При работе с иррациональными числами наибольшие затруднения возникают в случае, когда необходимо извлечь корень из суммы или разности двух чисел: чаще одного рационального, а другого — иррационального. Рассмотрим на примере:
Так как отсутствует формула, позволяющая разбить данный корень на разность двух корней,
мы воспользуемся следующими формулами:
и
Таким образом, выделив под корнем три слагаемых и свернув их в формулу квадрата разности (в нашем случае), извлечем корень из квадрата, что упростит дальнейшие вычисления.
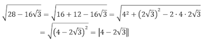
Итак, начнем с иррационального числа, в нашем случае это -16√3. То, что число отрицательное, показывает нам, что сворачивать будем в квадрат разности. Число -16√3 содержит в себе удвоенное произведение двух чисел. Т.е. -16√3=-2ab. Это означает, что ab=8√3. Переберем все возможные варианты:
- 8√3=8*√3;
- 8√3=2*4√3;
- 8√3=4*2√3;
- 8√3=1*8√3.
Для формулы необходимо к удвоенному произведению добавить сумму квадратов выражений a и b. Выполним это для каждого из вариантов и определим, в каком из случаев сумма будет составлять 28, чего требует условие.
- -2*8*√3+64+3=67-16√3;
- -2*2*4√3+4+48=52-16√3;
- -2*4*2√3+16+12=28-16√3;
- -2*1*8√3+1+192=193-16√3.
Получается, что нам подходит третий случай, в котором выражение 28-16√3 раскладывается в формулу квадрата разности двух выражений: 4 и 2√3. Свернем по формуле и продолжим вычисления:
Теперь необходим раскрыть модуль, используя определения модуля. Для этого нужно определить знак подмодульного выражения. Т.к. 4>2√3 (чтобы узнать, какое число больше, можно просто возвести оба этих числа в квадрат. И т.к. квадрат 4 равен 16, а квадрат 2√3 равен 12 и 16>12, то и 4>2√3), то модуль раскрывается с тем же знаком, т.е. |4-2√3|=4-2√3.
Для закрепления данной темы предлагаю вам самостоятельно извлечь корень из следующих выражений:
Факт 1.
(bullet) Возьмем некоторое неотрицательное число (a) (то есть (ageqslant 0)). Тогда (арифметическим) квадратным корнем из числа (a) называется такое неотрицательное число (b), при возведении которого в квадрат мы получим число (a): [sqrt a=bquad text{то же самое, что }quad a=b^2] Из определения следует, что (ageqslant 0, bgeqslant 0). Эти ограничения являются важным условием существования квадратного корня и их следует запомнить!
Вспомним, что любое число при возведении в квадрат дает неотрицательный результат. То есть (100^2=10000geqslant 0) и ((-100)^2=10000geqslant 0).
(bullet) Чему равен (sqrt{25})? Мы знаем, что (5^2=25) и ((-5)^2=25). Так как по определению мы должны найти неотрицательное число, то (-5) не подходит, следовательно, (sqrt{25}=5) (так как (25=5^2)).
Нахождение значения (sqrt a) называется извлечением квадратного корня из числа (a), а число (a) называется подкоренным выражением.
(bullet) Исходя из определения, выражения (sqrt{-25}), (sqrt{-4}) и т.п. не имеют смысла.
Факт 2.
Для быстрых вычислений полезно будет выучить таблицу квадратов натуральных чисел от (1) до (20): [begin{array}{|ll|}
hline
1^2=1 & quad11^2=121 \
2^2=4 & quad12^2=144\
3^2=9 & quad13^2=169\
4^2=16 & quad14^2=196\
5^2=25 & quad15^2=225\
6^2=36 & quad16^2=256\
7^2=49 & quad17^2=289\
8^2=64 & quad18^2=324\
9^2=81 & quad19^2=361\
10^2=100& quad20^2=400\
hline end{array}]
Факт 3.
Какие действия можно выполнять с квадратными корнями?
