйтесь для доступа к 15+ бесплатным курсам по программированию с тренажером
Масштаб осей графика
—
Аналитические задачи в бизнесе
Представим такую ситуацию: инвестору нужно оценить, акции какой компании наиболее стабильны в цене за последний месяц:
По этим графикам котировок напрашивается следующий вывод: цена акций компании А стабильнее, ведь ее цена меньше изменяется, чем цена компании Б.
Но на самом деле, данные на этих графиках одни и те же. Разница в масштабе вертикальной оси — обратите внимание, что она скрыта. Теперь посмотрим, как выглядят эти графики с вертикальной осью:
Чтобы не делать таких неверных выводов, в этом уроке мы изучим масштаб осей графика. Мы подробнее рассмотрим, как масштаб влияет на интерпретацию графика и от чего зависит выбор правильного масштаба. В итоге мы настроим масштаб графика продаж в Google Sheets. Понимание этой темы поможет не дать себя обмануть при решении аналитических задач.
Что такое масштаб осей графика
График помогает сделать выводы относительно показателей по горизонтальной и вертикальной осям. При этом важен масштаб оси — это длина одного деления оси.
Например, если по горизонтальной оси время, то одним делением может быть день, месяц или год. А по вертикальной оси может быть любой интервал, особенно если это вещественные или целые числа. В зависимости от разброса данных можно задавать любой интервал, например, одно деление — 25 единиц.
Рассмотрим подробнее случай с акциями компании. Также посмотрим, как изменение масштаба влияет на интерпретацию графика. Для начала посмотрим, как выглядят исходные данные для построения графика в табличном виде:
Теперь посмотрим на первый способ построения графика:
На этом графике:
- Минимальное значение вертикальной оси — 0 единиц
- Максимальное значение вертикальной оси — 25 единиц
- Деление вертикальной оси — 5 единиц
При таком масштабе изменения от 0 до 5 единиц выглядят несущественными.
Выбор такого масштаба может быть оправдан, если с точки зрения бизнеса разница в десятичной и сотой частях числа не волнует инвестора. Например, это цена в рублях, а изменения в копейках не будут стоить больших финансовых потерь. Но если это значения цен в тысячах, тогда такой график может оказаться неподходящим для анализа.
Рассмотрим второй вариант построения графика:
Здесь масштаб другой:
- Минимальное значение вертикальной оси — 18 единиц
- Максимальное значение вертикальной оси — 21 единица
- Деление вертикальной оси — 1 единица
На таком графике четче видны изменения между соседними точками. Если взглянуть на наши табличные данные, можно увидеть, что значения цен варьировались от 18 до 20. При таком диапазоне значений мы можем рассмотреть детальнее оси изменения графика.
Если бы наш инвестор рассматривал котировки не акций, а криптовалюты, то такой график мог быть полезнее. Цена на биткоин уже достигает 20 тысяч долларов, поэтому изменения на 100-500 долларов могли быть существенными для инвестиционного анализа.
Так на примере изменения масштаба вертикальной оси мы увидели, как может меняться интерпретация графика. Теперь мы научимся правильно выбирать масштаб.
Как правильно настроить масштаб
Ключевыми параметрами в настройке оси являются минимальное и максимальное значение оси. Программы автоматически подбирают такие значения в зависимости от имеющихся данных. Однако такие настройки всегда следует проверять. Правильный масштаб зависит от бизнес-логики. Другими словами, масштаб выбирается исходя из того, что именно мы хотим показать.
Представим, у нас есть данные по объемам продаж товаров категории «Еда и напитки» одной фирмы за последние две недели.
Вот так программа автоматически подобрала масштаб при создании графика:
С одной стороны, график построен корректно. Но нельзя сказать это с уверенностью, ведь мы не знаем, зачем нужен этот график.
Допустим, руководитель этой компании хочет понять, насколько динамика продаж этой категории сопоставляется с похожими категориями. Нам известно, что объемы продаж по похожим категориям за тот же период достигали 2000 единиц. Тогда будет справедливо изменить максимальное значение вертикальной оси на 2000:
При таком масштабе график сместился вниз, от чего стала видна реальная картина — продажи еды и напитков низкие по сравнению с похожими категориями.
Также видно, что изменения графика стали менее заметными, так как увеличилась длина деления. При максимальном значении в 1000 длина деления была 250, а сейчас — 500. Однако в этом примере было важно отобразить общую динамику в сравнении с другими категориями, поэтому детализацией изменений можно было пренебречь.
Следует помнить, что и минимальное значение не всегда равно нулю. Например, у компании каждый день продается не менее 200 единиц товаров данной категории, то рассматривать значения ниже 200 нет смысла — такие значения не встречаются на практике.