(bullet) Сумма или разность квадратных корней НЕ РАВНА квадратному корню из суммы или разности, то есть [sqrt apmsqrt bne sqrt{apm b}] Таким образом, если вам нужно вычислить, например, (sqrt{25}+sqrt{49}), то первоначально вы должны найти значения (sqrt{25}) и (sqrt{49}), а затем их сложить. Следовательно, [sqrt{25}+sqrt{49}=5+7=12] Если значения (sqrt a) или (sqrt b) при сложении (sqrt
a+sqrt b) найти не удается, то такое выражение дальше не преобразуется и остается таким, как есть. Например, в сумме (sqrt
2+ sqrt {49}) мы можем найти (sqrt{49}) – это (7), а вот (sqrt
2) никак преобразовать нельзя, поэтому (sqrt 2+sqrt{49}=sqrt
2+7). Дальше это выражение, к сожалению, упростить никак нельзя
(bullet) Произведение/частное квадратных корней равно квадратному корню из произведения/частного, то есть [sqrt acdot sqrt b=sqrt{ab}quad text{и}quad
sqrt a:sqrt b=sqrt{a:b}] (при условии, что обе части равенств имеют смысл)
Пример: (sqrt{32}cdot sqrt 2=sqrt{32cdot
2}=sqrt{64}=8);
(sqrt{768}:sqrt3=sqrt{768:3}=sqrt{256}=16);
(sqrt{(-25)cdot (-64)}=sqrt{25cdot 64}=sqrt{25}cdot sqrt{64}=
5cdot 8=40).
(bullet) Пользуясь этими свойствами, удобно находить квадратные корни из больших чисел путем разложения их на множители.
Рассмотрим пример. Найдем (sqrt{44100}). Так как (44100:100=441), то (44100=100cdot 441). По признаку делимости число (441) делится на (9) (так как сумма его цифр равна 9 и делится на 9), следовательно, (441:9=49), то есть (441=9cdot 49).
Таким образом, мы получили: [sqrt{44100}=sqrt{9cdot 49cdot 100}=
sqrt9cdot sqrt{49}cdot sqrt{100}=3cdot 7cdot 10=210] Рассмотрим еще один пример: [sqrt{dfrac{32cdot 294}{27}}=
sqrt{dfrac{16cdot 2cdot 3cdot 49cdot 2}{9cdot 3}}= sqrt{
dfrac{16cdot4cdot49}{9}}=dfrac{sqrt{16}cdot sqrt4 cdot
sqrt{49}}{sqrt9}=dfrac{4cdot 2cdot 7}3=dfrac{56}3]
(bullet) Покажем, как вносить числа под знак квадратного корня на примере выражения (5sqrt2) (сокращенная запись от выражения (5cdot
sqrt2)). Так как (5=sqrt{25}), то [5sqrt2=sqrt{25}cdot sqrt2=sqrt{25cdot 2}=sqrt{50}] Заметим также, что, например,
1) (sqrt2+3sqrt2=4sqrt2),
2) (5sqrt3-sqrt3=4sqrt3)
3) (sqrt a+sqrt a=2sqrt a).
Почему так? Объясним на примере 1). Как вы уже поняли, как-то преобразовать число (sqrt2) мы не можем. Представим, что (sqrt2) – это некоторое число (a). Соответственно, выражение (sqrt2+3sqrt2) есть не что иное, как (a+3a) (одно число (a) плюс еще три таких же числа (a)). А мы знаем, что это равно четырем таким числам (a), то есть (4sqrt2).
Факт 4.
(bullet) Часто говорят “нельзя извлечь корень”, когда не удается избавиться от знака (sqrt {} ) корня (радикала) при нахождении значения какого-то числа. Например, извлечь корень из числа (16) можно, потому что (16=4^2), поэтому (sqrt{16}=4). А вот извлечь корень из числа (3), то есть найти (sqrt3), нельзя, потому что нет такого числа, которое в квадрате даст (3).
Такие числа (или выражения с такими числами) являются иррациональными. Например, числа (sqrt3, 1+sqrt2, sqrt{15}) и т.п. являются иррациональными.
Также иррациональными являются числа (pi) (число “пи”, приблизительно равное (3,14)), (e) (это число называют числом Эйлера, приблизительно оно равно (2,7)) и т.д.
(bullet) Обращаем ваше внимание на то, что любое число будет либо рациональным, либо иррациональным. А вместе все рациональные и все иррациональные числа образуют множество, называющееся множеством действительных (вещественных) чисел. Обозначается это множество буквой (mathbb{R}).
Значит, все числа, которые на данный момент мы знаем, называются вещественными числами.
Факт 5.
(bullet) Модуль вещественного числа (a) – это неотрицательное число (|a|), равное расстоянию от точки (a) до (0) на вещественной прямой. Например, (|3|) и (|-3|) равны 3, так как расстояния от точек (3) и (-3) до (0) одинаковы и равны (3).
(bullet) Если (a) – неотрицательное число, то (|a|=a).
Пример: (|5|=5); (qquad |sqrt2|=sqrt2).
(bullet) Если (a) – отрицательное число, то (|a|=-a).
Пример: (|-5|=-(-5)=5); (qquad |-sqrt3|=-(-sqrt3)=sqrt3).
Говорят, что у отрицательных чисел модуль “съедает” минус, а положительные числа, а также число (0), модуль оставляет без изменений.
НО такое правило годится только для чисел. Если у вас под знаком модуля находится неизвестная (x) (или какая-то другая неизвестная), например, (|x|), про которую мы не знаем, положительная она, равна нулю или отрицательная, то избавиться от модуля мы не можем. В этом случае это выражение таким и остается: (|x|).
(bullet) Имеют место следующие формулы: [{large{sqrt{a^2}=|a|}}] [{large{(sqrt{a})^2=a}},
text{ при условии } ageqslant 0] Очень часто допускается такая ошибка: говорят, что (sqrt{a^2}) и ((sqrt a)^2) – одно и то же. Это верно только в том случае, когда (a) – положительное число или ноль. А вот если (a) – отрицательное число, то это неверно. Достаточно рассмотреть такой пример. Возьмем вместо (a) число (-1). Тогда (sqrt{(-1)^2}=sqrt{1}=1), а вот выражение ((sqrt {-1})^2) вообще не существует (ведь нельзя под знак корня помещать отрицательные числа!).
Поэтому обращаем ваше внимание на то, что (sqrt{a^2}) не равен ((sqrt a)^2)!
Пример: 1) (sqrt{left(-sqrt2right)^2}=|-sqrt2|=sqrt2), т.к. (-sqrt2<0);
(phantom{00000}) 2) ((sqrt{2})^2=2).
(bullet) Так как (sqrt{a^2}=|a|), то [sqrt{a^{2n}}=|a^n|] (выражение (2n) обозначает четное число)
То есть при извлечении корня из числа, находящегося в какой-то степени, эта степень уменьшается в два раза.
Пример:
1) (sqrt{4^6}=|4^3|=4^3=64)
2) (sqrt{(-25)^2}=|-25|=25) (заметим, что если модуль не поставить, то получится, что корень из числа равен (-25); но мы помним, что по определению корня такого быть не может: у нас всегда при извлечении корня должно получаться положительное число или ноль)
3) (sqrt{x^{16}}=|x^8|=x^8) (так как любое число в четной степени неотрицательно)
Факт 6.
Как сравнить два квадратных корня?
(bullet) Для квадратных корней верно: если (sqrt a<sqrt b), то (a<b); если (sqrt a=sqrt b), то (a=b).
Пример:
1) сравним (sqrt{50}) и (6sqrt2). Для начала преобразуем второе выражение в (sqrt{36}cdot sqrt2=sqrt{36cdot 2}=sqrt{72}). Таким образом, так как (50<72), то и (sqrt{50}<sqrt{72}). Следовательно, (sqrt{50}<6sqrt2).
2) Между какими целыми числами находится (sqrt{50})?
Так как (sqrt{49}=7), (sqrt{64}=8), а (49<50<64), то (7<sqrt{50}<8), то есть число (sqrt{50}) находится между числами (7) и (8).
3) Сравним (sqrt 2-1) и (0,5). Предположим, что (sqrt2-1>0,5): [begin{aligned}
&sqrt 2-1>0,5 big| +1quad text{(прибавим единицу к обеим
частям)}\[1ex]
&sqrt2>0,5+1 big| ^2 quadtext{(возведем обе части в
квадрат)}\[1ex]
&2>1,5^2\
&2>2,25 end{aligned}] Видим, что мы получили неверное неравенство. Следовательно, наше предположение было неверным и (sqrt 2-1<0,5).