Получается, что для правильной настройки масштаба следует знать минимальную и максимальную величины показателя, которые зависят от логики поставленной аналитической задачи.
Как настроить масштаб осей графика в Google Sheets
В качестве примера изменим масштаб вертикальной оси графика продаж «Еда и напитки». Минимальное значение изменим на 200, а максимальное — на 2000. Посмотрим, как это сделать в Google Sheets.
-
Для начала откроем файл с графиком в Google Sheets. Вспомнить, как это делается, поможет эта заметка из официальной справки Google
-
Проверяем, что график отобразился корректно. Нажимаем на кнопку в виде трех точек в правом верхнем углу. В появившемся окне выбираем «Изменить диаграмму»:
-
Далее в появившемся редакторе диаграмм выбираем «Дополнительные» настройки, чтобы настроить масштаб:
-
Находим интересующий нас раздел «Вертикальная ось» и нажимаем на него:
-
Задаем минимальное и максимальное значение оси:
На последнем скриншоте видно, что программа автоматически подобрала длину одного деления (200 единиц) и отобразила новый график.
Рассмотрим еще один способ, который в конкретном примере может быть удобнее.
-
Кликаем правой кнопкой мыши по графику, во всплывающем окне нажимаем на «Ось», а затем — на «Левая вертикальная ось»:
-
Должен отобразиться редактор диаграмм, в котором мы можем поменять нужные параметры:
Выводы
В этом уроке мы изучили, что такое масштаб осей графика. Теперь вы знаете, как настроить масштаб так, чтобы он не привел вас к неверным выводам.
Напомним основные выводы урока:
- С изменением масштаба может измениться интерпретация графика. При одном масштабе изменения могут казаться значительными, при другом — совсем незаметными
- Масштаб оси — это длина одного деления оси. В современных программах она выставляется автоматически в зависимости от минимального и максимального значения
- Минимальное и максимальное значения оси необходимо определять с помощью бизнес-логики. Важно знать, до какого минимального значения может опуститься показатель, а также на какое максимальное значение он может подняться
- Настроить масштаб осей графика в Google Sheets можно в редакторе диаграмм в разделе «Дополнительное»
Самостоятельная работа
Настройка масштаба — это не только про изменение настроек самого графика, но и про правильный выбор данных для отображения горизонтальной или вертикальной осей.
Представим, что руководителю частной медицинской клиники «МедСмарт» за последнюю неделю пришло очень много жалоб от клиентов. Все жалобы касаются возросшего времени ожидания в очереди к регистратуре клиники. Бизнесу нужно понять, из-за чего это произошло.
Можно построить график количества клиентов за последние две недели, чтобы посмотреть, увеличилось ли количество клиентов за последнюю неделю.
Нажмите, чтобы увидеть тестовые данные
Шаг 1. Построим график количества клиентов за последние две недели.
Нажмите, чтобы увидеть, как должен выглядеть график
График будет выглядеть так:
Шаг 2. Нам нужно выяснить, стало ли больше клиентов за последнюю неделю. Сделаем вывод, помог ли этот график ответить на этот вопрос.
Нажмите, чтобы увидеть ответ
Судя по этому графику, количество клиентов в день варьируется от 25 до 30, причем как за прошлую неделю, так и за позапрошлую. Сильные изменения не видны.
Графика недостаточно, чтобы сделать верные выводы. По горизонтальной оси графика — деления в сутки. Поэтому далеко не факт, что не возросла нагрузка на персонал в разрезе одного дня. Можно построить график почасовых данных.
Шаг 3. Построим график количества клиентов в разрезе почасовых данных. Настроим график так, чтобы удобно было видеть, к какому дню и часовому промежутку относится точка на графике.
Нажмите, чтобы увидеть тестовые данные
Нажмите, чтобы увидеть, как может выглядеть график
График будет выглядеть так:
Для удобства отображения на оси можно изобразить даты, а количество делений оставить таким, чтобы день делился на 3 части.
Так мы видим, что у нас есть 14 дней, разделенных на три часовые метки — 08:00, 16:00 и 22:00.
Шаг 4. Все еще нужно выяснить, стало ли больше клиентов за последнюю неделю. Сделаем вывод, помог ли этот график в этот раз.
Нажмите, чтобы увидеть ответ
Новый график с почасовыми данными выглядит так:
Из такого графика видно, что на позапрошлой неделе в первой половине дня было около 10 клиентов. А вот на следующей неделе количество клиентов в той же половине дня стало в полтора раза больше. Получается, что суммарное количество клиентов в день не изменилось, но клиенты стали больше приходить утром. Это говорит о возросшей нагрузке.