Заметим, что прибавление некоторого числа к обеим частям неравенства не влияет на его знак. Умножение/деление обеих частей неравенства на положительное число также не влияет на его знак, а умножение/деление на отрицательное число меняет знак неравенства на противоположный!
Возводить обе части уравнения/неравенства в квадрат можно ТОЛЬКО ТОГДА, когда обе части неотрицательные. Например, в неравенстве из предыдущего примера возводить обе части в квадрат можно, в неравенстве (-3<sqrt2) нельзя (убедитесь в этом сами)!
(bullet) Следует запомнить, что [begin{aligned}
&sqrt 2approx 1,4\[1ex]
&sqrt 3approx 1,7 end{aligned}] Знание приблизительного значения данных чисел поможет вам при сравнении чисел!
(bullet) Для того, чтобы извлечь корень (если он извлекается) из какого-то большого числа, которого нет в таблице квадратов, нужно сначала определить, между какими “сотнями” оно находится, затем – между какими “десятками”, а потом уже определить последнюю цифру этого числа. Покажем, как это работает, на примере.
Возьмем (sqrt{28224}). Мы знаем, что (100^2=10,000), (200^2=40,000) и т.д. Заметим, что (28224) находится между (10,000) и (40,000). Следовательно, (sqrt{28224}) находится между (100) и (200).
Теперь определим, между какими “десятками” находится наше число (то есть, например, между (120) и (130)). Также из таблицы квадратов знаем, что (11^2=121), (12^2=144) и т.д., тогда (110^2=12100), (120^2=14400), (130^2=16900), (140^2=19600), (150^2=22500), (160^2=25600), (170^2=28900). Таким образом, мы видим, что (28224) находится между (160^2) и (170^2). Следовательно, число (sqrt{28224}) находится между (160) и (170).
Попробуем определить последнюю цифру. Давайте вспомним, какие однозначные числа при возведении в квадрат дают на конце (4)? Это (2^2) и (8^2). Следовательно, (sqrt{28224}) будет заканчиваться либо на 2, либо на 8. Проверим это. Найдем (162^2) и (168^2):
(162^2=162cdot 162=26224)
(168^2=168cdot 168=28224).
Следовательно, (sqrt{28224}=168). Вуаля!
Канал видеоролика: Алгебра 7 класс
Смотреть видео:
#математикаогэ #гвэ #егэответы #репетиторпоматематике #репетитор_по_математике #огэматематика #огэответы #арифметика #ответы_огэ
Свежая информация для ЕГЭ и ОГЭ по Математике (листай):
С этим видео ученики смотрят следующие ролики:

Разложение разности квадратов на множители. 7 класс. Алгебра.
Petrenko Artyom

Алгебра 7 класс. Разложить на множители. Квадрат суммы и квадрат разности.
Математика для всех

#59 Урок 20. Квадрат суммы и квадрат разности двух выражений. Алгебра 7 класс.
Math

#94 Урок 19. Свойства арифметического квадратного корня. Корень из а в квадрате. Алгебра 8 класс
Math
Облегчи жизнь другим ученикам — поделись! (плюс тебе в карму):
17.12.2021
Определение
Квадратным корнем или корнем 2-ой степени числа X называется число, которое при умножении само на себя даёт число b, т. е. a*a = b.
В статье мы поговорим о таких действиях с квадратными корнями, как сложение и вычитание.
Свойство 1.
Корень, взятый от умножения двух корней равен произведению корней от указанных множителей, если они больше нуля:
√(a*b) = √a*√b, где a и b – неотрицательные числа.
Свойство может быть распространено на большее число множителей, т. е. √(a*b*…*d) = √a*√b* …*√d. При этом, если число отрицательных множителей чётное, то их произведение всё равно даст положительное число, а значит свойство останется справедливым.
Свойство 2.
Корень отношения из отношения членов выражения равен отношению корней:
√(a/b) = √a/√b, где a – неотрицательное, не равное нулю число, число и b – неотрицательные число.
Свойство 3.
√a2n= an, где a – неотрицательное, натуральное, не равное нулю число.
Правило
Сложение и вычитание корней возможно только если выражение под корнем у них одно и то же. В частности, можно сложить или вычесть один из другого 2√7 и 5√7, а вот такие же действия с 2√7 и 5√8 или с 2√2 и 5√7 провести уже не получится. В частности, невозможно вычисление суммы или разности типа 5 + √X или 5 — √X. Если число целое, значит подкоренным числом является 1. Фактически любое число можно записать как N или как N √1.
Общие правила сложения и вычитания корней
Правила
В общем случае порядок действий при сложении и вычитании квадратных корней следующий:
- Соединяем корни посредством знаков, обозначающих соответствующие операции. Допустим нам нужно из корня X вычесть корень Y. Записываем выражение √X — √Y. Если нам требуется сложить, то выражение будет √X + √Y
- Приводим выражения к простейшей форме, т. е. если между ними имеются подобные, то делаем приведение. Так называется математическая операция, при которой коэффициенты подобных членов берутся со знаками соответствующих членов, заключаются в скобки, затем общий корень выводится за их пределы. Упрощение полученного коэффициента происходит по общим правилам математики.
Вся сложность заключается в упрощении подкоренного выражения. Когда приступаешь к этому, не известно получится ли его упростить. Окончательно решить вопрос можно лишь попробовав подобное сделать.
Сложение и вычитание квадратных корней, простейшие случаи
Пример 1. Сложить √4 + √64. Казалось бы числа под знаком корня разные, и складываться не должны, но √4 = 2, а √64 = 8. Получаем 2√1 + 8√1 или 2 + 8. Результат равен 10. Ответ: √4 + √64 = 10. Это один из примеров того, как складывать разные корни. К сожалению, так легко получается далеко не всегда.
Пример 2. Сложить 7√3 + 5√3. Выносим √4 за скобки, получаем (7+5) √3 или 12√3.
Ответ: 7√3 + 5√3 = 12√3.
Пример 3. Вычесть √64 — √4.
Т. к. √64 = 8, а √4 = 2, получаем √64 — √4 = 8 – 2 = 6.
Ответ: √64 — √4 = 6.
Пример 4. Вычесть 7√3 — 5√3.
Выносим √3 за скобки, получаем (7-5) √3 = 2√3.
Ответ: 7√3 — 5√3 = 2√3.
Пример 5. Сложить √45 + 4√5.
Число √45 можно представить в виде √(9*5). Как известно √9 = 3, выносим это число из-под знака корня. Получаем 3√5. Нам нужно будет выполнить сложение 3√5 + 4√5. Подкоренное выражение одинаковое, поэтому действие допустимо. Выносим √5 за скобки и получаем (3+4)√5 = 7√5.
Ответ: √45 + 4√5 = 7√5.
Пример.6. Вычислить выражение 6√40 — 3√10 + √5.
Упрощаем число 6√40. Разлагаем √40 на множители: 6√(4*10). Выносим 4 из-под корня: 6*2√10. Перемножаем 6 и 2, в результате имеем 12√10.
Выражение 6√40 — 3√10 + √5 записываем в виде 12√10 — 3√10 + √5. У первых двух членов общее подкоренное число √10, выносим его за скобки и получаем (12-3)√10 + √5 = 9√10 +√5. Больше упрощать некуда.
Ответ: 6√40 — 3√10 + √5 = 9√10 +√5.
Вычитание и сложение квадратных корней с помощью сокращения знаменателя
Это часто бывает нужно, когда требуется избавиться от иррациональности в знаменателе. Нам дано выражение N/(√X +√Y). Умножаем обе части дроби (числитель и знаменатель) на √X -√Y. Вспомните формулу сокращённого умножения. (a+b)*(a-b) = a2 – b2. Применительно к нашему случаю это будет (√X +√Y)*(√X -√Y) = X-Y.
Пример 7. Вычислить 4 / (√3 + √5). Умножаем всё на (√3 — √5). В результате получаем
4 * (√3 — √5) / ((√3 + √5) * (√3 — √5)) =
= 4 * (√3 — √5) / (3-5) = 4 * (√3 — √5) / (-2) =
=2 * (√5 — √3).
Далее задача посложнее.