Возможно, в утренние часы в регистратуре работает всего один сотрудник, а днем — несколько. Значит, в связи с возросшей нагрузкой на утро, стоит подключить еще одного сотрудника к работе. Но такой вывод делать пока рано — нужно еще больше данных о клинике.
Одно ясно точно — если бы мы остановились на первом графике с подневными данными, мы могли бы сделать неверный вывод и не заметить возросшую нагрузку на персонал.
Дополнительные материалы
- Как настроить оси графика в Google Sheets
- Еда и напитки
Остались вопросы? Задайте их в разделе «Обсуждение»
Вам ответят команда поддержки Хекслета или другие студенты.
Для полного доступа к курсу нужен базовый план
Базовый план откроет полный доступ ко всем курсам, упражнениям и урокам Хекслета, проектам и пожизненный доступ к теории пройденных уроков. Подписку можно отменить в любой момент.
Получить доступ
Масштабирование функций может сильно изменить ваши результаты при использовании определенных алгоритмов и иметь минимальный эффект или вообще не повлиять на другие. Чтобы понять это, давайте разберемся, почему необходимо масштабировать функции, какие методы масштабирования следует использовать и когда следует масштабировать наши функции.
Почему масштабирование
В большинстве случаев ваш набор данных будет содержать функции, сильно различающиеся по величине, единицам измерения и диапазону. Но поскольку большинство алгоритмов машинного обучения в своих вычислениях используют эвклидово расстояние между двумя точками данных, это является проблемой.
Если оставить их в покое, эти алгоритмы учитывают только количество функций, не обращая внимания на единицы измерения. Результаты будут сильно различаться для разных единиц, от 5 кг до 5000 г. Объекты с большими звездными величинами будут иметь гораздо большее значение при расчетах расстояний, чем объекты с низкими звездными величинами.
Чтобы подавить этот эффект, нам нужно привести все функции к одному и тому же уровню. Этого можно добиться масштабированием.
Как масштабировать функции
Существует четыре распространенных метода масштабирования функций.
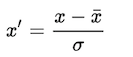
- Стандартизация:
Стандартизация заменяет значения их Z-баллами.
Это перераспределяет функции со средним значением μ = 0 и стандартным отклонением σ = 1. sklearn.preprocessing.scale помогает нам внедрять стандартизацию в Python.
2. Средняя нормализация:
Это распределение будет иметь значения от -1 до 1 с μ = 0.
Стандартизация и Нормализация среднего могут использоваться для алгоритмов, предполагающих нулевые центрированные данные, таких как Анализ главных компонентов (PCA).
3. Минимальное и максимальное масштабирование:
Это масштабирование приводит к значению от 0 до 1.
4. Единичный вектор:
Масштабирование выполняется с учетом того, что вся векторная функция объекта имеет единичную длину.
Методы Min-Max Scaling и Unit Vector позволяют получить значения в диапазоне [0,1]. Это очень полезно при работе с объектами с жесткими границами. Например, при работе с данными изображения цвета могут варьироваться от 0 до 255.
Когда масштабировать
Эмпирическое правило, которому я следую здесь, — это любой алгоритм, который вычисляет расстояние или предполагает нормальность, масштабируйте ваши черты !!!
Вот несколько примеров алгоритмов, в которых важно масштабирование функций:
- k-ближайших соседей с евклидовой мерой расстояния чувствителен к величине и, следовательно, должен масштабироваться так, чтобы все объекты взвешивались одинаково.
- Масштабирование имеет решающее значение при выполнении анализа основных компонентов (PCA). PCA пытается получить функции с максимальной дисперсией, а дисперсия высока для функций с большой величиной. Это смещает PCA в сторону объектов большой величины.
- Мы можем ускорить градиентный спуск путем масштабирования. Это связано с тем, что θ будет быстро снижаться на малых диапазонах и медленно на больших диапазонах, и поэтому будет неэффективно колебаться до оптимума, когда переменные очень неравномерны.
- Модели на основе деревьев не являются моделями, основанными на расстоянии, и могут обрабатывать различные диапазоны функций. Следовательно, при моделировании деревьев масштабирование не требуется.
- Такие алгоритмы, как Линейный дискриминантный анализ (LDA), Наивный байесовский анализ по своей конструкции оборудованы для решения этой проблемы и соответственно присваивают вес функциям. Выполнение масштабирования функций в этих алгоритмах может не иметь большого эффекта.
Надеюсь, вы поняли почему, как и когда масштабирования функций.
Я хотел бы услышать больше о ваших лучших практиках и практических правилах. Пожалуйста, прокомментируйте ниже, чтобы просветить нас всех одним и тем же.