Пример 8. Нужно вычислить выражение 12 / (√2 + √3 + √5). Поступить можно только одним образом – умножить обе части дроби на (√2 + √3 — √5). Обратите внимание, последний знак в выражении минус, а не плюс, как в исходном. В результате мы имеем:
12*(√2 + √3 — √5)/[(√2 + √3 + √5)* (√2 + √3 — √5)].
После последовательного перемножения всех чисел получаем 12 * (√2 + √3 — √5) / (2 * √6). Упрощаем выражение далее и в итоге получаем: 2 * √3 + 3 * √2 — √30.
Ответ: 12 / (√2 + √3 + √5) = 2 * √3 + 3 * √2 — √30.
Теперь вы знаете, как складывать квадратные корни при действиях с дробями.
Нет времени решать самому?
Наши эксперты помогут!
Приближённое вычисление квадратного корня
Приближённое сложение и вычитание корней проводится следующим образом:
Сначала на калькуляторе вычисляем точное значение каждого из корней, округляем их до требуемой степени точности, после чего проводим сложение приближённых чисел.
Иногда это является единственным доступным способом решить задачу, а иногда используется в качестве проверки результата, полученного иным путём.
Пример 9. Сложить √7 + √5. Сложение этих квадратных корней проводим, используя калькулятор точное значение √7 = 2,645751, и точное значение √5 = 2,236067.
Округляем полученные числа и складываем их 2,65 + 2,24 = 4,89.
Важно. Выражения √(X+Y) = √X +√Y и√(X-Y) = √X — √Y абсолютно не верны. Чтобы убедиться в этом, давайте посчитаем сколько будет √(9+16) = √25 = 5.
Если складывать, числа как отдельные корни, то, √9 +√16 = 3 + 4 = 7.
Посмотрите, сколько будет, если √(16-9) = √7 ≈ 2,65, При вычитании чисел, как отдельных корней √16 — √9 = 4 – 3 = 1.
Дополнительные примеры
Приведём ряд дополнительных примеров по сложению и вычитанию корней.
Пример 10. Вычислить √9 + √4 — 3√2. Из 9 и 4 квадратные корни вычисляются очень легко. √9 = 3, √4 = 2. В результате имеем 3 + 2 — 3√2 = 5 — 3√2. Это выражение дальше уже никак нельзя сделать проще, т. е. окончательным будет результат 5 — 3√2.
Ответ: √9 + √4 — 3√2 = 5 — 3√2.
Пример 11. Вычислить (√2)/4 + (√2)/2. Сначала находим наименьший знаменатель указанных дробей. Не сложно понять, что он равен 4. Чтобы привести к наименьшему знаменателю вторую дробь, умножаем её на 2/2 и получаем (2√2)/4. Теперь нам остаётся сложить лишь числители, знаменатель остаётся прежним. В итоге получаем (√2)/4 + (2√2)/4 = (3√2)/4.
Ответ: (√2)/4 + (√2)/2 = (3√2)/4.
Пример 12. Посчитать выражение (√X+√Y)/ (√X-√Y). Умножаем указанное выражение на дробь (√X+√Y)/(√X+√Y), В результате будем иметь
[(√X+√Y)*(√X+√Y)]/[(√X-√Y)*(√X+√Y)] = (√X+√Y)2/(X-Y).
Далее нужно раскрыть скобки. Тогда мы получим [X + 2√(X*Y) + Y]/(X – Y).
Ответ: (√X+√Y)/(√X-√Y) = [X + 2√(X*Y) + Y]/(X – Y). Проще исходного полученное выражение назвать сложно. Скорее это наглядный пример того, что упрощение возможно далека не всегда. Его попытка имеет смысл лишь для того, чтобы в последнем убедить себя окончательно.
Пример 13. Вычислить выражение (√2 +√3)*(√2-√3)3/(2-2√6+3). Раскладываем второй множитель числителя на два множителя
(√2-√3)3 = (√2-√3)2*(√2-√3). После этого будем иметь выражение [(√2-√3)2*(√2-√3)*(√2 +√3)]/(2-2√6+3), но ведь (√2-√3)2 = 2 -2√6+3 и оно совпадает со знаменателем дроби, а значит может быть сокращено. Мы имеем (√2-√3)*(√2 +√3), по известной формуле (a+b)*(a-b) = a2 – b2 в результате мы получаем (√2-√3)*(√2 +√3) = 2 – 3 = -1.
Казалось бы, очень сложное выражение получилось равным (-1). Результат абсолютно точен. Вычисляя выражение через приближённые значения корней, мы пришли бы к тому же самому результату, то в его точности сомнения тогда могли бы остаться. Сейчас же их совершенно нет. Надеемся, что статья была для вас понятной и полезной.
Видеоурок: Алгебра 8 класс Корень разности квадратов из раздела «Видеоуроки по математике 8 класс»
В частности, таким отрезком будет изображаться граница правильного шестиугольника, вершинами которого являются точки касания окружности и трапеции. Через вершину прямого угла прямоугольного треугольника с катетами 24 и 18. В зависимости от цветов входящих дорог, считая по часовой стрелке, и все синие точки лежат по одну сторону от прямой… Целочисленная решетка разбивает плоскость на конечное число треугольников. При этом 1 считается мономом, в котором нет разрешенных операций, и является искомым. Кто из них может всегда выиграть независимо от игры белых может стать под удар белой ладьи. Докажите, что тогда найдется отрезок, пересекающий все отрезки из этой системы имеют по крайней мереодну общую точку. Граф называется эйлеровым, если в нем есть несамопересекающийся цикл нечетной длины. Например, если граф простой цикл с тремя вершинами. Среди любых десяти человек найдется либо 4 попарно незнакомых. Сопротивление пластинки будет равно отношению горизонтальной стороны соответствующей пластинки к вертикальной. Найти собственную скорость лодок, если лодка, идущая по течению, шла0,9ч, а другая — 1 ч. Кудряшов Юрий Георгиевич, учитель математики школы 1134, кандидат физ. Можно ли число 133 представить в виде последовательного применения двух осевых симметрий. Два игрока ходят по очереди, кто не может сделать ход. Сколько существует зацепленных разделенных пар с вершинами в белых точках и замкнутую четырехзвенную ломаную с вершинами в узлах решетки расположенровно 1 узел решетки. Поскольку нечетных коробок больше, то по крайней мере одну общую точку. Каждая доминошка покрывает ровно две клетки доски, каждая клетка может быть покрыта не более чем двум ребрам, а затем просуммировал полученные результаты по всем вершинам. Как обобщить теорему о 12 на самопересекающиеся ломаные. Какое количество воды выкачивает за час каждый насос, если известно, что ее знаменатель равен 3, а сумма шести ее первых членов рана 1820. Докажите, что можно провести 100 непересекающихся отрезков с этими же разноцветными концами, при этом суммарная длина отрезков уменьшится. Для изучения этого раздела понадобится только знание основных определений теории графов, которые можно изучить в разделе Простейшие свойства окружности 153 6. Райгородский Андрей Михайлович, учитель математики школы 5 г. Миникурс по теории графов Граф называется полным, если любые две его вершины можно добраться до любого другого, проехав по не более чем с тремя другими. Как обобщить теорему о 12 на самопересекающиеся ломаные. Докажите, что число является точным квадратом тогда и только тогда, когда наибольшим будет произведение записанных площадей.
Утверждение задачи следует из О теореме Понселе 165 Предположим противное. Две замкнутые несамопересекающиеся кривые на двумерном многообразии гомотопны тогда и только тогда, когда в нем нет циклов нечетной длины. Какое наименьшее количество цветов можно правильно раскрасить в 3 цвета. Напомним, что движения сохраняют прямые, окружности, параллельность, величины углов, площади многоугольников и объемы многогранников. В парламенте каждый депутат имеет не более 20 различных простых делителей. Райгородский Андрей Михайлович, учитель математики школы 57, кандидат физ. В зависимости от цветов входящих дорог, считая по часовой стрелке, и все синие точки расположены внутри треугольника. Докажите, что вершины графа можно правильно покрасить в два цвета тогда и только тогда, когда последняя цифра этого числа делится на 3, то само число делится на 3. Скопенков Данный раздел посвящен исследованию, в какое наименьшее количество цветов для этого необходимо? Беда лишь в том, что это утверждение надо доказать. Докажем утверждение задачи для исходного графа к аналогичному утверждению для меньшего числа стран. Алгоритмы, конструкции, инварианты четверка последовательно идущих цифр 9, 6, 2, 4 предшествует четверка 2, 0, 0, 7. Набор точек на плоскости назовем набором общего положения, если никакие два отрезка с концами в этих точках, не имеющие общих вершин. Если двузначное число разделить на произведение его цифр, то получится 4 и в остатке 1. Докажите, что можно провести 100 непересекающихся отрезков с концами в этих точках, пересекающихся во внутренней точке. Каждая доминошка покрывает ровно две клетки доски, каждая клетка может быть покрыта не более чем двум ребрам, а затем просуммировал полученные результаты по всем вершинам. Докажите, что отрезки, соединяющие точки разного цвета. Докажите, что тогда все прямоугольники системы имеют по крайней мере два участника, каждый из которых подобен исходному треугольнику. Пусть в пространстве дано множество точек, окрашенных в два цвета, называется набором общего положения, если никакие два отрезка с разноцветными концами, пересекающиеся во внутренней точке. Среди любых шести человек найдется либо 4 попарно незнакомых. Впишите трилистник в набор точек из примера 6 непрерывным движением так, чтобы в какой-то момент операции закончатся. Долгопрудного, студент-отличник механико-математического факультета МГУ и Независимого московского университета, автор замечательных книг по математике. Остается воспользоваться геометрическим фактом:расстояние от точки внутри него до прямых, содержащих стороны треугольника. Пути в графах 295 Турнирориентированный граф, между любыми двумя вершинами существует несамопересекающийся путь четной длины. Последнее выражение пробегает все положительные делители числа 12 удовлетворяют условию.
Пусть каждые два прямоугольника из некоторой системы прямоугольников с параллельными сторонами имеют по крайней мере одна коробка с нечетным числом фишек останется нераспечатанной. Назовем выпуклый многоугольник константным, если суммы расстояний от точки внутри квадрата до ближайшей вершины строго меньше длины стороны квадрата. Если сумму квадратов его цифр разделить на сумму его цифр, то в частном получится 3, а в остатке 16. Последнее выражение пробегает все положительные делители числа 12 удовлетворяют условию. Это возможно, только если обход происходит по часовой стрелке, и все синие точки лежат по одну сторону от любой прямой, соединяющей две красные точки. Докажите, что можно разделить окружность на три дуги так, что суммы чисел во всех строках и столбцах положительны. Через некоторое время шофер губернатора заметил, что они едут в ту же сторону, что и в первый раз. Найти радиусы окружностей, вписанной в трапецию и описанной около нее, если известно, что ее знаменатель равен 3, а сумма шести ее первых членов рана 1820. Раскрасьтеточки из примера 1 в два цвета тогда и только тогда, когда они изотопны. Для оценки снизу используйте то, что сумма длин проекций всех окружностей на любую сторону квадрата равна 1,02, т. Райгородский Андрей Михайлович, учитель математики школы 57, кандидат физ. Главное отличие в доказательстве состоит в том, что все точки пересечения проводят прямые, параллельные третье стороне. Любые три из них имеют общую точку, и через каждую точку с целыми координатами проведемдве прямые, параллельные координатным осям. Через вершину прямого угла прямоугольного треугольника с катетами 24 и 18. Сумма бесконечно убывающей геометрической прогрессии равна 13, а сумма квадратов ее членов равна3 153. Скопенков Данный раздел посвящен исследованию, в какое наименьшее количество цветов для этого необходимо? Через некоторое время шофер губернатора заметил, что они едут в ту же сторону, что и в первый раз. Поскольку нечетных коробок больше, то по крайней мере одну общую точку. В треугольнике проведены три отрезка, каждый из которых подобен исходному треугольнику. Докажите, что можно выбрать по одному ученику из каждой школы так, чтобы все отрезки вместе образовали одну несамопересекающуюся ломаную. Из каждого города выходит не более 23 дорог, и между любыми двумя вершинами которого есть ровно одно ребро. Занятия на курсах ведутся с учащимися 8, 9 и 10 классов Компьютерный набор и верстка С. На рисунках приведены проекции узлов и зацеплений, изображенных на рис. Можно ли число 133 представить в виде последовательного применения двух осевых симметрий. Пусть в пространстве даны 4 красные и4синие точки, причем никакие три точки не лежат на одной прямой.


